Find Your Style
Women
Men
Accessories
Search for clothing, brands, styles...
×
Women
Men
Accessories
Sidi Wire 2
Search
Loading...
No suggestions found
Sidi Genius 10 (Black Yellow Fluo) – Mastermind Bicycle Studio
mastermindbikes.com
Zapatillas sidi on sale de ruta
metrorailnews.in
Zubehör für Sidi Wire 2 Carbon - Galaxus
galaxus.ch
Scarpe da bicicletta Sidi Wire 2S | Decathlon
decathlon.it
Scarpe da bicicletta Sidi Wire 2S | Decathlon
decathlon.it
Zubehör für Sidi Wire 2 Carbon - Galaxus
galaxus.ch
Zubehör für Sidi RR Wire 2S Carbon weiss/black 39 - Galaxus
galaxus.ch
Zubehör für Sidi RR Wire 3 - Galaxus
galaxus.ch
Sidi Wire Push Size 41 EU | eBay UK
ebay.co.uk
Zubehör für Sidi RR Wire 2S Carbon weiss/black 39 - Galaxus
galaxus.ch
Research on Deterioration Mechanism and High-Precision Modelling of the ...
mdpi.com
Buy YardGard Chicken Wire 2 Inch Mesh 24 Inch X 150 Foot 20 Gauge ...
desertcart.in
Wire | JSHTech
jshtech.in
Geeyu ZHaonan-Copper Wire 28AWG Signal Wire 2 3 4 5 6 8 10 Core, PVC ...
amazon.in
Buy JewWire Jewelry Wire, 2 Rolls All-Purpose Craft Wire, 20 Gauge Wire ...
ubuy.co.in
Tata Barbed Wire, Barbed Wire for Fencing Approx Length 300 Meters ...
amazon.in
AT Kabel Single core FR PVC 90 mtr Wire -wiring Homes Buildings ...
amazon.in
Anchor by Panasonic Advance FR Electric Wire | 2 sq mm PVC Insulated ...
amazon.in
A.C. systems - Three Phase Three Wire System - Three Phase Four Wire ...
eee.poriyaan.in
Electronicspices JST WIRE 2 PIN Male - Female Locking Type For Electric ...
amazon.in
Pure Source India Flexible 0.25mm x 4 Core Round Copper Electrical Wire ...
amazon.in
18650 Li-ion Battery Charger with Wire - 2 Cell – QuartzComponents
quartzcomponents.com
Buy SIDI Adventure 2 Gore-Tex Boots Online in India – superbikestore
superbikestore.in
Anchor by Pansonic Advance FR Electric Wire | 6 sq mm PVC Insulated ...
amazon.in
Buy SIDI Adventure 2 Gore-Tex Boots Online in India – superbikestore
superbikestore.in
10 Mtr, 1 MM Aluminium Colored Wire
beadsnfashion.com
Ss304 Stainless Steel Welded Wire Mesh - 12 inch | Ubuy India
ubuy.co.in
Elevea Flexible 2.5mm Copper Wire for Home or Domestic Industrial ...
amazon.in
Buy Helmet Visors Online in India – superbikestore
superbikestore.in
Wire Rope Sling - 5mm Wire Sling Ropes Trader - Wholesaler ...
gilokhandwala.in
Aberonics Heavy Duty Extension Board 2 Dual Socket with ON/Off Switch ...
amazon.in
SEASIDE SERVICED APARTMENTS (Sidi Abdel Rahman) - Apartment Reviews ...
tripadvisor.in
CAMPING WASSAY BEACH (Sidi Binzarne) - Campground Reviews, Photos, Rate ...
tripadvisor.in
The Best Sidi Abdel Rahman Beach Hotels 2024 (with Prices) - Tripadvisor
tripadvisor.in
VILLA LABA (Sidi Kaouki) - Hotel Reviews & Photos - Tripadvisor
tripadvisor.in
Royal Mausoleum of Mauretania, Sidi Rached - Tripadvisor
tripadvisor.in
MARASSI NORTH COAST VILLAS & PALACES (Sidi Abdel Rahman) - Lodging ...
tripadvisor.in
Stainless Steel Wire Mesh Screen Roll - Aperture 4.5mm, Wire Diameter 0 ...
amazon.in
CAMPING WASSAY BEACH (Sidi Binzarne) - Campground Reviews, Photos, Rate ...
tripadvisor.in
VILLA LABA (Sidi Kaouki) - Hotel Reviews & Photos - Tripadvisor
tripadvisor.in
Swpeet 700Pcs Automotive Electrical Wire Connectors Kit, 2.8mm 2 3 4 6 ...
amazon.in
AGARO Multi-Purpose Wire Stripper & Cutter, 10-22 AWG/0.6-2.6 mm solid ...
amazon.in
A-Mart™ PVC 2.5 sq/mm Red 70 m Wire Price in India - Buy A-Mart™ PVC 2. ...
flipkart.com
Shakti Technology MAG/MMA-200G Welder, 200Amp Gasless Welding Machine ...
pricehistoryapp.com
MAISON BLANCHE (Sidi R'bat) - Hostel Reviews & Photos - Tripadvisor
tripadvisor.in
The Best Sidi Abdel Rahman Beach Hotels 2025 (with Prices) - Tripadvisor
tripadvisor.in
Sankirtan 1500 AMP Car Heavy Duty Auto Jumper Cable Battery Booster ...
amazon.in
10 Mtr, 2.5mm Aluminium Colored Wire
beadsnfashion.com
Kaalingaa 2.5 Sq/mm Copper Wire for Home or Domestic Industrial ...
flipkart.com
Buy Entisia Hand Blender Wire Whisk - Stainless Steel Balloon Shaped ...
amazon.in
Encore Wire 2 UF Wire (By-the-roll) at Lowes.com
lowes.com
AUBERGE SIDI OUARZEG (Sidi Ifni) - Lodge Reviews, Photos, Rate ...
tripadvisor.in
MARASSI NORTH COAST VILLAS & PALACES (Sidi Abdel Rahman) - Lodging ...
tripadvisor.in
JELECTRICALS Brown (2+2) Heavy Duty Extension Board 6A 2 Anchor Switch ...
flipkart.com
Shockley Two-Wire 2 wire 0.28 Inch Calibratable Mini Digital DC ...
amazon.in
PATIKIL 2.5ft Refrigeration Compressor Connection Wire, 2 Pack ...
amazon.in
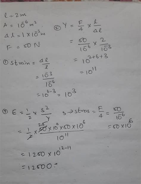
A wire 2 m long and cross sectional area 10^-6 m^2 is stretched 1 mm by ...
brainly.in
CORDNET PVC-Insulated, Single-Core, Multistrand Copper Wire (2.5 sq. mm ...
amazon.in
The Best Last Minute Hotels in Sidi Abdel Rahman 2025 - Tripadvisor
tripadvisor.in
KHOPALA 2 Socket & 2 Switch Board with 3 Yard wire 2 Socket Extension ...
flipkart.com
Kaalingaa 2.5 Sq/mm Copper Wire for Home or Domestic Industrial ...
flipkart.com
आधुनिक घर के लिए 10 आकर्षक गोल सीढ़ियों के डिजाइन | Housing News
housing.com
Kaalingaa 2.5 Sq/mm Copper Wire for Home or Domestic Industrial ...
flipkart.com
DIVON PVC INSULATED WIRES & CABLES 1.5 sqmm Heavy Rated Cables | Home ...
amazon.in
12awg 3.3mm² Electrical wire 2 Conductor parallel silicone wire ...
amazon.in
CORDNET PVC-Insulated, Single-Core, Multistrand Copper Wire (2.5 sq. mm ...
amazon.in
2/5/10/20pcs Non-Scratch Wire Dishcloth, Multipurpose Wire Dishwashing ...
au.shein.com
Buy SeCro Extension Board - 2 16A Socket with Two Switch and Heavy Duty ...
amazon.in
Data Cables - 2 Pair Telephone Wire Manufacturer from New Delhi
jcicables.in
CLAPON Extension Board Foldable Sewing Machine Table Saving Space Two ...
amazon.in
amiciSense PT100 RTD Temperature Sensor with RS485 MODBUS RTU |3-Wire/2 ...
flipkart.com
PANKATI Extension Board 16 Amp with Long Wire 2 Meter (1.5) MM 2 Socket ...
flipkart.com
SP Electron 15W Soldering iron With SOlder Wire, 2 in 1 Combo for ...
amazon.in
Iph Mas 2600/2P 4-20Ma Two Wire Transmitter – Aeliya Marine Tech
aeliyamarinetech.com
The current voltage graphs for a given metalic wire two different ...
allen.in
HOTEL KSAR DHIAFA BY PLAZA HOTELS & RESORTS (Sidi Bouzid) - Hotel ...
tripadvisor.in
The 16th-century design that inspired the logo of IIM, Ahmedabad ...
architecturaldigest.in
PANKATI Extension Board 16 Amp with Long Wire 2 Meter (1.5) MM 2 Socket ...
flipkart.com
With 'Prachand', Will Air Force Bring Back Tradition of Giving Aircraft ...
thewire.in
2/5/10/20pcs Non-Scratch Wire Dishcloth, Multipurpose Wire Dishwashing ...
au.shein.com
Buy Wiggle wire online
eshop.wuerth.in
PANKATI Extension Board 16 Amp with Long Wire 2 Meter (1.5) MM 2 Socket ...
flipkart.com
Rt168A 4-20Ma Two Wire Transmitter Board E231017 – Aeliya Marine Tech
aeliyamarinetech.com
Fringo Flexible Wire Male-Female Socket Plug | Copper Wire with 2 Pin ...
amazon.in
Wire Stripper Multifunctional Cable Stripper Wire Cutter Wire Crimper ...
amazon.in
NAOEVO 18 Gauge Wire 2 Conductor Electrical Wire, 18 AWG Stranded PVC ...
amazon.in
Dual Core Full Shielded Wire - 1Mtr, 2 Core Wire, Two Core Wire, Dual ...
royalcomponents.in
VRINDACAB Multi-Strand Copper Flame Retardant House Wire (2.5mm Gauge ...
amazon.in
A long straight wire of a circular cross section (radius a ) carries a ...
tardigrade.in
SEASIDE SERVICED APARTMENTS (Sidi Abdel Rahman) - Apartment Reviews ...
tripadvisor.in
The Wire: The Wire News India, Latest News,News from India, Politics ...
thewire.in
MAJESTRONICS MODULAR ADVANCED FR WIRE 2 Socket Extension Boards Price ...
flipkart.com
100% Pure Copper 4 Core Wire Cable 2.5mm sq National Original Brand ...
amazon.in
Sidi R'bat Tourism (2024): All You Need to Know Before You Go
tripadvisor.in
¿Quién es Tesh Sidi, la diputada 'olvidada' que paraliza la votación ...
mundodeportivo.com
VGS MARKETINGS KTS CR2032 3V PLC BIOS CMOS Notebook lithium laptop ...
flipkart.com
REES52® 560PCS Heat Shrink Tubing 2:1, Electrical Wire Cable Wrap ...
amazon.in
MAJESTRONICS MODULAR ADVANCED FR WIRE 2 Socket Extension Boards Price ...
flipkart.com
Is 2025 Maha Kumbh Really a 'Rare' Event Held After 144 Years? - The Wire
thewire.in
An Open Letter to India’s Judges On What Counts as ‘Anti-National ...
thewire.in
crexan Extension Board 16A/2500W,16A Switch+16A Socket( Safety Shutter ...
flipkart.com
Buy SZDYQ Wire Handle Wire Rope Pulling Tool, Cable Clamp Wire Rope ...
desertcart.in
Linketel Telephone Handset Phone Extension Cord Curly Coil Line Cable ...
amazon.in
SeCro 2-Pin Flexible Male-Female Socket, Round Wire, Extension Cord for ...
amazon.in
Kaalingaa 2.5 Sq/mm Copper Wire for Home or Domestic Industrial ...
flipkart.com
Kaalingaa 2.5 Sq/mm Copper Wire for Home or Domestic Industrial ...
flipkart.com
Er308L Stainless Steel Mig Welding Wire 2-lb Spool 0.030" (0.8mm ...
amazon.in
A circular steel wire 2.00 m long must stretch no more than 0.25 m when ...
edurev.in
Buy MerainMe Welding Soldering Station Wire Clamp Bracket Workbench ABS ...
desertcart.in
Get-Set-Go! 100pcs (Gold & Silver) Flexible Metal Wire/Craft Wire (Easy ...
amazon.in
XANADU GUESTHOUSE (Sidi Ifni) - B&B Reviews, Photos, Rate Comparison ...
tripadvisor.in
Bangladesh at 50: Created in Violence and Still Bearing Scars of a ...
thewire.in
Is Indore's 'Smart City' Drive All About Forced Evictions? - The Wire
thewire.in
Er308L Stainless Steel Mig Welding Wire 2-lb Spool 0.030" (0.8mm ...
amazon.in
PANKATI Extension Board 16 Amp with Long Wire 2 Meter (1.5) MM 2 Socket ...
flipkart.com
Buy APEX PREMIUM PVC Insulated Wire and Single Core Flexible Copper ...
desertcart.in
DC Motor Driver, DM542 DC 24V~50V Stepper Motor Driver for 2-Phase 4 ...
amazon.in
How Much Money Did the BJP Really Get From Electoral Bonds? - The Wire
thewire.in
VILLA LABA (Sidi Kaouki) - Hotel Reviews & Photos - Tripadvisor
tripadvisor.in
Orient Electric 240V 6A Four-Way Extension Board with Wire - 2 Metre ...
amazon.in
Related Searches
Sidi Wire 2 Stiffness
Sidi Wire 2 Carbon
Sidi Wire 2 Shoe
Sidi Wire 2 Carbon Air
Sidi Wire 2 White
Sidi Wire 2 Carbon Road Shoes
Sidi Wire 2 Anthracite
Sidi Cycling Shoes
Sidi Wire 2 Size Chart
Sidi Wire 2s
Sidi Wire 2 Matt Carbon Road Shoes
Sidi Wire 2 Carbon Shoes Air Limited
Sidi Wire 2 Speedplay Carbon Shoes
Sidi Wire Old Shoe
Sidi Wire 2 Air Carbon 4 Hole
Sidi Shot 2
Sidi Alba 2
Sidi Wiring
Sidi Wire MTB Shoe
Sidi Schuhe Wire 2 Cycling Shoes Grey
Sidi Wire 2 Carbon Road Cycling Shoes NZ
Sidi Schuhe Wire 2 Cycling Shoes Blue
Sidi Energy 2
Wire Side Mate
Sidi Wire 2s Black
Sidi Box
Sidi Carbon Wire 2 Replacement Wires
Sidi Wire Replacement Parts
Sidi Wire Air Lucido White
Sidi Baja 2
Sidi Cleats
Strap Sidi
Sidi Wire 2 Carbon Racefiets Schoenen Wit
Sidi Drako 2 Lace Wire Replacement Kit
Sidi Bike Shoes
Sidi Wire 2 Matt Carbon Road Shoes vs Shimano Sphyre
Sidi Gravel
Sidi Ergo 2 White
Sidi Physis Cycling Shoes
Sidi Njie Track
Sidi Flat Sole Insert
Sidi Shoe Assembly
Sidi Heels
Sidi Forming Machine
Hakken Sidi Raceschoenen
Sidi Scarpe Bici
Sidi Route
Sidi Wire Carbon Shoes Orange
Blue Sidi Genius 2 Shoes
Sidi Wide Road Shoes
Search
×
Search
Loading...
No suggestions found