Find Your Style
Women
Men
Accessories
Search for clothing, brands, styles...
×
Women
Men
Accessories
Simplification For Class 5
Search
Loading...
No suggestions found
Currency Exchange CNY to INR | Chinese Yuan to Indian Rupee
unimoni.in
INR Full Form | adda247 school
adda247.com
Class 5-MATHS CHAPTER-5 Simplification (part-1) Video Lecture
edurev.in
Simplification Video Lecture - Mathematics for Class 5
edurev.in
Mind Map: Simplification - Mathematics for Class 5 PDF Download
edurev.in
Worksheet: Simplification - Mathematics for Class 5 PDF Download
edurev.in
50+ Addition and Patterns of One More worksheets for 5th Class on ...
wayground.com
Fraction Simplification class 7 plz solve it - Brainly.in
brainly.in
2-Days Study Plan: Simplification - Class 5 PDF Download
edurev.in
2-Days Study Plan: Simplification - Class 5 PDF Download
edurev.in
Write whether 2 root 45 + 3 root 20 / 2 root 3 on simplification gives ...
brainly.in
Simplification Class 8 Ncert, CBSE .. SOLVE.. ?? - Brainly.in
brainly.in
simplification rules (BODMAS) - সরল অঙ্ক করার পদ্ধতি।
mymathslz.in
simplify please show with process please - Brainly.in
brainly.in
Worksheet: Simplification - Mathematics for Class 5 PDF Download
edurev.in
Simplifying Fractions Worksheet | How to Simplify Fractions
twinkl.co.in
👉 Simplifying Surds Worksheet | GCSE Higher Maths | Beyond
twinkl.co.in
Write whether 2√125+ √25/ 3√5 on simplification gives an irrational or ...
brainly.in
Simplify:it.............Class 5 question - Brainly.in
brainly.in
simplify [tex]simplify \frac{3}{5} \times ( \frac{5}{4} + \frac{10}{1 ...
brainly.in
40+ Important Simplification Questions for IBPS PO 2021
bankersadda.com
simplify class 8 math - Brainly.in
brainly.in
simplify simplify simplify simplify - Brainly.in
brainly.in
Simplify maths class 7 - Brainly.in
brainly.in
NCERT Solutions for Class 7 Maths Chapter 2 Fractions and Decimals ...
amreshacademy.in
simplify simplify simplify - Brainly.in
brainly.in
Simplify class 7 Mathematics - Brainly.in
brainly.in
40+ Simplification Questions For Bank Exams 2024 With Answers
bankersadda.com
simplify simplify simplify - Brainly.in
brainly.in
Class 8 Maths NCERT Exponents and Powers Chapter 12 Exercise 12.1 India
teachwell.in
Simplify using BODMAS rule:send me the only answer of question number ...
brainly.in
Seventh Grade Simplify Expressions Practice
twinkl.co.in
Simplify:it.............Class 5 question - Brainly.in
brainly.in
solve the questions by bodmas - Brainly.in
brainly.in
Expand and simplify 5(3p+2)-2(5p-3) - Brainly.in
brainly.in
NCERT Solutions for Class 7 Maths Chapter 13 Exponents and Powers Ex 13 ...
amreshacademy.in
simplification class 10 - Brainly.in
brainly.in
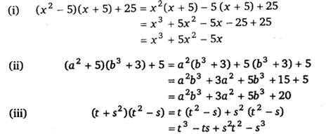
Simplify : (i) (x2 – 5)(x + 5) + 25 - CBSE Class 8 Maths - Learn CBSE Forum
ask.learncbse.in
Simplifying Fractions Worksheet
twinkl.co.in
simplify simplify simplify - Brainly.in
brainly.in
class 5 worksheet in maths - Brainly.in
brainly.in
Simplify : (i) 25 x t-4/5-3 x 10 x t-8 (t≠0) - CBSE Class 8 Maths ...
ask.learncbse.in
Mental Math Questions For Grade 6 I Resource I Twinkl ZA
twinkl.co.in
Simplify 6/2 root 3 - root 6 + root 6 / root 3 + root 2 - 4 root 3 ...
brainly.in
On simplification 2^x+3 × 3^2x-y × 5^x+y+3 × 6^y+1/ 6^x+1 × 10^y+3 × 15 ...
brainly.in
50+ Fractions worksheets for 5th Class on Quizizz | Free & Printable
wayground.com
Simplify: (64/125)^−2/3 [Class 9 Math — Number System) - Brainly.in
brainly.in
Simplify 3 root 2 + 2 root 3 whole square 3 root 2 minus 2 root 3 whole ...
brainly.in
simplify :5/8 + 13 / 24 - 17 / 18 of 12 / 51 with full explanation ...
brainly.in
simplify .. class 8 - Brainly.in
brainly.in
👉 Introduction to Simplifying Algebraic Expressions Pack |KS3
twinkl.co.in
Simplify 2/1/4 + 5/5/8 x 1/1/3 -1/3/4 ÷ 1/1/2 please Simplify it ...
brainly.in
Class 5 Grammar Worksheet on Adverbs of Degree | PlanetSpark
planetspark.in
NCERT Solutions for Class 9 Maths chapter 1 Exercise 1.3 - Number ...
esaral.com
Simplify these expressions and find their values if x = 3, a = – 1, b ...
ask.learncbse.in
Simplifying Fractions for Grade 3 to Grade 6
twinkl.co.in
Using laws of exponents, simplify and write the answer in exponential ...
ask.learncbse.in
(a) Simplify : 3x (4x – 5) + 3 and find its value for (i) x = 3, - CBSE ...
ask.learncbse.in
50+ cube roots worksheets for 9th Class on Quizizz | Free & Printable
wayground.com
Simplify: (x²-22x+117)÷(x-13)Answer according to class 8 and simplify ...
brainly.in
Simplification Tricks - 2 Video Lecture - Crash Course for SSC CGL ...
edurev.in
Using laws of exponents, simplify and write the answer in exponential ...
ask.learncbse.in
Simplify Class 8 Rational Numbers NCERT - Brainly.in
brainly.in
simplify class 8Anushka Badodiya - Brainly.in
brainly.in
Simplify Home Décor: Ultimate Instruction Manual to Simplify Every ...
amazon.in
on simplification of (2/3 root 5 - 1/2 root 2 +6 root 11)+ 1/3 root 5 3 ...
brainly.in
50+ Rational Expressions worksheets for 10th Class on Quizizz | Free ...
wayground.com
Simplify.....Class 9th - Brainly.in
brainly.in
4. (a) Simplify 3x (4x – 5) + 3 and find its values for (i) x = 3 (ii ...
brainly.in
2. Simplification Class 2 - APTITUDE & MENTAL ABILITY SIMPLIFICATION ...
studocu.com
simplify (class 9th) - Brainly.in
brainly.in
50 Simplification Questions Answers - Simplification & Approximation ...
studocu.com
Please answer this.... simplifyclass 9 - Brainly.in
brainly.in
3 QuestionsSimplify: (-6x + 3) - (-x2 + 5x)Simplify: (2x - 4) - (6x + 6 ...
brainly.in
Simplify class 7 Mathematics - Brainly.in
brainly.in
NCERT Class 7 History Book PDF, Get Download Link Here
vajiramandravi.com
Simplify class 7 Mathematics - Brainly.in
brainly.in
Goyal ICSE Foundation Math for Class 8 - Latest for 2025-26 Session ...
thebookmasters.in
Simplify By Rationalizing the DenominatorUrgent!!!Class 9 - Brainly.in
brainly.in
( 3+ root 3 ) ( 3- root 3 ) simplify class 9 - Brainly.in
brainly.in
Simplify (3-root3) whole square . for class 9 - Brainly.in
brainly.in
IMO Maths Olympiad sample papers for Class 5 | Olympiad tester
olympiadtester.in
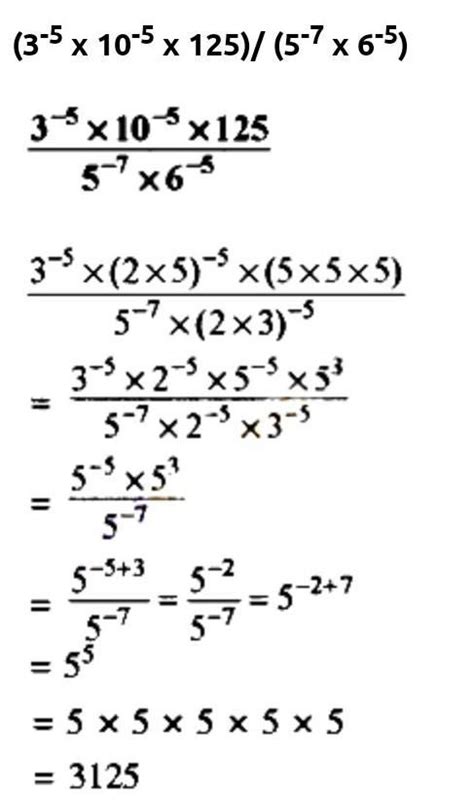
Simplify: Simplify: (3^-5 x 10^-5 x 125) ÷ (2^-2 x 6^-5) - Brainly.in
brainly.in
Class 5 English Worksheet on Comma and Quotation | PlanetSpark
planetspark.in
(1250)^1/4 Divided by 2^1/4 Simplify class 9 ch 1 ncert - Brainly.in
brainly.in
simplify (class 9th) - Brainly.in
brainly.in
Simplify and express the result in power notation with positive ...
ask.learncbse.in
CESARINE: COOKING CLASS (2026) All You Need to Know BEFORE You Go (with ...
tripadvisor.in
simplification class 10 - Brainly.in
brainly.in
simplify (class 9th) - Brainly.in
brainly.in
Sixth Grade Simplify Expressions Using the Distributive Property
twinkl.co.in
Congress Chief Mallikarjun Kharge Slams Modi Govt For Delay In GST ...
freepressjournal.in
Simplify maths class 7 - Brainly.in
brainly.in
Class 7 - Exponents and Powers | Math Practice, Questions, Tests ...
in.edugain.com
simplify by rationalizing denominator 7+3√5/7-3√5 - Brainly.in
brainly.in
Loi de simplification de l’urbanisme et du logement du 26 novembre 2025 ...
fidal.com
Class 5 Civics NCERT Solutions, Notes [2024-2025]
edurev.in
simplify simplify simplify simplify - Brainly.in
brainly.in
CLASS 5 | PDF
scribd.com
55+ Worksheets for Class 5 | Free Download PDFs
planetspark.in
simplify Hello Good evening My name is Gunjan Rai class 7th cbse dav ...
brainly.in
CBSE Class 12 Maths Chapter 13 Probability Formulas List, Important ...
jagranjosh.com
Linking Verb Worksheet Class 5 | PlanetSpark
planetspark.in
Class 5 - Fractions | Math Practice, Questions, Tests, Worksheets ...
in.edugain.com
Bhabi Ji Ghar Par Hai! TV Serial Online - Watch Tomorrow's Episode ...
zee5.com
Knowing Our Numbers - NCERT Book of Class 6 Mathematics
betrained.in
simplify class 9 maths - Brainly.in
brainly.in
RRB Group-d Simplification Maths class | Maths Practice PYQ Solutions ...
youtube.com
simplify (class 9th) - Brainly.in
brainly.in
Simplify and solve the following linear equations: 3(t – 3) = 5(2t + 1 ...
ask.learncbse.in
Class 8 - Rational Numbers | Math Practice, Questions, Tests ...
in.edugain.com
Simplify and express the result in power notation with positive ...
ask.learncbse.in
1) Simplify 2^4x 2^-62) Simplify and give reason (5/6)^3 x (6/5)^-83 ...
brainly.in
संवाद-लेखन , महत्वपूर्ण उदाहरण सहित - राजेश राष्ट्रवादी
rajeshrastravadi.in
Class 2 Grammar Worksheet on Verb + ing Forms | PlanetSpark
planetspark.in
PKR to INR, Pakistani Rupee to Indian Rupee Conversion Online at ...
goodreturns.in
simplify class 8 exponent and powers please - Brainly.in
brainly.in
maths simplify class 8 please tell - Brainly.in
brainly.in
Simplify : (i) (-4) 3 (ii) (-3) x (-2)3 - CBSE Class 7 Maths - Learn ...
ask.learncbse.in
Related Searches
Simplification Worksheet for Class 5
Simplification Formula
Simplification Grade 5
Simplification Questions for Class 5
Simplification for Class 5 Problems
Simplification for Class 4
Mcq On Simplification for Class 5
Explaining Simplification
Simplify Questions for Class 5
Simplification Questions Class 5 Worksheets
Maths Simplification Worksheet for Class 5
Simplification Rule Class 5 Maths
Simplification for Class 5 with Bodmas
Simplification for Class 5 Cbsc Board
Mathematical Expression Simplification
Simplification for Class 5th
Simlification Question for Class 5
Simplification Class 8
Simplification for Grde 5
Simplification Class 5 Practice Paper
Simplification Math for Class 4
Simplification PDF for Grade 5
Algebraic Simplification
Dmas Questions for Class 5
Simplify Questions for Class 5 Bodmas Ruel
Simplification Sums
Dmas Smiplify for Class 5
Simplifying Fractions Worksheet 5th Grade
Simplification for Class 5 Worksheets with Answers
Simplification Problem for Class IV
Simplification Objective for Class 5 Maths
Extra Question On Simplification for Grade 5
Steps On How to Do Simplification Class 5V Bodmas
Worksheet of Simplification for Class 5 for School APS
Simplification for Grde 5 for Slide
What Is Bodmas with Example for Class 5
Simplification Worksheet for Class 5 Th Standard PDF
Class 5 Notes Rbse
Class 5 Maths Questions Simple
Simplification Sums for Class 6
How to Improve Simplification for Class 7
Maths Project for Class 6 Simplification PDF
Math Simplification for Class 6th
Homework for 5th Graders Simplification
Show an Incomplete Dmas Sum for Class 5 Level Fill in the Blanks Type
Ssimplify Class 5
Code Formate Class 5
Mathematics Buzz Class 5 Simplification Questions PDF
Numerical Expressions Worksheet
Concept of Simplification for Grade 5
Search
×
Search
Loading...
No suggestions found