Find Your Style
Women
Men
Accessories
Search for clothing, brands, styles...
×
Women
Men
Accessories
Segment Routing Multicast
Search
Loading...
No suggestions found
ValueQuest Enters PE Segment With INR 1,000 Cr Fund
businessoutreach.in
ValueQuest Enters PE Segment With INR 1,000 Cr Fund
businessoutreach.in
ValueQuest Enters PE Segment With INR 1,000 Cr Fund
businessoutreach.in
Tata Tigor expected price to start from INR 4.5 lakhs in India | India.com
india.com
Top 5 Budget Maruti Suzuki Cars You can Buy in India under INR 5 Lakh
indusmotor.com
INR (International Normalized) | DocMedicus Gesundheitslexikon
gesundheits-lexikon.com
Top 5 Budget Maruti Suzuki Cars You can Buy in India under INR 5 Lakh
indusmotor.com
2016 Suzuki Access 125 Launched @ INR 53,887 » Car Blog India
carblogindia.com
Pi Coin Price Today, Pi Coin to INR live price, marketcap and chart
suncrypto.in
OPPO takes its latest A74 5G on sale: Priced at INR 17,990 | OPPO India
oppo.com
2015 Model Renault Pulse Price Announced! INR 5.03 Lacs it is » Car ...
carblogindia.com
KTM Duke 125 ABS Launched in India; Prices at INR 1.18 lakh » Car Blog ...
carblogindia.com
Mahindra Verito Electric Launched at INR 9.50 Lakhs! » Car Blog India
carblogindia.com
Renault Duster Facelift Prices Start at INR 8.46 lacs! [Features ...
carblogindia.com
What is segment routing? | Glossary | HPE India
hpe.com
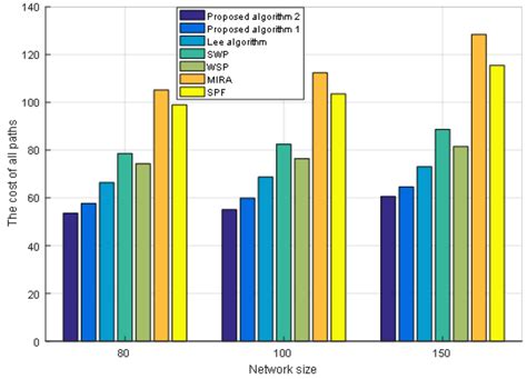
An Optimization Routing Algorithm Based on Segment Routing in Software ...
mdpi.com
MULTICAST IP ROUTING: MULTICAST IP ROUTING- Part 1 eBook : Singh, Ummed ...
amazon.in
Multicasting - multicating notes - CHAPTER 21 Multicast Routing I n ...
studocu.com
An Optimization Routing Algorithm Based on Segment Routing in Software ...
mdpi.com
An Optimization Routing Algorithm Based on Segment Routing in Software ...
mdpi.com
An Optimization Routing Algorithm Based on Segment Routing in Software ...
mdpi.com
An Optimization Routing Algorithm Based on Segment Routing in Software ...
mdpi.com
A novel RPL-based multicast routing mechanism - Contiki Cooja Project ...
slogix.in
segment routing vs mpls Android IOS V- 8.37
dbt.lsgkerala.gov.in
lecture notes 18
cse.iitk.ac.in
Ita M2 - ITA Module 2 - MODULE II 2 Multicasting Protocols and ...
studocu.com
segment routing vs mpls-tp Android IOS V- 2.44
meeting.lsgkerala.gov.in
An Optimization Routing Algorithm Based on Segment Routing in Software ...
mdpi.com
An Optimization Routing Algorithm Based on Segment Routing in Software ...
mdpi.com
MULTICAST IP ROUTING Part-2: IP routing & forwarding eBook : Singh ...
amazon.in
Chapter 5. Routing messages through the router network | Using AMQ ...
docs.redhat.com
Algoritmos de Routing Multicast para Redes de Sensores Inalámbricos ...
amazon.in
An Optimization Routing Algorithm Based on Segment Routing in Software ...
mdpi.com
An Optimization Routing Algorithm Based on Segment Routing in Software ...
mdpi.com
An Optimization Routing Algorithm Based on Segment Routing in Software ...
mdpi.com
Buy Segment Routing: Foundation for Application Engineered Routing Book ...
amazon.in
Effective Social Relationship Measurement and Cluster Based Routing in ...
mdpi.com
Buy Segment Routing Part II: Traffic Engineering Book Online at Low ...
amazon.in
IP Multicast Routing Protocols : Aweya, James: Amazon.in: Books
amazon.in
Segment Routing Part III: SRv6 eBook : Filsfils, Clarence, Abdelsalam ...
amazon.in
Segment Routing Part III: SRv6 eBook : Filsfils, Clarence, Abdelsalam ...
amazon.in
Buy Alcatel-Lucent Service Routing Architect (SRA) Self-Study Guide ...
amazon.in
Cisco Multicast Routing and Switching 1st Edition: Buy Cisco Multicast ...
flipkart.com
segment routing over mpls | Win Big with a ₹600 Bingo Reward! Android ...
meeting.lsgkerala.gov.in
Buy Segment Routing Part I Book Online at Low Prices in India | Segment ...
amazon.in
Segment Routing, Part I eBook : Filsfils, Clarence, Michielsen,Kris ...
amazon.in
Buy DCI International 7001 Gray Toggle Routing ''Selector'' Valve Hex ...
ubuy.co.in
Samsung Unveils Galaxy F54 5G with Segment-Leading 108MP No Shake ...
news.samsung.com
Samsung Unveils Galaxy F14 5G with Segment-only Features – 5nm ...
news.samsung.com
Buy Segment Routing Part I Book Online at Low Prices in India | Segment ...
amazon.in
vivo Y19e Debuts in India – Segment's Biggest Battery, AI Camera and ...
vivonewsroom.in
vivo Y19e Debuts in India – Segment's Biggest Battery, AI Camera and ...
vivonewsroom.in
Segment Routing, Part I eBook : Filsfils, Clarence, Michielsen,Kris ...
amazon.in
Multi-Objective Routing Optimization for 6G Communication Networks ...
mdpi.com
Breaking down revenue streams of Reliance Industries
finshots.in
Samsung Unveils Galaxy F14 5G with Segment-only Features – 5nm ...
news.samsung.com
An Improved Opportunistic Routing Protocol Based on Context Information ...
mdpi.com
Kateel - JungleKey.in Image #150
junglekey.in
Samsung Unveils Galaxy M14 5G with Segment-Leading Features: 50MP ...
news.samsung.com
Samsung Launches Galaxy F13 in India; Offers Immersive Viewing with ...
news.samsung.com
What is Multicast Rendezvous Point (RP) ? - The CCIE lab
ccie.internetworks.in
Maruti Suzuki Faces Tough Competition!
samco.in
How to Find Your ABA Routing Number?
payglocal.in
TECNO Revolutionizes Fold Market by Unveiling First Flip Phone in Sub ...
aninews.in
Buy Madison Magnolia Balcony Railing Planter With Single Segment from ...
homecentre.in
Server Solutions for Integration with VMware Virtual SAN | Supermicro
supermicro.com
vivo Y19e Debuts in India – Segment's Biggest Battery, AI Camera and ...
vivonewsroom.in
vivo Y19e Debuts in India – Segment's Biggest Battery, AI Camera and ...
vivonewsroom.in
SHELFKEY LT-542-SEVEN SEGMENT DISPLAY RED 7-SEGMENT LED COMMON ANODE ...
amazon.in
Beam Routing Manufacturer | Cloud Computing at ETW
etwinternational.in
An Improved Opportunistic Routing Protocol Based on Context Information ...
mdpi.com
In which ratio the y - axis divides the line segment joining the points ...
brainly.in
Buy LED 7 Segment Display, MODBUS-RTU Display Module, 4 Digits Display ...
ubuy.co.in
TECNO honours Chandrayaan 3: लॉन्च किया SPARK 10 Pro Moon Explorer ...
digit.in
What is DMVPN (Dynamic Multipoint VPN) Phase 2? How to configure DMVPN ...
mpls.internetworks.in
Telecommunication Products
hfcl.com
Beam Routing Manufacturer | Cloud Computing at ETW
etwinternational.in
SNAP #8: How did Ghari become the No.1 detergent brand in India? - by ...
simplanations.in
Fiat Linea 125 S Becomes Most Powerful Petrol Car in its Segment ...
carblogindia.com
Computer Networks, 5/e by Andrew S. Tanenbaum ,David J Wetherall
pearsoned.co.in
Navi Mumbai: Four held for routing international calls to Indian ...
freepressjournal.in
Integration of Information and Optimization Models for Routing in City ...
amazon.in
An Improved Opportunistic Routing Protocol Based on Context Information ...
mdpi.com
Horizon Computers Networking Institute Mumbai
horizoncomputer.org
Miss Malorie Switch Onlyfans 2025 New Media Upload #793
superadmin.kalaignarcentenarylibrary.tn.gov.in
Blogs | HFCL’s Unique Point of View
hfcl.com
Addressing gaps in developing the e-rickshaw market ...
sustainabilityoutlook.in
Samsung Launches Galaxy A12 in India with Best-in-Segment True 48MP ...
news.samsung.com
Samsung India Announces its First Smartphone of 2021; Launches Power ...
news.samsung.com
OIM celebra la diversidad en Trinidad & Tobago con Festival | ONU ...
lac.iom.int
NetEngine 8000 Series Routers | Huawei Enterprise
e.huawei.com
Segmentation, Targeting & Positioning (STP)Marketing Weekly
marketingweekly.in
Guide to PLI Scheme for Food Processing in India
iloconsulting.in
Solved: Use the drawing tool(s) to form the correct answer on the ...
gauthmath.com
RFCs We Love: Sept 2022 (IETF RTG area hot topics edition)
iiesoc.in
Define & draw congruent Line Segment: AB & CD (8 cm), Angles: ABC & PQR ...
brainly.in
Nitin Desai recognised in Oscars' 'In Memoriam' segment; daughter Tanvi ...
timesofindia.indiatimes.com
Syrotech-GEPON OLT-L3-4 * SFP- 4 *SFP+-IEEE 802.3 ah-DHCP-Multicasting ...
grabnpay.in
Toyota India | Toyota enters the Indian B-High segment with its world ...
toyotabharat.com
Fiat Linea 125 S Becomes Most Powerful Petrol Car in its Segment ...
carblogindia.com
Samsung Unveils Galaxy F54 5G with Segment-Leading 108MP No Shake ...
news.samsung.com
Samsung Makes Smartphone Accessible for Bharat, Launches Galaxy M01 ...
news.samsung.com
SECC 2022
secc.in
About US
infinxt.co.in
No.1 Networking and Security Training Institute in Mumbai
horizoncomputer.org
Switches and Routers
zekko.co.in
About US
infinxt.co.in
Computer Networks, 5/e by Andrew S. Tanenbaum and David J Wetherall
pearsoned.co.in
Horizon Computers Networking Institute Mumbai
horizoncomputer.org
[Solved] In the adjoining figure the value of x is - Brainly.in
brainly.in
95 Laces | LBB
lbb.in
SECC 2022
secc.in
Communication Patterns for the Internet of Things | Digit
digit.in
New 2016 BMW 7 Series Launched in India » Car Blog India
carblogindia.com
World of Walt DisneyMarketing Weekly
marketingweekly.in
KEC International shares surge over 6% after securing Rs 3,243 crore ...
msn.com
Horizon Computers Networking Institute Mumbai
horizoncomputer.org
Charted: How Maggi rules India’s noodle market
scroll.in
Samsung Launches Galaxy F62, the #FullOnSpeedy Smartphone with Flagship ...
news.samsung.com
Buy A Network Architect's Guide to 5g Book Online at Low Prices in ...
amazon.in
Related Searches
Multicast Routing
Multicast Routing Diagram
Multicast IP Routing
Multicast Spanig Routing
Multicast Routing Protocols
Multicast Routing Algorithms
Multicast Routing Problems
Multicast Network
Edge Router Multicast Routing
Multicast Routing Challanges
Multicast Routing Para
Static Multicast Routing
Enable Multicast Routing
FortiGate Multicast Routing
Broadcast and Multicast Routing
Multiicast Routing Protocols
Multicast Routing Example
Multicast Forwarder
Multicast Routing Diagram in Networking
Evaluation for Muticast Routing
St2110 Multicast Routing
Multicast Routing Clip Art
What Is Multicast Routing
Multicast Routing in Computer Networks
Multicast Routing Multiple Source
Multi-Axis Colant Routing
Multcast Rounting in Business
Multicast Routing Challanges Layout
Distance Vector Multicast Routing Protocol
Classification of Multicast Routing Protocols
Unicast and Multicast Routing Protocols
Multicast 32
Types of Multicast Routing Protocols
Challenges in Multicast Routing Scalability
Diagrams for Multicast Routing Types
Simple Diagram for Multicast Routing Algorithm
Tree Based Multicast Routing Protocols
Multicast Routing Protocols Assignment
Multicast Rendezvous Point
Multicast Router
Multicast and Broastcast
Multicast Routing Table SG
Multicast Router Port
Intra-Domain Routing Protocol
Explain the Classification of Multicast Routing Protocols
Multicast Address for Routing Protocols
Multicast Flow Diagram
Multicast Routing Protocols Comparison
Diff Betn Unicast and Multicast Routing
What Is Pim Multicast Routing
Search
×
Search
Loading...
No suggestions found