Find Your Style
Women
Men
Accessories
Search for clothing, brands, styles...
×
Women
Men
Accessories
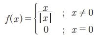
Signum Function
Search
Loading...
No suggestions found
INR Full Form: What is full form of INR?
bankersadda.com
Signum Function: Definitions, Examples, Properties, Domain, Graph, and ...
collegesearch.in
Signum Function: Definitions, Examples, Properties, Domain, Graph, and ...
collegesearch.in
What are definition of signum function? Definition, Types and ...
aakash.ac.in
What are definition of signum function? Definition, Types and ...
aakash.ac.in
What are definition of signum function? Definition, Types and ...
aakash.ac.in
2. If f(x) is the signum function, then in terms of f(x), the constant ...
brainly.in
Signum Function: Definitions, Examples, Properties, Domain, Graph, and ...
collegesearch.in
define signum function, greatest integer function, modulus function and ...
brainly.in
Show that the Signum Function f : R → R, given by f(x) = { 1, if x>0 ...
ask.learncbse.in
Explain signum function
scoop.eduncle.com
What are definition of signum function? Definition, Types and ...
aakash.ac.in
Show that the Signum Function f : R → R, given by f(x) = { 1, if x>0 ...
ask.learncbse.in
What are definition of signum function? Definition, Types and ...
aakash.ac.in
define signum function . draw the graph of the signum function . write ...
brainly.in
Signum Function: Definitions, Examples, Properties, Domain, Graph, and ...
collegesearch.in
What are definition of signum function? Definition, Types and ...
aakash.ac.in
Laplace Transform of Basic Signals (DC Value and Signum Function) Video ...
edurev.in
Consider the following statements Statement I The graph of modulus ...
tardigrade.in
The signum function is given byThe Fourier series expansion of sgn(cos ...
edurev.in
Demystifying Signum Function: Your Key To GATE Signals And Systems ...
edurev.in
How to find the number of points of discontinuities for a signum ...
scoop.eduncle.com
define signum function, greatest integer function, modulus function and ...
brainly.in
What is Signum function? Explain - Brainly.in
brainly.in
[Note: [ k ], k and sgn k denote the largest integer less than or equal ...
tardigrade.in
Consider the following statements Statement I The graph of modulus ...
tardigrade.in
Problems Based on Fourier Transform - Inverse Fourier Transform
ece.poriyaan.in
hlo guys..... explain Signum function with graph.... - Brainly.in
brainly.in
define signum function . draw the graph of the signum function . write ...
brainly.in
[Note: [ k ], k and sgn k denote the largest integer less than or equal ...
tardigrade.in
HRInfo.in: An Excel AddIn to show Currency in Indian format and Words
hrinfo.in
What is the Period of signum function - Brainly.in
brainly.in
Laplace Transform of Signum Function Video Lecture - Crash Course ...
edurev.in
What are definition of signum function? Definition, Types and ...
aakash.ac.in
Generalized Functions , Unit Step Function , Signum Function Video ...
edurev.in
Signum Function: Definitions, Examples, Properties, Domain, Graph, and ...
collegesearch.in
definition of signum function in maths: Definition, Types and ...
aakash.ac.in
definition of signum function in maths: Definition, Types and ...
aakash.ac.in
NCERT Solutions Class 11 Maths Chapter 2 - Relations and Functions
edurev.in
Explain signum function
scoop.eduncle.com
Problems Based on Fourier Transform - Inverse Fourier Transform
ece.poriyaan.in
Basic CT and DT Signals - Digital Signal Processing - Electronics and ...
edurev.in
2.4 Functions - Relations And Functions - Class 11 Mathematics | Blind ...
blind2visionary.in
Important Functions Formulas Formulas for JEE and NEET
edurev.in
Signum Function: Definitions, Examples, Properties, Domain, Graph, and ...
collegesearch.in
Formulas - Relations and Functions - JEE PDF Download
edurev.in
Let f(x)=2(tan)3 x-6(tan)2â ¡x+1+sgn(ex),∀ x∈ [- (π /4) , (π /4)]. Then ...
tardigrade.in
Let y=f(x) be a polynomial function whose degree is less than 6 and y=g ...
tardigrade.in
Prove signum function is discontinuous at x = O. - Brainly.in
brainly.in
Consider the following statements Statement I The graph of modulus ...
tardigrade.in
what is signum function ? - Brainly.in
brainly.in
The ratio of the areas of two regions of the curve C1: 4 x2+π2 y2=4 π2 ...
tardigrade.in
NCERT Solutions Class 11 Maths Chapter 2 - Relations and Functions
edurev.in
HRInfo.in: An Excel AddIn to show Currency in Indian format and Words
hrinfo.in
define signum function . draw the graph of the signum function . write ...
brainly.in
Polyphenols in Plants: Structure, Biosynthesis, Abiotic Stress ...
mdpi.com
Column I contains function and Column II contains behaviours of ...
tardigrade.in
Classification of Signals and Systems - Signal, Elementary Signals
ece.poriyaan.in
Consider four functions, f(x)=√5-x2, g(x)= operatornamesgn(x3-3 x-1) h ...
tardigrade.in
One one or Many one Function Methods & Examples | AESL
aakash.ac.in
Virtual Switch Signum | Wall-Mount Devices | Ekinex
ekinex.in
The curve y=(|x|-1) operatornamesgn(x-1) divides (9 x2/64)+(4 y2/25)=(1 ...
tardigrade.in
Problems Based on Fourier Transform - Inverse Fourier Transform
ece.poriyaan.in
The complete set of values of k for which the equation | x 2-6 x ...
tardigrade.in
Column I Column II A Let f: R + arrow -1,0,1 defined by f ( x ...
tardigrade.in
Consider, f(x)= tan -1(( sin x+√3/1-√3 sin x))+ cot -1(1 ...
tardigrade.in
Identify which of the following function(s) is(are) bijective? [Note ...
tardigrade.in
draw the graph of signum function f:R->R defined by f(x)={1,if x>0}, {0 ...
brainly.in
Relations And Functions Class 11 Notes Maths Chapter 2 CBSE
oswalpublishers.com
Let f(x)=-x3+p x2+q x+6 operatornamesgn(x2+x+1) where p, q ∈ R. If the ...
tardigrade.in
Let g ( x ) be a polynomial of degree 3 passing through origin and have ...
tardigrade.in
Basic CT and DT Signals - Digital Signal Processing - Electronics and ...
edurev.in
Let f ( x )=(π/4)+ cos -1(( x /√1+ x 2))- tan -1 x and a i ( a i
tardigrade.in
Column I contains function and Column II contains behaviours of ...
tardigrade.in
Composite Functions: Properties, Definition & Examples | AESL
aakash.ac.in
Code: AE06
iete-elan.ac.in
show that the signum function f:R to R give by f(x) = 1 for x>0 ,0 for ...
brainly.in
Consider, A, B, C be three sets of functions A= [x], √1-x2, (1/x-1), (2 ...
tardigrade.in
Important Functions Formulas Formulas for JEE and NEET
edurev.in
Column I contains function and Column II contains behaviours of ...
tardigrade.in
Composite Functions: Properties, Definition & Examples | AESL
aakash.ac.in
சார்புகள் - வரையறை, சூத்திரம், வகைகள், சில சிறப்பு சார்புகள் ...
brainkart.in
Code: AE06
iete-elan.ac.in
Real Valued Functions - Notes | Study Mathematics (Maths) Class 12 - JEE
edurev.in
Segment of a Circle: Definitions, Types, Area with Formula, How to ...
collegesearch.in
Column I contains function and Column II contains behaviours of ...
tardigrade.in
Which absolute value function, when graphed, will be narrower than the ...
brainly.in
Composite Functions: Properties, Definition & Examples | AESL
aakash.ac.in
Signum® | Farming and Crop Protection
crop-protection.basf.in
Wall-Mount Devices | Signum | Ekinex
ekinex.in
Virtual Switch Signum | Wall-Mount Devices | Ekinex
ekinex.in
Commercial Project in Gurugram | Signature Global
signatureglobal.in
Fixed/Preassigned-Time Synchronization of Fully Quaternion-Valued Cohen ...
mdpi.com
சார்புகள் - வரையறை, சூத்திரம், வகைகள், சில சிறப்பு சார்புகள் ...
brainkart.in
Wall-Mount Devices | Signum | Ekinex
ekinex.in
Code: AE06
iete-elan.ac.in
Style Box Signum | Presentation Box | Ekinex
ekinex.in
find the value of [-3.5] + |-2.5| - signum (3.3) - Brainly.in
brainly.in
Laplace Transforms - Basic functions
eee.poriyaan.in
Problems Based on Fourier Transform - Inverse Fourier Transform
ece.poriyaan.in
One one or Many one Function Methods & Examples | AESL
aakash.ac.in
Fire Rated Steel Door - Signum Fire Protection -One Stop Door Solution
signum.co.in
Wall-Mount Devices | Signum | Ekinex
ekinex.in
Which absolute value function, when graphed, will be narrower than the ...
brainly.in
Match the entries of Column-I with one or more than one entries of ...
tardigrade.in
Signum® | Farming and Crop Protection
crop-protection.basf.in
Answer it quickly frds..... - Brainly.in
brainly.in
Problems Based on Fourier Transform - Inverse Fourier Transform
ece.poriyaan.in
USD/INR at Record High! Why RBI is Failing to Curb the Rupee’s Fall ...
in.investing.com
find the value of [-3.5] + |-2.5| - signum (3.3) - Brainly.in
brainly.in
Bijective Function Properties & Examples | AESL
aakash.ac.in
Match the following. Column I Column II (i) Identity function (p) (ii ...
tardigrade.in
Answer it quickly frds..... - Brainly.in
brainly.in
Problems Based on Fourier Transform - Inverse Fourier Transform
ece.poriyaan.in
Bijective Function Properties & Examples | AESL
aakash.ac.in
find the value of [-3.5] + |-2.5| - signum (3.3) - Brainly.in
brainly.in
Match the following. Column I Column II (i) Identity function (p) (ii ...
tardigrade.in
sgn(3) is equal to where(x) is a signum function 13square 32 cube plz ...
brainly.in
Match the following. Column I Column II (i) Identity function (p) (ii ...
tardigrade.in
Ekinex Signum - Ekinex
ekinex.in
Related Searches
Signum Function Graph
SGN X
Discrete Signum Function
Properties of Signum Function
Function Sign in Math
Signum Function Symbol
Sigmoid Function
Signum Function Definition
Define Signum Function
Derivative of Signum
Sigmoidal Function
Range of Signum Function
Signum Activation Function
MATLAB Sign
Fourier Transform Fórmula
Signs in Math
Hyperbolic Trig Functions
Signum Function Class 11
Differentiation of Signum Function
Relation Function Graph
Signum Function On Calculator
Greatest Integer Function
Step Function Fourier Transform
Inverse Fourier Transform
Bipolar Signum Function
Plot of Signum Function
What Is SGN X
SGN Calculus
Signum Function Real Life Example
Function Sign Icon
Signum Function Equation
Signum Function Is Discontinuous At
Domain and Range of Signum Function
Sign Function Approximation
Draw the Graph of Signum Function
Mathematical Functions
Constant Parent Function
Signum Function Impulse
SGN Funciton
Sigam O Function
Signum Python
Sketch Signum Function
SGN C++
Signum Funkcija
Signum Function Proof
How to Use a Sign Chart
Integral of Sign Function
Signumfunktion
MATLAB or Sign
Signum Function Symblo
Search
×
Search
Loading...
No suggestions found