Find Your Style
Women
Men
Accessories
Search for clothing, brands, styles...
×
Women
Men
Accessories
Simplify Quations
Search
Loading...
No suggestions found
INR Full Form: What is full form of INR?
bankersadda.com
Understanding the Saudi Riyal Currency | INR to SAR
orientexchange.in
Top 10 Countries Where INR Has the Highest Value in 2025
currentaffairs.adda247.com
33000 euro to inr - Claim a ₹300 Bonus Today! Android IOS V- 1.79
tax.lsgkerala.gov.in
Facts about Indian businessman who is buying Lavasa city for INR 1814 ...
timesofindia.indiatimes.com
Indian Rupee (₹) - Buy INR Currency Online at Best Rates
makemytrip.com
Simplify or Solve Expressions and Equations (teacher made)
twinkl.co.in
HELP PLEASE. Also tell how to simplify equations since i forgot please ...
brainly.in
cbse ncert 9th class Chapter 8 Linear Equations in Two Variables
manabadi.co.in
Simplify and solve the following linear equations: 15(y – 4) – 2 (y – 9 ...
ask.learncbse.in
Simplify and solve the following linear equations: 0.25(4f – 3) = 0.05 ...
ask.learncbse.in
Chapter 2 Linear Equations in One Variable
manabadi.co.in
Simplify: (3^-1 + 6^-1 ) ÷ (3/4 )^-14.By what number should (−2/3 )^ -3 ...
brainly.in
Simplify and solve the following linear equations: 3(t – 3) = 5(2t + 1 ...
ask.learncbse.in
Simplify (p+q+r)^2 + (p-q-r)^2 - Brainly.in
brainly.in
simplify 2√27-3/2√1/3+5√3 - Brainly.in
brainly.in
14. Simplify 3x(4x - 5) + 3 and find its value for: (i) x = 0 = (ii) x ...
brainly.in
simplify and find the value (81)^1/3÷(81)^1/12 - Brainly.in
brainly.in
Ordinary Differential Equations (ODE) Study Notes - Ch1 - Studocu
studocu.com
simplify: (2x + 3y) (5x – 7y) - Brainly.in
brainly.in
[Video] For some constant real numbers p, k and a, consider the ...
cracku.in
Example 1: simplify 4 [6 - {12 (10 8-6 )}1.
scoop.eduncle.com
simplify the given picture - Brainly.in
brainly.in
simplify 3\8×24\15÷16\5 - Brainly.in
brainly.in
simplify the following expression (3a-5b)-(6a-7c)-(4c-8a)+(2a+3b-4c ...
brainly.in
👉 Simplifying Ratios with Pictures
twinkl.co.in
Simplify (-4)³ x(5)-³ × (-5)-³ - Brainly.in
brainly.in
Simplify and express the result in power notation with positive ...
ask.learncbse.in
Simplify := √45-3√20 + 4√5 - Brainly.in
brainly.in
*simplify (√2-√10)²pls - Brainly.in
brainly.in
NCERT Class 10 Maths Pair of Linear Equations in two variables exercise ...
goodbricks.in
Maxwell's Equations - Integral form, Statement, Characteristics
mech.poriyaan.in
Find the area bounded by the parabola y^2=4x and the straight line 2x ...
brainly.in
Simplify the following. 1. (82) - (18) 2. 102 x 104 3. If x + y = 4 and ...
brainly.in
simplify;ch Algebraic equation - Brainly.in
brainly.in
Eighth Grade Simplifying Exponential Expressions Using Exponent Rules Task
twinkl.co.in
Simplify (-5)³ x (-10) ³ x (-1) 789 X (-1) 64 - Brainly.in
brainly.in
USD/INR Cracks Big: Falls 2% in 4 Days! | Investing.com India
in.investing.com
Simplify and solve the following linear equations :1) 3(t - 3) = 5(2t ...
brainly.in
India shining: Rupee inches closer to becoming international currency ...
timesnownews.com
International Trade Settlement in Indian Rupee (INR)
taxguru.in
International Trade Settlement in Indian Rupee (INR)
taxguru.in
Simplify √3 - 1/ √3 + 1 - Brainly.in
brainly.in
Simplify. a. 10 + (-11) + 5+ (-5) - Brainly.in
brainly.in
simplify - 15-12÷3+6×4. using DMAS rule - Brainly.in
brainly.in
simplify the equation - Brainly.in
brainly.in
Uses and SideEffects of Warfarin: What You Need to Know
medicoverhospitals.in
5/2i+(-4-3i)+simplify+equation+express+in+form+a+ib - Brainly.in
brainly.in
Simplify{(625^-1/2) ^-1/4}^2 - Brainly.in
brainly.in
Simplify and solve the linear equation y/5 - 48/10 = 3/5-y - Brainly.in
brainly.in
13/5 - [2/5 + \{11/4 - (3/8 / (1/2))\}] - Brainly.in
brainly.in
Solution Of Difference Equations Using Z-transform
civil.poriyaan.in
simplify this equation - Brainly.in
brainly.in
Solved: Select all of the equations below in which t is inversely ...
gauthmath.com
Simplify This equation - Brainly.in
brainly.in
simplify and verify the property d) (5/8+9/16)÷3/4=(5/8÷3/4)+(9/16÷3/4 ...
brainly.in
Maxwell's Equations - Integral form, Statement, Characteristics
mech.poriyaan.in
simplify (27/9 × 3/5) -2/3 - Brainly.in
brainly.in
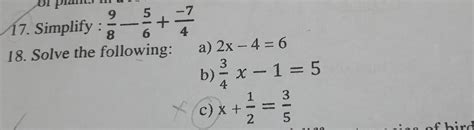
7. Simplify: 5+ 8 6 18. Solve the following: -7 a) 2x - 4 = 6 3 b) ²x-1 ...
brainly.in
Maxwell's Equations - Integral form, Statement, Characteristics
mech.poriyaan.in
106 ) simplify each of the following by using suitable property also ...
brainly.in
simplify this equation - Brainly.in
brainly.in
simplify 3(4x- 5 )+ 3 and find its value for (i) x=3. (ii) x=1/2 ...
brainly.in
In the given figure, graphs of two linear equations are shown. The pair ...
iqclasses.in
Problems based on system of simultaneous linear differential equations ...
eee.poriyaan.in
Simplify: (-4) x 7- [13 - (49 + 40 + (11- 17-4). - Brainly.in
brainly.in
Simplify and solve the following linear equation t-3/5 = 2t+1/3 ...
brainly.in
Example. solve : xx-y-2x+2y +x'y = 0 dx sol. simplifying the equation ...
scoop.eduncle.com
Maxwell's Equations - Static Fields and Time Varying Fields
eee.poriyaan.in
Solution Of Difference Equations Using Z-transform
civil.poriyaan.in
Simplify (-5)-[1- {9-6 + 2 (7x2}) - Brainly.in
brainly.in
Simplify this equation fully... - Brainly.in
brainly.in
simplify as a rational number(1/6)-2 + (1/3)-2 +(1/2)-2 - Brainly.in
brainly.in
simplify the following linear equation : with formula please - Brainly.in
brainly.in
Simplify the equation: - Brainly.in
brainly.in
[tex]2 \frac {8}{3} + ( \frac{ - 5}{7} ) + ( \frac{ - 2}{ - 9} )[/tex ...
brainly.in
simplifying this equation please tomorrow is my exam - Brainly.in
brainly.in
simplify :- (a) -3+(-4/3)+(2/9) - Brainly.in
brainly.in
Simplify the equation - Brainly.in
brainly.in
2/5 of (10/3 - 5/3) / 19/5 Simplify - Brainly.in
brainly.in
Solved Example Problems based on formation of p.d.e by elimination of ...
civil.poriyaan.in
simplify root 5 + root 3 divided by root 5 minus root 3 + root 5 minus ...
brainly.in
Maxwell's Equations - Integral form, Statement, Characteristics
mech.poriyaan.in
simplify the following using distributive property of rational numbers ...
brainly.in
Class 10 Maths Chapter 3 Assertion and Reason Questions - Pair of ...
edurev.in
Simplify and express the following rational number: [tex]a)( - 7) {}^{3 ...
brainly.in
Simplify: (8^-1-7^-1)^-2 + (7^-1-2^3). - Brainly.in
brainly.in
Eighth Grade Solving Systems of Equations by Elimination Maze Worksheet
twinkl.co.in
Solution of linear system of equations by gaussian elimination and ...
eee.poriyaan.in
Formation Of Difference Equations
civil.poriyaan.in
simplify by rationalizing the denominater(\/7+\/2)(9+\/14) - Brainly.in
brainly.in
simplify this equation - Brainly.in
brainly.in
simplify the expression - Brainly.in
brainly.in
simplify 27-1\4{-5-(-48)÷(-16)} - Brainly.in
brainly.in
Simplifying Algebraic Expressions GCSE Worksheets | Beyond
twinkl.co.in
Simplify the expression (4x-3y-7x+6y-5+2x-3). Also, find the value of ...
brainly.in
Simplify (3a -4b) (9a2 + 12ab + 16b2) – (4a + 3b) (16a2 -12ab + 9b2 ...
brainly.in
Forming and Solving Equations - Year 11 PDF Download
edurev.in
simplify the following expressions - Brainly.in
brainly.in
simplify the equation below [tex] (- \frac{1}{2} - \frac{ \sqrt{3 } }{2 ...
brainly.in
Simplify and write result in exponential form. (-4/3)^3 ÷ (8/9)^3 ...
brainly.in
Simplify 1 + 2+√3 2 √5-√3 + 1 2-√5 Simplify 1 + 2 + √3 2 √5 - √3 + 1 2 ...
brainly.in
Linear partial differential equations of second and higher order with ...
civil.poriyaan.in
Mind map of linear equation in one variable - Brainly.in
brainly.in
Simplify the equation - Brainly.in
brainly.in
Maxwell's Equations - Integral form, Statement, Characteristics
mech.poriyaan.in
Mind Map: Linear Equations in One Variable - Mathematics (Maths) Class ...
edurev.in
Online Forex Trading And Currency Trading In India
samco.in
1 million dong in indian rupees - Brainly.in
brainly.in
Class 10 Maths Chapter 3 Assertion and Reason Questions - Pair of ...
edurev.in
Lagrange's Linear Equation - Solved Example Problems | Partial ...
mech.poriyaan.in
simplify (x-2/5y) ^3 -( x+2/5y) ^3 - Brainly.in
brainly.in
Q6) Simplify 7+3√2 7-3√/2 - 7-3√2 7+3√2 - Brainly.in
brainly.in
Maxwell's Equations - Integral form, Statement, Characteristics
mech.poriyaan.in
Problems based on system of simultaneous linear differential equations ...
eee.poriyaan.in
CAT Linear Equations : Important Concepts and Notes PDF
edurev.in
simplify this equation - Brainly.in
brainly.in
Example Solved Problems and Exercise on p.d.e Type 3(a) Equation of the ...
civil.poriyaan.in
Eigenvalue of a matrix by jacobi method for symmetric matrix - Solved ...
eee.poriyaan.in
Classification Of Partial Differential Equations - Examples
civil.poriyaan.in
Related Searches
INR Table
INR Scale
Normal INR
Blood INR Chart
INR Example
Coumadin Nomogram
INR Normal Range Chart
Normal INR Levels Chart
Coumadin INR Dosing Chart
INR Diagram
PT/INR Equation
INR Adjustment Chart
Prothrombin Time and INR Chart
Home INR Monitor
INR 图像
PT/INR Sheets
INR Result Sheet
PT/INR Blood Tube
PT/INR Results Chart
PT/INR Conversion Chart
INR Chart Medical
INR Graph
Warfarin Dosage Chart
INR Oak
INR Reading Example
INR VP Chart
INR Calculation Sheet
Protime/INR Graph
Argatroban and Warfarin INR Equation
Warfarin Dose Adjustment Chart
Normal INR Neonate
INR PT/PTT Triangle
PT Measuring Chart
Meld Score Equation
INR Jenish
Warfarin Molecule
Warfarin Anticoagulant
INR and Sintrom
INR Colour
PT/INR Template
Warfarin Structure
International Normalized Ratio Chart
Hemachron PT/PTT INR
INR Extraction Chart
Normograph INR
Deep INR
INR Synthetic Factors Graph
INR Calculation Worksheet
INR Core Solid
Vitamin K Warfarin Reversal
Search
×
Search
Loading...
No suggestions found