Find Your Style
Women
Men
Accessories
Search for clothing, brands, styles...
×
Women
Men
Accessories
Sequential Order Meaning
Search
Loading...
No suggestions found
GSD to INR Calculator | Convert Get shit done to INR at Live Rates | BingX
bingx.com
Sequential First Order Reactions - Definition, Examples, Concentration ...
aakash.ac.in
Quantitative Aptitude Quiz For FCI Phase I 2023- 19th January
bankersadda.com
What is Chronology? Display Poster (teacher made) - Twinkl
twinkl.co.in
Sequencing Events in Chronological Order KS1 Worksheet
twinkl.co.in
What is Sequencing Information Poster | EYLF Resources
twinkl.co.in
Descending Order- Definition, Symbol, and Examples
adda247.com
Railway Signalling Plan – Railway Signalling Concepts
railwaysignallingconcepts.in
Sequential First Order Reactions - Definition, Examples, Concentration ...
aakash.ac.in
Cardiac Cycle: Systole and Diastole, Phases of the Cardiac Cycle
allen.in
Sequential First Order Reactions - Definition, Examples, Concentration ...
aakash.ac.in
Sequential Words
twinkl.co.in
What is the definition of cauchy sequence with an example?
scoop.eduncle.com
Define convergent sequence of real numbers with an examples
scoop.eduncle.com
draw the flow chart showing the sequential order of reproductive stage ...
brainly.in
What is the definition of cauchy sequence with an example?
scoop.eduncle.com
PAN card | Apply PAN card online | PAN card Status
itzeazy.in
What is a Timeline? - Answered - Twinkl Teaching Wiki
twinkl.co.in
Sequence: Definition and Examples Video Lecture - Algebra - Mathematics
edurev.in
Scientific Method: Sequence and Meaning Word Mat for 3rd-5th
twinkl.co.in
What is a Chronological Report? - Answered - Twinkl Teaching Wiki
twinkl.co.in
What is the definition of cauchy sequence with an example?
scoop.eduncle.com
What Are Architectural Diagrams? | A Guide 2025
novatr.com
Men's Purple Chikankari Embroidered and Sequence Kurtas – Jompers
jompers.com
Faux Georgette Sequence Moti work Kurti Pant Dupatta Set – Ethenika.com
ethenika.com
8-13-8-5-13-8: 3I/ATLAS reportedly sending this mysterious pulse ...
msn.com
How to Interpret a Correlation Coefficient r - India Dictionary
1investing.in
Explain the definition of null sequence with example
scoop.eduncle.com
Viscose Sequence work Party Wear Velvet Suit – Ethenika.com
ethenika.com
Currency Sequence Board Game – My House Teacher
myhouseteacher.com
5-Cauchy sequence and convergence - Elementary Mathematics and ...
studocu.com
Sequence Embroidery work Pakistani Velvet Kurti Pant Dupatta Set ...
ethenika.com
Faux Georgette Sequence Hand Moti and Embroidery work Party Wear Kurti ...
ethenika.com
sequence and series in maths: Definition, Types and Importance of ...
aakash.ac.in
Faux Georgette Sequence Moti work Kurti Pant Dupatta Set – Ethenika.com
ethenika.com
Jimmy Choo Fabric Sequence Embroidery Work Kurti Pant Dupatta Set ...
ethenika.com
Sequence and Series in Bengali: Definition, Formula, and Example for WB ...
adda247.com
Buy Sequence Game Board Only Replacement Part Vintage 1995 From Online ...
etsy.com
sequence and series in maths: Definition, Types and Importance | AESL
aakash.ac.in
sequence and series in maths: Definition, Types and Importance | AESL
aakash.ac.in
Faux Georgette Sequence Embroidery work Lehenga Choli – Ethenika.com
ethenika.com
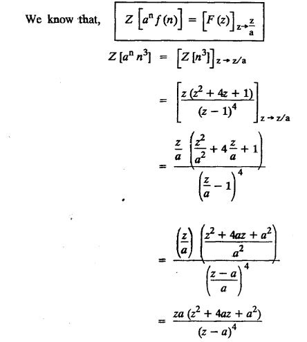
z - transforms - Applications, Elementary properties, Definition ...
mech.poriyaan.in
Difference between sequential and indexed file organisation in form of ...
brainly.in
Cauchy's General Principle of Convergence of Sequence Video Lecture ...
edurev.in
IIT Gandhinagar M.Tech. Interview Experiences / GATE Overflow for GATE CSE
gateoverflow.in
Buy Racing Game PC USB H Gear Shifter Sequential Shifter for Logitech ...
ubuy.co.in
The White Horse of Uffington: And the Meaning of the Fossil Record ...
amazon.in
Instagram Brings Back Chronological News Feed: Here's What's Different
indiatimes.com
Gift Collection Jumbo Sequence Party Game With Jumbo Size Mat of 32 x ...
flipkart.com
qSOFA SCORE - Quick Sequential Organ Failure Assessment score
openmed.co.in
Order Of Reaction : Zero Order And First Order | Science Vision
sciencevision.in
Sajani All New Extra Large Size Sequence Game(Size:17*14 inches ...
flipkart.com
z - transforms - Applications, Elementary properties, Definition ...
mech.poriyaan.in
Make a flow chart showing the different agricultural practices in ...
brainly.in
z - transforms - Applications, Elementary properties, Definition ...
mech.poriyaan.in
A Frog's Life: Learning Sequential Order Using a Timeline (Math For the ...
amazon.in
shopivi Sequence Board Game With Playing Board, Playing Cards and Red ...
flipkart.com
Work with Invoice Layouts
docs.oracle.com
SKEDIZ Jumbo Sequence Board Game Challenging Card Game for Ages 7 ...
flipkart.com
Definition of limit of a sequence and sequence convergence Video ...
edurev.in
(Carlson P.) BROCA : A Computerized Environment for Mediating ...
jucs.org
Analysis of Clocked Sequential Circuits - Analysis & Design of Clocked ...
cse.poriyaan.in
7 Rainbow Colours Names in Order, Drawing, Meaning
careerpower.in
write different steps for wool processing in sequence . shearing ...
brainly.in
Sequential Cropping - Agriculture Notes
prepp.in
SQT-1022 Sequence Timer 4 Channel : Amazon.in: Home & Kitchen
amazon.in
EC3352 Digital System Design unit4 - ASynchronous Sequential Circuits 4 ...
studocu.com
Prism Enterprise Sequence Board Game With Playing Board, Playing Cards ...
flipkart.com
On 1st January, 2018, A drew a bill on B for ₹ 10,000 payable after 3 ...
brainly.in
Bond Parameters: Bond Angle, Bond Energy and Bond Order.
allen.in
Writing a Recount KS2 PowerPoint
twinkl.co.in
[Solved] Make a flow chart showing the different agricultural practices ...
brainly.in
Kmc kidoz Sequence Board Game for Kids & Adults with Playing Card and ...
flipkart.com
Sequencing Cards: Making a Cake | Twinkl Symbols
twinkl.co.in
What is a sales invoice? Complete guide on how to create one
zendesk.com
Doing MBA? Know how to write a winning resume
freepressjournal.in
Different Types of Resume Formats with Examples | Resumemaker.in
resumemaker.in
What is a Delivery Order? Meaning, Process Explained?
sleekbill.in
Gurbani Creations Sequence Board Game With Playing Board, Playing Cards ...
flipkart.com
7 Rainbow Colours Names in Order, Drawing, Meaning
careerpower.in
Vland Led Tail Lights For 2010 2014 Golf 6 Mk6 | Desertcart INDIA
desertcart.in
Sentinel Controlled Loops
bitdeploy.in
Could u plz differ acropetal order and basipetal order in inflorescence ...
edurev.in
What is Set Mathematics? - Answered - Twinkl Teaching Wiki
twinkl.co.in
find the order of rotational symmetry of the following figure do it in ...
brainly.in
Novel Spatio-Temporal Continuous Sign Language Recognition Using an ...
mdpi.com
Vland Led Drl Headlights Assembly Pair For 2005 2009 F | Desertcart INDIA
desertcart.in
what are Chronicles - Brainly.in
brainly.in
What Is Pension Payment Order (PPO) And How To Get A PPO Number?
cleartax.in
What is the Order of Operations? Definition, Examples
twinkl.co.in
order meaning — Free Android Card Game
web.iitm.ac.in
Order of mesomeric effect?????????????
scoop.eduncle.com
Can anyone please send me correct inductive effect order(+i and -i)
scoop.eduncle.com
Dual-Clutch Transmission: What Is It And How Does It Work
godigit.com
A Parent’s Guide: ASL Meaning and Protecting Your Child’s Privacy
famisafe.wondershare.com
Vacuum Furnace | Industrial Vacuum Pump Manufacturers | Tekman India
tekman.co.in
On 1st January, 2018, A drew a bill on B for ₹ 10,000 payable after 3 ...
brainly.in
Stay Order क्या होता हैं: जाने प्रकार, जारी करने की शर्तें और उल्लंघन ...
99acres.com
SC Sets Aside Calcutta HC Order For CBI Probe Into West Bengal Cabinet ...
freepressjournal.in
Vland Led Rear Lights For Golf Mk6 Golf 6 Tsi | Desertcart INDIA
desertcart.in
What is a Purchase Order? Meaning, Format, Types, Example, How to Make it
clear.in
How to Read Candlestick Charts for Intraday, F&O and Trading
groww.in
Buy Racing Game USB H Gear Shifter Sequential Shifter for Logitech for ...
ubuy.co.in
What is a Delivery Order? Meaning, Process Explained?
sleekbill.in
Vland Led Tail Lights For Honda Civic 10th Gen Hatchback | Desertcart INDIA
desertcart.in
Fillable Online Purchase Order - Meaning , Format, Types, Examples ...
pdffiller.com
What is Dividend? Definition of Dividend, Dividend Meaning - The ...
economictimes.indiatimes.com
TOMBSTONE R.I.P. TOMBSTONE MEANING
cbt.iitd.ac.in
Get Solid Bow Detail Ballerinas at ₹ 799 | LBB Shop
lbb.in
Conical Scan and Sequential Lobing - Department of ECE, KITSW 8ECE3 AY ...
studocu.com
7 Rainbow Colours Names in Order, Drawing, Meaning
careerpower.in
News
capital40.com
7 Rainbow Colours Names in Order, Drawing, Meaning
careerpower.in
Archaic Headlights Assemblies For 10th Gen Honda Civic 2016 2021 ...
desertcart.in
File Organization - File Organisation notes - File Organization File ...
studocu.com
What Is The Solar System? Types Of Planets, 55% OFF
aic-prestigeinspirefoundation.in
Buy Pio Baroja`s `Memorias de un Hombre de Acción` a – The Search for ...
amazon.in
Buy Advent Candles for Christmas Holiday Banner Set of 5 G2018 Online ...
etsy.com
Opposition Leader R. Ashok slams Siddaramaiah over Law and Order situation
english.varthabharati.in
Alphabet Test - Class 5 Math Olympiad - FREE PDF Download
edurev.in
Related Searches
Sequential Order
Sequential Meaning
Sequential Numbering
Sequential Definition
Sequential Order Examples
Sequential Order Worksheets
What Is Sequential Order
Sequentially
Sequential Order Passage
Consecutive Vs. Sequential
Sequential Order Numbers
Sequence Order Meaning
Sequential Ordering
Sequential Order of Events
Sequential Order in Writing
Sequential Instruction
Sequential Access
Sequential Text
Sequential Def
Different Sequential Order
Words for Sequential Order
Sequential Order Essay
Sequential Hypothesis
Chronological Order vs Sequential Order
Label in Sequential Order Meaning
Story Sequential Order
Another Word for Sequential
Sequiential Order
Sequential Narrative Meaning
Sequential Summary Meaning
Censorship Meaning
Chronological Order Worksheet
What Does Sequential Mean
Sequential Characters Meaning
Sequential File Access
Pre-Order Sequential
Sequential Means in Order
Seqeuntial Order
Sequential versus Chronological Order
Chronological Order Graphic Organizer
Everything Should Be in Sequential Order
Sequential Order in Programming
Scenes in Sequential Order O
Sequencing Order of the Story
Ticket May Not Be in Sequential Order
Example of Sequential Order in Expository
Chronological Order Worksheets 2nd Grade
Research Presentation Organization Sequential Order
Popular Things That Go in Sequential Order
Sequential Order PPT Slide
Search
×
Search
Loading...
No suggestions found