Find Your Style
Women
Men
Accessories
Search for clothing, brands, styles...
×
Women
Men
Accessories
Sdgs Point 123
Search
Loading...
No suggestions found
Promoting Sustainability through Next-Generation Biologics Drug Development
mdpi.com
Sustainable Development Goals | Current Affairs | Vision IAS
dce.visionias.in
JAL企業サイト
jal.com
33 sustainable Images - Free Download on Freepik
freepik.com
United Nations Sustainable Development Goals (UN SDGs) - Course
onlinecourses.nptel.ac.in
SDGs学習ゲーム Get The Point | すなばコーポレーション
sunabaco.thebase.in
Sustainable Development Goals – Indian Economy Notes
prepp.in
Centre for Development of Telematics
cdot.in
SDGs学習ゲーム Get The Point | すなばコーポレーション
sunabaco.thebase.in
National Consultation on Sustainable Development Goals SDGs 2: Zero ...
ris.org.in
SDGs学習ゲーム Get The Point | すなばコーポレーション
sunabaco.thebase.in
Reports on SDG | NITI Aayog
niti.gov.in
Achilles data shows more needs to be done to achieve the UN’s ...
achilles.com
Tender For Providing Audio Video Conference System Alongwith Wiring For ...
biddetail.com
SDGs学習ゲーム Get The Point | すなばコーポレーション
sunabaco.thebase.in
JSS Academy of Higher Education & Research | JSS College of Pharmacy ...
jssuni.edu.in
Jual Poster Tujuan Pembangunan Berkelanjutan (TPB) Indonesia dari PBB ...
tokopedia.com
SHADOW OF THE SKY | CEPT - Portfolio
portfolio.cept.ac.in
World Bank, IMF, and the UN sustainable development goals | Meer
meer.com
Call For Papers: "Virtual Conference On 'Right To Breathe Clean Air ...
livelaw.in
Thermax: Human Capital
thermaxglobal.com
SDGs達成に向けた宣言書 | 株式会社 研電舎
kenden.in
SDGs学習ゲーム Get The Point | すなばコーポレーション
sunabaco.thebase.in
Figure 5. shows the method of drawing a circle to touch a given line ...
archive.nptel.ac.in
Streamer's Life 2 HighSchool Simulator 3D: Live Hosting and Streaming ...
amazon.in
Real Wild Horse Rival Star Racing Simulator Games 2024: Racing and ...
amazon.in
Food Point, Thane - Restaurant menu, prices and reviews
restaurant-guru.in
Internet Cafe PC Gaming Simulator Games 3D - Internet Cafe Simulator ...
amazon.in
Find the distance of the point (1,2,3) from the line (x-6/3)=(y-7/2)=(z ...
tardigrade.in
Menu at GURGAON POINT, Gurugram, 123
restaurant-guru.in
Buy Home in Mumbai | Residential Real Estate in Mumbai | Properties in ...
dwello.in
40222-77-3 99% - ChemicalBook India
chemicalbook.in
SDGsバッジとは? つける意味や購入方法、本物の見分け方を解説 | ELEMINIST(エレミニスト)
eleminist.com
Menu at Food Point, Thane, 123
restaurant-guru.in
Menu at Food Point, Thane, 123
restaurant-guru.in
EAP245 | AC1750 Wireless MU-MIMO Gigabit Ceiling Mount Access Point ...
omadanetworks.com
Buy Home in Mumbai | Residential Real Estate in Mumbai | Properties in ...
dwello.in
picture composition in sanskrit - Brainly.in
brainly.in
KG Centre Point - 1, 2 & 3 Bhk Apartments On Sale - 2 Bedroom / BHK ...
click.in
23)a = 1 while True: if a % 7 = = 0: break print(a)a += 1 Which of the ...
brainly.in
Find the distance of the point (1, -2, 3) from the plane x - y +z =5 ...
brainly.in
West Point welcomes future cadets on R-day | Article | The United ...
army.mil
Assembly Point Signage – Milansafety
milansafety.com
Should I join Walmart or StartUp? Location: Bangalore YOE: 2.2 years ...
glassdoor.co.in
Route Optimization Strategies Part 1
driv.in
Menu at Food Point, Thane, 123
restaurant-guru.in
Buy Home in Mumbai | Residential Real Estate in Mumbai | Properties in ...
dwello.in
If a bird moves from point (1,-2,3) to (4,2,3) . If the speed of the ...
brainly.in
SDGsアクションプラン2023とは? SDGsとの関係や内容を解説 | ELEMINIST(エレミニスト)
eleminist.com
The distance of the point (1,-2,3) from the plane x-y+z=5 measured ...
tardigrade.in
If Φ (x, y, z) =3x^2y-y^3z^2 find Del operatioΦ at the point (1,-2-3 ...
brainly.in
Design, Implementation and Review of EV policy | CEPT - Portfolio
portfolio.cept.ac.in
A fuid now is given y / v = x * y ^ 2 * i - 2y * z ^ 2 * j - (z * y ^ 2 ...
brainly.in
Buy Home in Mumbai | Residential Real Estate in Mumbai | Properties in ...
dwello.in
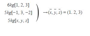
Centre of mass (C.M.) of three particles of masses 1 kg, 2 kg and 3 kg ...
tardigrade.in
The forest maze | CEPT - Portfolio
portfolio.cept.ac.in
Buy Home in Mumbai | Residential Real Estate in Mumbai | Properties in ...
dwello.in
123R,BK Serpac | Boxes, Enclosures, Racks | DigiKey
digikey.in
ISRO's Aditya-L1 Observatory Completes First Orbit At Lagrange Point 1 ...
in.mashable.com
S.161-2P6PB Facom | Facom 19-Piece Metric 1/2 in Standard Socket Set ...
in.rsdelivers.com
The distance of the point (1,-2,3) from the plane x-y+z=5 measured ...
tardigrade.in
Answer the following MCQ given below.3] point on z-axis which are at a ...
brainly.in
if tan4x.tan6x=1 so what is the solution of x - Brainly.in
brainly.in
The forest maze | CEPT - Portfolio
portfolio.cept.ac.in
The forest maze | CEPT - Portfolio
portfolio.cept.ac.in
If the point (1, 2, 3) is changes to the point (2, 3, 1) through ...
brainly.in
Acupressure Body Points [YOGA] - App on Amazon Appstore
amazon.in
S.161-2P6PB Facom | Facom 19-Piece Metric 1/2 in Standard Socket Set ...
in.rsdelivers.com
Menu at Food Point, Thane, 123
restaurant-guru.in
If the distance of the point (1,-2,3) from the plane x+2 y-3 z+10=0 ...
tardigrade.in
SHADOW OF THE SKY | CEPT - Portfolio
portfolio.cept.ac.in
Lodha Crown Khoni bypass Lodha Crown Taloja Rent - WITHOUT BROKERAGE ...
nobroker.in
the image of the point 2, -3 with respect to y axis is .draw the graph ...
brainly.in
Que. 1 Which of the following is not a quadrilaterals? *1 ...
brainly.in
12) Find divergence and curl of f where f = xy²i+yz²j+zk ,at the point ...
brainly.in
pagoda point Bhringraj Plant Price in India - Buy pagoda point ...
flipkart.com
ORIGIN | CEPT - Portfolio
portfolio.cept.ac.in
A uniform sphere (mass M , radius R ) exerts a force F on a small mass ...
tardigrade.in
TRI-O-TOLYLPHOSPHINE - ChemicalBook India
chemicalbook.in
Find the equation of the line passing through the point (1,-2),(-2,3 ...
brainly.in
Moss - Mosaic in forest | CEPT - Portfolio
portfolio.cept.ac.in
If the point (1, 2, 3) is changes to the point (2, 3, 1) through ...
brainly.in
KG Centre Point - 1, 2 & 3 Bhk Apartments On Sale - 2 Bedroom / BHK ...
click.in
ABC 123 Tracing for Toddlers - Learn Alphabet letters and Numbers ...
amazon.in
Practical Maintenance » Blog Archive » Socket Set Screws
practicalmaintenance.net
25. If 2x + 3y = 0 and 4x – 3y = 0, thenx + y equals: *(1 Point-1230 ...
brainly.in
The correct order of boiling point of primary (1°), secondary (2°) and ...
brainly.in
Solved: What are the missing parts that correctly complete the proof ...
gauthmath.com
If a bird moves from point (1,-2,3) to (4,2,3) . If the speed of the ...
brainly.in
The forest maze | CEPT - Portfolio
portfolio.cept.ac.in
Find the distance of a point (1, -2, 3) from the plane x-y+z=5 ...
brainly.in
Kaiju Godzilla Attack 3D - Gorilla Kong City Destruction Simulator Game ...
amazon.in
Find the length of the perpendicular from the point (1,-2,3) to the ...
brainly.in
the distance of the point p(1,2,3) from coordinate axes - Brainly.in
brainly.in
deduce an expression for potential energy of a system of two point ...
brainly.in
Find the equivalent resistance of the circuit between points `A` and `B ...
allen.in
In the electric field shown in figure, the electric field lines on the ...
allen.in
Miside Anime School Girlfriend Game Simulator 3D: Miside Sakura School ...
amazon.in
Moisture regime | CEPT - Portfolio
portfolio.cept.ac.in
If u= x^3 z + xy^2 - 2yz then ∂u/∂y at the point (1, 2, 3) is ...
brainly.in
KG Centre Point - 1, 2 & 3 Bhk Apartments On Sale - 2 Bedroom / BHK ...
click.in
Fig. 5.1.1: Time dependent fluid velocity at a point.
archive.nptel.ac.in
ORIGIN | CEPT - Portfolio
portfolio.cept.ac.in
Let the foot of the perpendicular from the point (1,2,4) on the line ...
tardigrade.in
West Point welcomes future cadets on R-day | Article | The United ...
army.mil
find the directional derivative of f =xy^2+yz^2+zx^2 the tangent to the ...
brainly.in
Internet Cafe PC Gaming Simulator Games 3D - Internet Cafe Simulator ...
amazon.in
| Instant Pot India
instanthome.in
Draw a plot showing the variation of (i) electricfield (E) and (ii ...
ask.learncbse.in
the distance of the point (1,2) from the mid point of the line segment ...
brainly.in
if the point a(1,2)b(0,0)and c(a,b) are collinear than whatever is the ...
brainly.in
A particle is displaced by a force 4i+j+3k form a point (1, 2, 3) to ...
brainly.in
Buy Home in Mumbai | Residential Real Estate in Mumbai | Properties in ...
dwello.in
Find the Maximum and minimum distance of the point (1, 2, 3) from the ...
brainly.in
Miside Anime School Girlfriend Game Simulator 3D: Miside Sakura School ...
amazon.in
Kaiju Godzilla Attack 3D - Gorilla Kong City Destruction Simulator Game ...
amazon.in
Moisture regime | CEPT - Portfolio
portfolio.cept.ac.in
Learn Multiplication Table of 299 | 299 Times Table [ ️]
brightchamps.com
The method: Let us write the general form of nonlinear system
archive.nptel.ac.in
[Best Answer] find the pythagorean triplet whose one member is 16 ...
brainly.in
Related Searches
Point SDGs
SDGs Point 6
SDGs Point 7
Poin SDGs 3
17-Point SDGs
SDG Point 9
SDG Pin
SDGs Point Ke-12
SDGs Point 8
SDG 13
SDGs 日本
Point SDGs No. 3
SDGs Point Logos
SDG 1.3 Icon
SDGs Point 16 17
SDG 15
SDG 4
SDGs マーク
5P SDGs
SDGs English
SDG 14
SDG 13 Logo
SDG 123
SDGs Adalah
Target SDGs Point 17
SDG-1
SDGs ロゴ
Logo SDGs Point 2 PNG
SDGs Point 9 Indonesia
SDG 0
17 SDGs Clear
SDGs Point 5 Poster
Gambar SDGs Point 3
17 SDGs Square
No Poverty SDG
SDG 13 Deutsch
SDGs Loghi
Isi SDGs
Sgds Poin 3
Importance of SDG 12
Breaking Down SDGs into Some General Point
17 SDGs with Content
Background Technology SDGs Point 8
SDGs 17 Indo
SDG Corruption
SDGs and 6G
Sdg3
SDGs 高画質
SDG 14 Indicators
Importance of Selected SDG
Search
×
Search
Loading...
No suggestions found