Find Your Style
Women
Men
Accessories
Search for clothing, brands, styles...
×
Women
Men
Accessories
Significant Figures Percent
Search
Loading...
No suggestions found
Perform the following calculations upto proper number of significant ...
brainly.in
the result of (2.01*4.06) cm2 + 1.6cm2 upto correct significant figure ...
brainly.in
each side of a cube is measured to be 7.203m. what are the total ...
brainly.in
State the number of significant figure in the following а) 0.00164 km b ...
brainly.in
a+b ab a = 2 x 104 and b = 8 x 105 Work out the value of y. Give your ...
brainly.in
Add 3.8 × 10⁻⁶ and 4.2 × 10⁻⁵ with due regards to significant figures ...
brainly.in
முக்கிய எண்ணுருக்கள் - வரையறை மற்றும் விதிகள், தீர்க்கப்பட்ட ...
brainkart.in
Virtual Labs
ds2-iiith.vlabs.ac.in
Significant Figures Five Lesson Starters PowerPoint
twinkl.co.in
Press Release:Press Information Bureau
pib.gov.in
Pi Digits Display Poster (teacher made) - Twinkl
twinkl.co.in
What is SGST CGST and IGST?
cleartax.in
Figure-rise Standard MASKED RIDER HIBIKI
inckarnataka.in
Press Release: Press Information Bureau
pib.gov.in
Emissions of Greenhouse Gases from Municipal Solid Waste Management ...
mdpi.com
Direct benefit transfer scheme to replace subsidised PDS foodgrains hit ...
scroll.in
A major component of gasoline is octane. When octane is burned in air ...
brainly.in
Non-Alcoholic Steatohepatitis (NASH) Market Size and Share | 2025
alliedmarketresearch.com
How Africa, India and China will reshape the global food landscape ...
morningstar.in
View question - Growth factor to Percent Change
web2.0calc.com
Formula to Calculate Percentage Change in Excel
encodedna.com
Gujarat Titans Ownership | Gujarat IPL Team Owner
delhiroyale.in
How common is cheating in college relationships?
getidyll.in
Wastewater Treatment Sector in India | UJA Market Report
uja.in
In Charts: What Women's Representation in India's Parliament ...
thewire.in
what percentage of this figure is shaded - Brainly.in
brainly.in
View question - If $a$, $b$, $c$, and $d$ are four different digits ...
web2.0calc.com
Significant Beneficial Ownership (Part 1 of 3)
taxguru.in
The left most digit is called least significant digit.___ - Brainly.in
brainly.in
Percent Difference Formula, Definition, Solved Examples
pw.live
Second World War Significant Figures Display Poster
twinkl.co.in
A Review of the Literature on the Environmental and Health Impact of ...
mdpi.com
In how many years will Rs 2,000 amount to Rs. 2,662 at 10 percent p.a C ...
brainly.in
The Enormous Scale Of Global Food Waste - The Wire
thewire.in
Is OPEC Losing Its Ability to Influence Oil Prices?
stlouisfed.org
Write an algorithm and draw a flowchart to find the sum of first 50 ...
allen.in
Closed-loop insulin delivery systems beneficial for children with Type ...
medicaldialogues.in
farmers: Excess output hits onion garlic farmers - The Economic Times
economictimes.indiatimes.com
A control valve, with a turndown ratio of 50, follows equal percentage ...
edurev.in
Marie Curie: A Reference Guide to Her Life and Works (Significant ...
amazon.in
Emissions of Greenhouse Gases from Municipal Solid Waste Management ...
mdpi.com
Would ABS or Airbags have helped? Data from Hundreds of Indian ...
team-bhp.com
Private higher education is burgeoning in India – but millions can't ...
scroll.in
A Limiting Factor of Sex Attractants of Bactrocera dorsalis (Diptera ...
mdpi.com
Please ensure 'Percentage' is entered with 2 digits after decimal point ...
brainly.in
Matriculation Certificate Meaning: Types, Matriculation Boards, Grading ...
collegesearch.in
What percent of these figures are shaded? - Brainly.in
brainly.in
the sum of the digits of a two digit number is 8 and the difference ...
brainly.in
Q.1 A two-digit number is equal to 5 times the sum -slay of its digits ...
brainly.in
Recent Developments in Low-Power AI Accelerators: A Survey
mdpi.com
View question - A number has three distinct digits. The sum of the ...
web2.0calc.com
Data Story : Mental Disorders In India - GS SCORE
iasscore.in
Air Pollution in India - Environment Notes
prepp.in
Hindu population declined, Muslims increased: 2011 census - India News
indiatoday.in
What percent of these figures are shaded? - Brainly.in
brainly.in
Is Small the new Big?Insights
fundsindia.com
View question - Find the last 2 digits of 18^(37)
web2.0calc.com
the sum of the digits of a two digit number is 9 if 9 is added to the ...
brainly.in
Private higher education is burgeoning in India – but millions can't ...
scroll.in
Did Kerala attain 100% Aadhaar saturation? - IBTimes India
ibtimes.co.in
Heatreaters & Engineers
heatreaters-engineers.com
Heatreaters & Engineers
heatreaters-engineers.com
View question - triginnomery
web2.0calc.com
write an algorithm and draw a flow chart to find sum of digits of a ...
brainly.in
use each of the digits 1,2,3,4,5 and 6 once only , in the ...
brainly.in
View question - A 5-digit PIN number is selected. What it the ...
web2.0calc.com
A number consists of two digits. The digits in the ten's place is 3 ...
brainly.in
View question - How many even numbers less than 500 can be formed using ...
web2.0calc.com
Private higher education is burgeoning in India – but millions can't ...
scroll.in
View question - What is the sum of the last two digits of 8^{25}+12^{25}?
web2.0calc.com
Flipkart.com | Citizen SDC-810 BN SDC-810 BN Basic Calculator - Basic
flipkart.com
View question - How many 7 digit codes are possible where each digit is ...
web2.0calc.com
The value of (3+root3) (3-root3) - Brainly.in
brainly.in
Casio MS-80B Standard Function Desktop Calculator: Amazon.in: Office ...
amazon.in
View question - A school orders 99 textbooks, all for the same price ...
web2.0calc.com
View question - Arithmetic mean 3 digit number
web2.0calc.com
View question - A license plate consists of two letters followed by two ...
web2.0calc.com
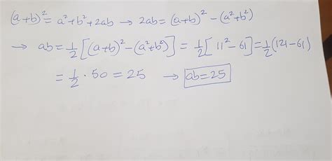
if a+b =11 and a^2 +b^2=61 find the value of ab - Brainly.in
brainly.in
View question - What is 2 to the Millionth Power?
web2.0calc.com
World Book Day Tarsia Puzzle Quiz | Twinkl Puzzled - Twinkl
twinkl.co.in
complete the conversation with the present simple or present continuous ...
brainly.in
CS365: Artificial Intelligence :: Homework 1
cse.iitk.ac.in
How to Get Numbers from a String in JavaScript
encodedna.com
The sum of (a²-7ab) and (8ab -3a²) is - Brainly.in
brainly.in
HDFC Fastag: How To Buy And Recharge FASTag From HDFC Bank? - Goodreturns
goodreturns.in
N-Nitroso Safinamide Impurity 1 | CAS No- NA | NA
chemicea.com
Christian conversions: Census data shows the Hindutva outcry against ...
scroll.in
Christian conversions: Census data shows the Hindutva outcry against ...
scroll.in
Related Searches
How Many Significant Figures
Significant Figures Maths
Number of Significant Figures
Multiplying Significant Figures
How to Find Significant Figures
Significant Figures Definition
Significant Figures Chart
Define Significant Figures
How to Count Significant Figures
Significant Figures Chemistry
Decimal Significant Figures
What's a Significant Figure
Two Significant Figures
Significant Figures Calculations
Significant Figures Problems
Significant Figures Whole Numbers
What Is One Significant Figure
Zeros and Significant Figures
What Is 4 Significant Figures
How Do You Do Significant Figures
Correct to 3 Significant Figures
Significant Figures Multiplication
Rounding Significant Figures
Significant Figures Examples Chemistry
Counting Significant Figures
2 Significant Figures Calculator
How to Know Significant Figures
Significant Figures Zero Rules
Trailing Zeros Significant Figures
Significant Figures and Integers
Significant Figures Project
Excel Significant Figures
Round 2 Significant Figures
Significant Figures Measurement
Appropriate Number of Significant Figures
Questions On Significant Figures
Significant Figures Def
Significant Figures Rules Addition
Significant Figures Worksheet
How to Write in Significant Figures
Significant Figures of Logarithms
Story About Significant Figures
Significant Figures in Arithmetic
1 Significant Figure
Significant Figures While Dividing
Significant Figures All Rules
Are Leading Zeros Significant Figures
Significant Digits in Chemistry
Significant Figures in a Given Number
Significant Figures Rules Adding
Search
×
Search
Loading...
No suggestions found