Find Your Style
Women
Men
Accessories
Search for clothing, brands, styles...
×
Women
Men
Accessories
Shortest Distance Between Vector And A Point
Search
Loading...
No suggestions found
View question - shortest distance between two lines via vector equation
web2.0calc.com
Write the vector equation of the following lines and hence find the ...
esaral.com
A point p is 20mm below h.P. And lies in the third quadrant. Its ...
brainly.in
Find the shortest distance and the vector equation of the line of ...
brainly.in
If the shortest distance between the straight lines
esaral.com
The length of the shortest distance between the lines vecr=3 hati+5 ...
tardigrade.in
Shortest distance between two lines in 3d formula derivation - Brainly.in
brainly.in
Point P has coordinates (-4,-2) and point Q has coordinates (4,3 ...
brainly.in
Consider two lines in space as L1: vecr1= hatj+2 hatk+λ(3 hati- hatj ...
tardigrade.in
In the diagram, the lines QR and ST are parallel to each other. The ...
prepp.in
Write the vector equation of the following lines and hence find the ...
esaral.com
Understanding Distance and Displacement: Definitions, Differences, and ...
allen.in
Quantitative Aptitude: GATE CSE 2025 | Set 1 | GA Question: 7
gateoverflow.in
Module 1 - ####### Vectors: Finding the distance between 2 vectors ...
studocu.com
x+1 Find the shortest distance between the lines 7. y+1 - x-3 = 3+1 and ...
brainly.in
The shortest distance between the line y-x=1 and curve x=y^2 is ...
brainly.in
Draw the projection of a point P lying 30 mm above HP and in first ...
brainly.in
Figure 5. The projections of lines AB and PQ for problem 3.
archive.nptel.ac.in
Three vectors `vecP,vecQ " and " vecR` are shown in the figure. Let S ...
allen.in
The line l1 passes through the point (2,6,2) and is perpendicular to ...
tardigrade.in
The shortest distance of the point (2, 3) from the X axis is - Brainly.in
brainly.in
The shortest distance between the line x=y and the curve `y^(2)=x-2` is
allen.in
Find the shortest distance between the given lines.
esaral.com
The shortest distance between the line
esaral.com
(xi) In a circle with radius R, the shortest distance between two ...
iqclasses.in
The shortest distance between the line
esaral.com
The shortest distance between the point
esaral.com
The shortest distance between line `(x-3)/(3)=(y-8)/(-1)=(z-3)/(1) and ...
allen.in
the shortest distance between the line y-x=1 and the curve x=y^2 ...
brainly.in
Equation of the line of the shortest distance between the lines (x/1 ...
tardigrade.in
Find the shortest distance between the given lines.
esaral.com
Angle Between Two Vectors- Meaning, Formula, Examples
adda247.com
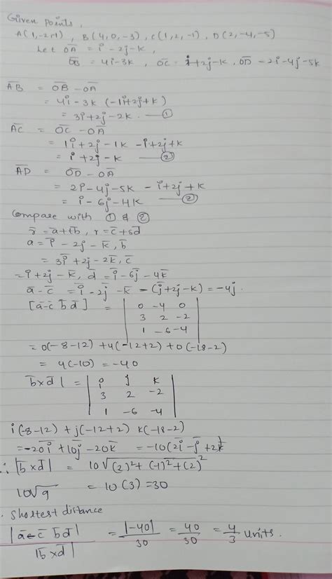
If A = (1, -2, -1), B = (4, 0, -3), C = (1, 2, -1) and D = (2, -4, -5 ...
brainly.in
Shortest Distance between Two Skew lines - Mathematics for Grade 12 PDF ...
edurev.in
difference between distance and displacement in physics: Definition ...
aakash.ac.in
The shortest distance between a point a(2 35) and a line given by y=6x ...
brainly.in
Compute the shortest distance between the lines
esaral.com
Great Circles - Rhumbline
kavas.com
In the diagram, the lines QR and ST are parallel to each other. The ...
prepp.in
Great Circles - Rhumbline
kavas.com
The shortest distance between the
esaral.com
Shortest distance between line y equals x and curve y square - Brainly.in
brainly.in
The shortest distance between the line y = x and the curve y² = x - 2 ...
brainly.in
Shortest distance between the lines (x-1/1)=(y-1/1)=(z-1/1) and (x-2/1 ...
tardigrade.in
Find the shortest distance between the given lines.
esaral.com
Finding Shortest Path - Operations, Algorithm with Example C Programs ...
cse.poriyaan.in
Find the shortest distance between the lines r = i+2j+3k + lambda (2i ...
brainly.in
Compute the shortest distance between the lines
esaral.com
Find the shortest distance between the given lines.
esaral.com
Find the shortest distance between the lines whose vector equations are ...
brainly.in
In the diagram, the lines QR and ST are parallel to each other. The ...
prepp.in
Solved: Figure 3 Figure 3 shows the circle C with equation x^2+y^2-10x ...
gauthmath.com
the shortest distance between the line y-x=1 and the curve x=y^2 ...
brainly.in
The shortest distance from the point (1,2,-1) to the surface of the ...
tardigrade.in
Multi-Scale and Multi-Match for Few-Shot Plant Disease Image Semantic ...
mdpi.com
Two cars A and B are moving with uniform velocityas shown in figure ...
brainly.in
Faculty Blogs
marwaricollegeranchi.ac.in
UNIT-II EG - NOTES - PROJECTION OF POINTS A Point P is 15 mm Above H ...
studocu.com
Compute the shortest distance between the lines
esaral.com
In the diagram, the lines QR and ST are parallel to each other. The ...
prepp.in
A person starts from a point a and travels 3 km eastwards to b and then ...
brainly.in
Assertion (A):Displacement of an object may be zeroeven if the distance ...
brainly.in
Find the shortest distance between the given lines.
esaral.com
Find the shortest distance between the line x - 1 / 2 = y 1 by 3 equal ...
brainly.in
Two circles have a direct common tangent with length 36cm. The shortest ...
tardigrade.in
Draw the projections of a point lying 20 mm above HP and is in first ...
brainly.in
The shortest distance between two skew lines cartesian form - Brainly.in
brainly.in
Two plane mirrors M 1 and M 2 are at right angle to each other shown. A ...
tardigrade.in
Comprehensive Analysis of Collinear Points: Definitions, Examples ...
collegesearch.in
I/Q Rotation [Analog Devices Wiki]
wiki.analog.com
Let A be the area between co-ordinate axes, y 2= x -2, x 2= y -2 and ...
tardigrade.in
Shortest Distance in a Binary Maze
thejat.in
Find the shortest distance between the skew lines r = (6i + 2j + 2k ...
brainly.in
Quantitative Aptitude: CAT 1995 | Question: 88
aptitude.gateoverflow.in
Formula for distance between two parallel lines - Brainly.in
brainly.in
Point Of Intersection Formula: Applications And Examples
pw.live
The shortest distance between the line y = x and the curve y2 = x - 2 is
tardigrade.in
A person starts from a point a and travels 3 km eastwards to b and then ...
brainly.in
இரு நேர்க்கோடுகளுக்கு இடைப்பட்ட மீச்சிறு தூரம் (Shortest distance ...
brainkart.in
Find the shortest distance between the given lines.
esaral.com
Find the shortest distance between the skew lines r = (6i + 2j + 2k ...
brainly.in
A square ABCD is of diagonal 2 a is folded along the diagonal AC so ...
tardigrade.in
The shortest distance of which of these points from point O is 5 units ...
brainly.in
Difference between distance and displacement in table - Brainly.in
brainly.in
Explain in detail about Dijkstra’s Algorithm of Shortest Path. Also ...
brainly.in
Construct a hyperbola when the distance between the focus and directrix ...
brainly.in
Figure shows a bar magnet and a long straight wire W, carrying current ...
edurev.in
Faculty Blogs
marwaricollegeranchi.ac.in
Two plane mirrors M 1 and M 2 are at right angle to each other shown. A ...
tardigrade.in
இரு நேர்க்கோடுகளுக்கு இடைப்பட்ட மீச்சிறு தூரம் (Shortest distance ...
brainkart.in
Vector Addition - law, Solved Example Problems
mech.poriyaan.in
இரு நேர்க்கோடுகளுக்கு இடைப்பட்ட மீச்சிறு தூரம் (Shortest distance ...
brainkart.in
1. The correct relation between vectors P, Q and R is (1) P+Q=R (3) Q=R ...
brainly.in
How should a man cross the river in order that he takes (i) shortest ...
ask.learncbse.in
Three girls skating on a circular ice ground of radius 200 m start from ...
allen.in
An object moves in a circular path of radius 14m.Calculate the distance ...
brainly.in
Shortest Distance in a Binary Maze
thejat.in
Triangle law of Vector Addition, Angle between two vectors & Properties ...
aakash.ac.in
இரு நேர்க்கோடுகளுக்கு இடைப்பட்ட மீச்சிறு தூரம் (Shortest distance ...
brainkart.in
Blog | Utyl
blog.utyl.in
The shortest distance between the line y - x = 1 and the curve x = y2 is
tardigrade.in
The angle between vector `(vecA)` and `(vecA-vecB)` is
allen.in
Find the shortest distance between the skew lines r = (6i + 2j + 2k ...
brainly.in
A person walks along a semicircular path from A to B as shown in the ...
allen.in
Consider a circle C: x 2+ y 2-8 y +12=0 and an ellipse E: ( x 2/ a 2 ...
tardigrade.in
The Shortest Distance Between You and a Published Book eBook : Page ...
amazon.in
Angle Between Two Planes: Formula, In vector Form with Examples.
allen.in
find the distance of the point p(2,3)from y axis - Brainly.in
brainly.in
THREE DIMENSIONAL GEOMETRY Chapter 11 Notes for Class XI - Studocu
studocu.com
Coordinate Geometry basic concepts
catking.in
Give the statement of Coulomb's law for the force between two point ...
brainly.in
The shortest distance between the line x-y=1 and the curve x2=2 y is
tardigrade.in
Shortest distance between two lines in 3d formula derivation - Brainly.in
brainly.in
Ram Shyam are walking on two perpendicular tracks with speed `3ms^(-1 ...
allen.in
இரு நேர்க்கோடுகளுக்கு இடைப்பட்ட மீச்சிறு தூரம் (Shortest distance ...
brainkart.in
The Shortest Distance Between You and Your New Product, 2nd Edition ...
flipkart.com
Triangle Law of Vector Addition: Definitions, Formula, Derivations ...
collegesearch.in
Consider a triangular prism formed by the coordinate planes and planes ...
tardigrade.in
If A vector +B vector =C vector and A + B = C, then the angle between A ...
brainly.in
Search
×
Search
Loading...
No suggestions found