Find Your Style
Women
Men
Accessories
Search for clothing, brands, styles...
×
Women
Men
Accessories
Simplifying Rational Exponents Examples With Variables
Search
Loading...
No suggestions found
IXL - Simplify expressions involving rational exponents I (Class IX ...
in.ixl.com
Solved: Drag each tile to the correct box. Order the simplification ...
gauthmath.com
Eighth Grade Simplifying Exponential Expressions Using Exponent Rules Task
twinkl.co.in
Using laws of exponents, simplify and write the answer in exponential ...
ask.learncbse.in
Mind Map: Rational Exponents - SAT PDF Download
edurev.in
50+ Properties of Exponents worksheets for Kindergarten on Quizizz ...
wayground.com
five examples for each five laws of exponents please please please ...
brainly.in
simplify and write in exponential form using law of exponent a. (2/3 ...
brainly.in
simplify and express the result with positive exponent orange rational ...
brainly.in
50+ Exponents worksheets for Kindergarten on Quizizz | Free & Printable
wayground.com
2. Draw a Concept Map on the lesson Exponents and Powers. - Brainly.in
brainly.in
Simplify using laws of exponents - Brainly.in
brainly.in
Class 8 Maths NCERT Exponents and Powers Chapter 12 Exercise 12.1 India
teachwell.in
Points to Remember- Exponents and Powers - Mathematics (Maths) Class 8 ...
edurev.in
Using laws of exponents, simplify and write the answer in exponential ...
ask.learncbse.in
NCERT Solutions for Class 7 Maths Chapter 13 Exponents and Powers Ex 13 ...
amreshacademy.in
all formula of exponent in maths . make a different table of ...
brainly.in
Simplify and express the result in power notation with positive ...
ask.learncbse.in
Using laws of exponents, simplify(7^2)^3÷7^3 - Brainly.in
brainly.in
Examples - Ch 11 Exponents and Powers - Class 7 Maths NCERT - New ...
edurev.in
Simplify and express the result positive exponent (-3/7)^2÷(7/3)^12/4 ...
brainly.in
maths study : Exponents I Negative and Positive Exponents
mathsstudy.co.in
Class 8 Maths NCERT Exponents and Powers Chapter 12 Exercise 12.1 India
teachwell.in
Class 8 - Exponents and Powers | Math Practice, Questions, Tests ...
in.edugain.com
simplify and express the result as a rational number in its lowest term ...
brainly.in
Seventh Grade Simplify Expressions Practice
twinkl.co.in
Simplify and express the result in power notation with positive ...
ask.learncbse.in
Class 7 - Exponents and Powers | Math Practice, Questions, Tests ...
in.edugain.com
Mind Map: Exponents - Class 7 PDF Download
edurev.in
simplify the following using distributive property of rational numbers ...
brainly.in
simplify as a rational number(1/6)-2 + (1/3)-2 +(1/2)-2 - Brainly.in
brainly.in
Simplify the following rational numbers 13/7 ÷ (-14/13) - Brainly.in
brainly.in
50+ rational expressions equations and functions worksheets for 9th ...
quizizz.com
Concept Explanation
abhyasonline.in
Infographics: Rational Numbers - Mathematics (Maths) Class 7 (Old NCERT ...
edurev.in
Eighth Grade Multiplying Exponents With the Same Base Practice
twinkl.co.in
simplify. note - variable x is the base of the exponent of the other ...
brainly.in
What is a Variable? - Answered - Control & Experiment Groups
twinkl.co.in
Simplify the rational expressions: (3/2 × 1/6) + (5/3 × 7/3) - (13/8 × ...
brainly.in
All Algebraic Formulas PDF, Class 10 & 12 Maths Identities
adda247.com
Drag each expression to the correct location on the table. Simplify ...
brainly.in
Simplify and express as a power of a rational number 1) ((-3/5) square ...
brainly.in
Rational Numbers- Definition, Symbol, Properties, Types and Examples
adda247.com
Simplify and express the following rational number: [tex]a)( - 7) {}^{3 ...
brainly.in
simplify and express the result in power notation with positive ...
brainly.in
simplify and express the result in power notation with positive ...
brainly.in
simplify the following using distributive property of rational numbers ...
brainly.in
Exponents And Powers - NCERT Book of Class 7 Mathematics
betrained.in
Taylor's Expansion for Function of Two Variables - Theorem, Worked ...
mech.poriyaan.in
Java Variables in Hindi
hindicode.in
Rational Expectations - Rational Expectations Variables as outcome of ...
studocu.com
Solve the following:1. Express each one of the following with rational ...
brainly.in
Simplify and express the result in power notation with a positive ...
brainly.in
How to identify relevant variables from a literature review?
projectguru.in
Rational Numbers- Definition, Symbol, Properties, Types and Examples
adda247.com
5 3. What rational number should be added to -5/7 to get -7/8? - Brainly.in
brainly.in
find a rational number between -2/3 and 1/4 - Brainly.in
brainly.in
Buy Lebesgue and Sobolev Spaces with Variable Exponents: 2017 (Lecture ...
amazon.in
Find the value of x in equivalent rational numbers. 9/- 5 x/20 - Brainly.in
brainly.in
Any 3 rational numbers between -2/5 and -7/10 - Brainly.in
brainly.in
the sum of exponents of the prime factors in the prime factorisation of ...
brainly.in
If both a and b are rational numbers find the value of a and b. √2+ √3 ...
brainly.in
Find 7 rational number between 3/4 and 1/6 - Brainly.in
brainly.in
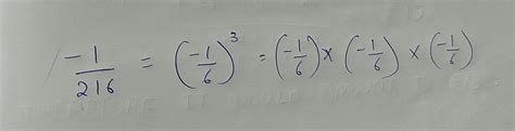
Express - 1 / 216 as an exponent of a rational number - Brainly.in
brainly.in
Eighth Grade Comparing Rational and Irrational Numbers Worksheet
twinkl.co.in
Significance of statistical analysis in epidemiological studies
projectguru.in
Taylor's Expansion for Function of Two Variables - Theorem, Worked ...
mech.poriyaan.in
use the distributivity of multiplication of rational numbers over ...
brainly.in
1/root5-2 rationalise the denominator of each of the following ...
brainly.in
Formulas and Solved Examples: Exponents and Roots - Mathematics and ...
edurev.in
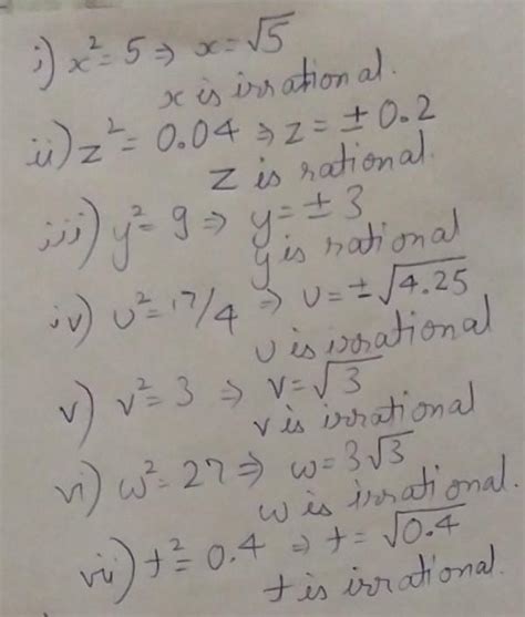
Classify (4+√32) + √64- 4√2 rational or irrational plz - Brainly.in
brainly.in
2³×3⁴×4÷3×22 exponents and power class 7 - Brainly.in
brainly.in
find a rational number between 1/2 and 1/3 - Brainly.in
brainly.in
in the following equations find which variable x y z etc. represent ...
brainly.in
make a attractive chart of properties of rational numbers - Brainly.in
brainly.in
By what rational number should we multiply -8/9 to get the product 24 ...
brainly.in
simplify and write the answer with positive exponents. ... Please ...
brainly.in
விகிதமுறுச் சார்புகள் - விகிதமுறு அசமன்பாடுகள், பகுதி பின்னங்கள், ஒரு ...
brainkart.in
Laws of Exponents | Concept,Scientific Notation and Solved Examples
allen.in
use the distributivity of multiplication of rational numbers over ...
brainly.in
find which of the variables X Y Z and you represent rational number and ...
brainly.in
(½)³× (- ¾) ²×(1/5) ²Exponents and powers Simplify - Brainly.in
brainly.in
Insert four rational numbers between : (ii) -⅘ and ⅔(iii)-3 and 6(iv) 0 ...
brainly.in
Rationalise the denominater: 2-root5/ 2+ root5 - Brainly.in
brainly.in
in the following equation which variables represent rational numbers ...
brainly.in
Solved: Read each question carelul _ar a nswers on the answer sheet; do ...
gauthmath.com
find any four rational number between -2/7 and 1/5 - Brainly.in
brainly.in
Abinaya - Maths teacher in Bengaluru - ₹1500/h
superprof.co.in
If both a and b are rational numbers find the value of a and b. √2+ √3 ...
brainly.in
Laws of Exponents | Concept,Scientific Notation and Solved Examples
allen.in
விகிதமுறுச் சார்புகள் - விகிதமுறு அசமன்பாடுகள், பகுதி பின்னங்கள், ஒரு ...
brainkart.in
C Language Video
vedveethi.co.in
Find any ten rational numbers between -5/6 and 5/8 - Brainly.in
brainly.in
Eighth Grade Classifying Numbers as Rational or Irrational Worksheet
twinkl.co.in
Find 10 rational numbers between (-2/3) and 2/3 Please 8 question ka ...
brainly.in
Simplifying Fractions Worksheet
twinkl.co.in
Simplifying Parallel Reasoning with Easy Examples for CLAT 2026 ...
collegedekho.com
How to manage variables in STATA?
projectguru.in
Examples: Finding rational numbers between 2 rational numbers (Part- 2 ...
edurev.in
8. The product of two rational numbers is 15/56. If one of the numbers ...
brainly.in
Verify commutativity of addition of rational numbers for the rational ...
brainly.in
50+ cube roots worksheets for 12th Class on Quizizz | Free & Printable
quizizz.com
Taxmann's Business Economics (UGCF | NEP) – Comprehensive text ...
flipkart.com
Karnaugh Map Examples: Simplifying Boolean Functions with Don't care ...
edurev.in
Eighth Grade Dividing Exponents With the Same Base Exit Ticket
twinkl.co.in
write the following rational number of fraction 1) -5.9 2) 0.0007 3) 3. ...
brainly.in
I need 5 Examples of This Law of Exponent! Please Fast - Brainly.in
brainly.in
Solve the following equation using cross multiplication method :7x-9y ...
brainly.in
Buy Taxmann's Business Economics (UGCF | NEP) – Comprehensive text ...
desertcart.in
find one rational number between 4/3 and 2/5. Please find answer with ...
brainly.in
Kusuma - Maths teacher - ₹800/h
superprof.co.in
Flow and stock variables explained - Flow and stock variables examples ...
edurev.in
Find 5 rational number between 3/5 and 6/7 - Brainly.in
brainly.in
(6x + 1)/3 + 1 = (x-3)/ 6 - Brainly.in
brainly.in
by what rational number should we multiply 41/12 to get 13/22?plz give ...
brainly.in
Allenschka - Accounting teacher - ₹1339/h
superprof.co.in
Taxmann’s FEMA Practice Manual – Comprehensive Commentary on FEMA ...
flipkart.com
50+ Subtraction Within 100 worksheets for 7th Class on Quizizz | Free ...
quizizz.com
CSS Custom Properties (variables) Examples - Duotone Filtering With Css ...
cssmix.net
Related Searches
Simplifying Rational Exponents Worksheet
How to Solve Rational Exponents
Fractional Exponents
Radicals and Rational Exponents
Simplify Rational Exponents
Simplifying Rational Expressions
Simplify Negative Exponents
Simplifying Exponent Expressions
Simplifying Radical Expressions
Simplifying Exponential Expressions
Properties of Rational Exponents
Rational Exponent Rule
Rational Exponent Form
Rational Exponent Notation
Simplify Fraction Exponents
Expanding Rational Exponents
Rational Exponent Equations
Simplifying Rational Exponents in Simplest Radical Form
Simplifying Rational Exponents Multiple Choice
How to Simplify Fractions with Exponents
Simplifying Rational Exponents Worksheet.pdf
Rational Exponents Problems
Simplify Exponents Rules
Simplifying Exponents Worksheet with Answers
Rational Exponents Examples
Solving Rational Exponents
Rational Exponents Simplifying Problem Multiple Choice
Lesson On Rational Exponents
Power Rule Exponents
Rational Exponents and Evaluate
Adding Exponents with Different Base
Exponents and Roots Rules
Simplifying and Evaluating Rational Exponents Nmcr3u
Propeties of Rational Exponents
Exponents Grade 9
Rational Exponents Calculator
Simplifying Complex Rational Expressions
What Is Rational Exponent Form
Rational Exponents Product Rule
Rational Exponents Notes
Multiplying Exponents Worksheet
Foldable Easel Simplifying Rational Exponents
Rational Exponent Definition Math
Rational Exponents Algebra 2
How to Use Rational Exponents
Rational Exponents Worksheets with Answers
Simplifying Rational Exponents Answer Key
Parts of a Rational Exponent
Simplifying and Evaluating Rational Exponents Quiz
Exponents with Rational Bases
Search
×
Search
Loading...
No suggestions found