Find Your Style
Women
Men
Accessories
Search for clothing, brands, styles...
×
Women
Men
Accessories
Secant Segment Theorem
Search
Loading...
No suggestions found
Solved: Identify the value of a and the length of each secant segment ...
gauthmath.com
what is tangent secant theorem? explain wid fig...... - Brainly.in
brainly.in
Given: In the figure, point A is in the exterior of the circle with ...
shaalaa.com
tangent secant segment theorem proof - Brainly.in
brainly.in
a)Describe the relationship among the lengths of the segments formed by ...
brainly.in
Name the external secant segments in each of the following figures ...
brainly.in
II. Determine the measure of the indicated arc/angle using the theorems ...
brainly.in
Explain tangent and secant of a circle with Diagrams. - Brainly.in
brainly.in
In the figure below, P, Q and R are points on a circle with centre O ...
edurev.in
In the figure below, P, Q and R are points on a circle with centre O ...
edurev.in
The Circle: Properties, Equations, and Applications
allen.in
What is the difference between a chord and secant of a circle? - CBSE ...
ask.learncbse.in
segment AB is a diameter of a circle with centre P. segment AC is a ...
brainly.in
Theorem of angle between tangent and secant If an angle has its vertex ...
allen.in
Cracku | Geometry Cheatsheet
cracku.in
tangent secant segment theorem proof - Brainly.in
brainly.in
Tangent Secant Theorem Point E is in the exterior of a circle. A secant ...
allen.in
Theorem of external division of chords. If secants containing chords AB ...
allen.in
Unit 12 Worksheet 4 Angles Formed By Chords Secants Tangents Answers ...
pdffiller.com
Segment Theorems - Mathematics for GCSE/IGCSE - Year 11 PDF Download
edurev.in
in the figure O is the centre of the circle PT is the tangent and plm ...
brainly.in
Segment of a Circle: Definitions, Types, Area with Formula, How to ...
collegesearch.in
Theorems on angles at the circumference on the same segment — lesson ...
yaclass.in
Solve any four sub-questions: In the following figure, a tangent ...
philoid.in
O is the centre of the circle. Segment AB is the diameter. Tangent at A ...
brainly.in
AP is a secant and PT is a tangent to a circle. If PT = 15 cm and AB ...
brainly.in
Q3B Solve(1) Two circles with centres M andN intersect each other at P ...
brainly.in
In the diagram, line segment PT is tangent to both circle O and circle ...
brainly.in
two circles with centres M and N intersect each other at P and Q. The ...
brainly.in
Theorems on angles at the circumference on the same segment — lesson ...
yaclass.in
Segment of a Circle: Definitions, Types, Area with Formula, How to ...
collegesearch.in
Segment of a Circle: Definitions, Types, Area with Formula, How to ...
collegesearch.in
Construction of a tangent to a circle using alternate segment theorem ...
yaclass.in
Alternate Segment Theorem (Statement, Proof and Examples)
careers360.com
AP is a secant and PT is a tangent to a circle. If PT = 15 cm and AB ...
brainly.in
Please explain it on level of class 10 - Brainly.in
brainly.in
Seg EF is a diameter and seg DF is a tangent segment. The radius of the ...
brainly.in
Segment of a Circle: Definitions, Types, Area with Formula, How to ...
collegesearch.in
Geometry: Alternate Segment Theorem
kingseducation.in
Geometry: Alternate Segment Theorem
kingseducation.in
Theorems on angles at the circumference on the same segment — lesson ...
yaclass.in
Segment of a Circle: Definitions, Types, Area with Formula, How to ...
collegesearch.in
CBSE CLASS XCIRCLES - MATHEMATICSIn the given figure, PT is a tangent ...
brainly.in
Circles
campusgate.in
O is the centre of a circle. If tangent PQ = 12 cm and BQ = 8 cm, then ...
brainly.in
In figure 3.79, O is the centre of the B circle and B is a point of ...
brainly.in
what is sector and segment of a circle - Brainly.in
brainly.in
Circles Class 10 Notes Maths Chapter 10 Free PDF
edurev.in
Segment of a Circle: Definitions, Types, Area with Formula, How to ...
collegesearch.in
ray PQ touches the circle at point Q. pq=12, PR=8, find PS and RS ...
brainly.in
What is the relation between the segments measured and the circle ...
brainly.in
Slope Of The Secant Line Formula, Definition, Solved Examples
pw.live
Solved: Select the correct answer from each drop-down menu. Segment AB ...
gauthmath.com
In tha AD is the tangent line of the circle and ABC is the secant line ...
brainly.in
Circle Theorems Notes - Rule 1 x Angles in the same segment are equal ...
studocu.com
Lab Manual: Alternate Segment Theorem - Class 10 PDF Download
edurev.in
draw a circle and name , radius, arc, chord, diameter, segment, sector ...
brainly.in
theorem of external division of chords with proof - Brainly.in
brainly.in
In the figure below, P, Q and R are points on a circle with centre O ...
edurev.in
prove that tangent segments drawn from external point to circle are ...
brainly.in
theorem of angle between tangent and secant - Brainly.in
brainly.in
Will the following for alternate segment theorem work? - Brainly.in
brainly.in
tangents and secants to a circle chapter formulas - Brainly.in
brainly.in
Alternate Segment Theorem (Statement, Proof and Examples)
careers360.com
Tangent To A Circle Formula, Definition, Theorem
pw.live
prove that the segment joining the centre of a circle and the midpoint ...
brainly.in
18. In figure 3.96 P is the point of contact.(1) If m(arc PR) = 140 ...
brainly.in
Solved: Nicolas noticed that WXZ and YXZ are congruent based on the ...
gauthmath.com
AP is a secant and PT is a tangent to a circle. If PT = 15 cm and AB ...
brainly.in
Identify the value of x and the length of each secant segment. The ...
brainly.in
Circle Theorems Flashcards | Quizlet
quizlet.com
AP is a secant and PT is a tangent to a circle. If PT = 15 cm and AB ...
brainly.in
Tangents and Intersecting Chords Chapter Notes - Mathematics Class 10 ...
edurev.in
In ABC, AB = AC. A circle drawn through B touches AC at D and intersect ...
brainly.in
What is the 7 circles theorem? - Brainly.in
brainly.in
Basic Proportionality Theorem: Statement, Proof & Examples
allen.in
Solved: Use the diagram to answer the following. When possible, ALWAYS ...
gauthmath.com
Prove that the angle between the two tangents drawn from an external ...
ask.learncbse.in
Segments And Angles In Circles Teaching Resources | TPT
teacherspayteachers.com
Verify that "angles in the same segment of a circle are equal. activity ...
brainly.in
In a figure, PT is a tangent to the circle and PBA is the secant .TM is ...
brainly.in
What is the missing reason in the proof? A. segment addition B ...
brainly.in
If two chords of a circle intersect with in the circle, prove that the ...
brainly.in
Using theorem 6.2, prove that the line joining the mid-points of any ...
brainly.in
50+ intermediate value theorem worksheets for 10th Class on Quizizz ...
quizizz.com
In circle A, ∠BAE ≅ ∠DAE. Circle A is shown. Line segments A B, A E ...
brainly.in
Area Related To Circles Formula, Diameter, Radius, Area
pw.live
proof tangent segment theorem - Brainly.in
brainly.in
theorem of angle between tangent and secant - Brainly.in
brainly.in
What is intercept theorem - Brainly.in
brainly.in
Slope of a line secant to a curve - Mathematics Video Lecture ...
edurev.in
theorem of angle between tangent and secant - Brainly.in
brainly.in
Alternate Segment Theorem Video Lecture - Crash Course for Police Exam ...
edurev.in
View question - The Triangle Midsegment Theorem states that in a triangle,
web2.0calc.com
complete the proof of the theorem tangent segments drawn from an ...
brainly.in
Explain the difference between the sector and segment of a circle by ...
brainly.in
differentiate under root of secant x minus one - Brainly.in
brainly.in
Circle Class 11 Notes Maths
edurev.in
Find angle ACB and angle ADBusing theorem : Angles in the segments of a ...
brainly.in
Given: Line Segment AB is perpendicular to Line Segment BC, Line ...
brainly.in
THEOREM If a line segment joining two points subtends equal angles at ...
brainly.in
if AB=4.2 BC=5.4 AE=12 find AD - Brainly.in
brainly.in
perpendicular bisector theorem in maths: Definition, Types and ...
aakash.ac.in
theorem of angle between tangent and secant - Brainly.in
brainly.in
MELC 40: Illustrates a circle and the terms related to it: radius ...
brainly.in
can this formula be used as ( area of minor segment) for class 10 ...
brainly.in
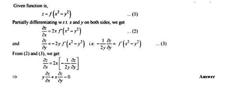
Eliminate arbitrary function f from z=xy + f(x^2 + y^2) - Brainly.in
brainly.in
perpendicular bisector theorem in maths: Definition, Types and ...
aakash.ac.in
state and prove midpoint theorem - Brainly.in
brainly.in
Prove that angles in the same segment of a circle are equal - Brainly.in
brainly.in
50+ intermediate value theorem worksheets for 9th Class on Quizizz ...
quizizz.com
pls answer this questions - Brainly.in
brainly.in
Trigonometry Table, Chart, Functions, Values and Formulas
careerpower.in
perpendicular bisector theorem in maths: Definition, Types and ...
aakash.ac.in
what is the value of secant squared theta if sin theta minus cos theta ...
brainly.in
what size mid point theorem - Brainly.in
brainly.in
Tangents and Intersecting Chords Chapter Notes - Mathematics Class 10 ...
edurev.in
Draw a line segment PQ of length 6.3 cm.Take a point R on PQ such that ...
brainly.in
in the given figure,O is the centre of a circle and
brainly.in
Jurene and janel were asked to find the length of ab in the figure ...
brainly.in
Related Searches
Secant Theorem
Secant and Segment
Secant Secant Angle Theorem
Secant and Tangent
Secant Theorem Proof
Two Tangent Theorem
Chord Theorem
Secant Tangent Formula
Secant of a Circle
External Secant Segment
Secant and Tangent Line
Tan Chord Theorem
Secant Power Theorem
Secant Example
Intersecting Secant Theorem
Tangent V Secant
Secant Tangent Rule
Secant Geometry
Secant Intersect
Secant Secant Product Theorem
Tangent vs Secant Circle
Secant Diagram
Secant Triangle
Alternate Segment Theorem
Secant Circle Theorems
Secant On Unit Circle
Tangent Secant Chord Worksheet
Secent Theorem
Intersecting Secants Interior Theorem
Secant Intersection Theorem
Parts of a Circle Secant
Secant Therom
Area of Secant
Tangent Secant Theorem Examples
Tangent Segments Conjecture
Secant 0
What Is Secant
Secant Length Circle
2 Secants
Intersecing Secant Theorem
Secant Theorem with One Segment Starting From the Center
Tangent Plus Secant
Secant Animation
Secant Fraction
Secant Chord Theorem
Two Secants Theorem
Tangent Secant Angle
Secant Formula Circle
Intersecting Secants
Tangent Secant Power Theorem
Search
×
Search
Loading...
No suggestions found