Find Your Style
Women
Men
Accessories
Search for clothing, brands, styles...
×
Women
Men
Accessories
Sims 3 Nightcrawler Cube
Search
Loading...
No suggestions found
WPL: Mandhana, Sciver-Brunt, Gardner retained for INR 3.5 crore ...
espn.in
Buy Chicago Wall Cube - Brown from Home Centre at just INR 995.0
homecentre.in
Flight Delhi Paris from INR 53.884 RT - cheap flights Paris, France ...
wwws.airfrance.in
STöK (ST-MC05) Fully Automatic Note Counting Machine, can Count INR or ...
amazon.in
Buy Cube Clear Vase from Home Centre at just INR 795.0
homecentre.in
Ethereum Price | ETH Price Index, Live Chart and INR Converter - Binance
binance.com
Buy Chicago Wall Cube - White from Home Centre at just INR 495.0
homecentre.in
Shiba Inu Price Prediction, INR India 28th January 2023: Expected ...
in.mashable.com
XYZ has net income of INR 250 million, depreciation of INR 90 million ...
brainly.in
WeWork Prestige Cube at INR 550/day - Coworking Space for a Day ...
myhq.in
SIIB Pune Placement 2024: Highest Package: INR 24.65 LPA and Average ...
zollege.in
Convert INR To USD: Your Guide On US Currency Exchange Rate
traveltriangle.com
Ethereum Price | ETH Price Index, Live Chart and INR Converter - Binance
binance.com
DW - SUPER RECRON SOFA SET Products at price INR 0 in Madurai | AK ...
akfurn.in
Nightcrawlers (2023) #1 B5 – Mangastore
mangastore.in
Toy Arena Mastermorphic Stickerless -Speed Cube Color Cube Anti Popup ...
amazon.in
The Sims 4 - PS4 games - PlayStation (India)
playstation.com
Merge Cube Augmented Reality Hands On Tool For Education Science ...
desertcart.in
CUBE CHALLENGES GENEVA (2025) All You Need to Know BEFORE You Go (with ...
tripadvisor.in
VWA to INR: Convert Virtual World Asses (VWA) to Indian Rupee (INR ...
coinbase.com
BHALALA ENTERPRISE Cube 3x3 Cube high Speed Cube 3x3x3 High Speed ...
amazon.in
Toys and Treats India Magic Cube Shape Shifting Puzzle Box - Magnetic ...
amazon.in
D ETERNAL 4x4 Stickerless Cube | Beginner Speedcube for Kids & Adults ...
amazon.in
Little Treasures Cube Clear Speed Cube, 3 x 3 Puzzle Cube, Sticker Less ...
amazon.in
Buy Cubelelo Premium Silicone Lube Bundle Online | Cube Lelo
cubelelo.com
How to Memorize Speedcube Algorithms Faster - Cubelelo
cubelelo.com
DUL DUL 3x3 Speed Cube Stickerless 3x3x3 Magic Cube Triangle Cube ...
amazon.in
Blank 1/12 Scale Nightcrawlers Robin Head Sculpt | Ubuy India
ubuy.co.in
Buy EMBOX Cube Extension Board with USB Port with Universal Sockets and ...
amazon.in
Buy Jurassic Park Rubik's Cube | Collectible Puzzle Cube Featuring ...
desertcart.in
Cubelelo Drift 3x3 Mirror (Silver) Magic Speed Cube | Shape Shifter ...
amazon.in
Dvaya Cube Combo Set Of 2X2 Cube Pyraminx Triangle And Mirror Puzzle ...
amazon.in
D Eternal Speed Cube 2x2x2 Stickerless Cube Puzzle Game for 3 Years and ...
amazon.in
Wooden cube word building| Wooden Cube word formation
marabommaikadai.in
Buy Rondo Cube Set of 4 Wall Shelves - Black from Home Centre at just ...
homecentre.in
Buy Rubik's Cube Magnetic Levitation No Sticker Speed Cube Magnetic ...
desertcart.in
50+ Cubes worksheets for 5th Class on Quizizz | Free & Printable
quizizz.com
Nether Kitten: Books 1 2 & 3: (An unofficial Minecraft book) eBook ...
amazon.in
Adichai Qiyi 3 X 3, 3 By 3 Magic Wonder Speed Cube - Excellent Rotaion ...
amazon.in
What are Square Numbers? Explained for Kids | Teaching Wiki
twinkl.co.in
Little Black Egg: Nightcrawlers: Amazon.in: Music}
amazon.in
D ETERNAL 3x3 Stickerless Cube | Beginner Speedcube for Kids & Adults ...
amazon.in
Buy CuberSpeed 2020 3x3 Speed Cube stickerless, Moyu RS3M 2020 Mofang ...
desertcart.in
Without actually calculating the cubes find the value of 0.2 cube minus ...
brainly.in
Rubiks Cube | Rubiks Cube Teacher | Learn Solve | Malad Mumbai |Mind ...
mindgamez.in
Double Layer 48 Grides Ice Cube Tray, Press Ice Cube Trays Ice Cube ...
eur.shein.com
1 by 2 whole cube + 1 by 3 whole cube minus 5 by 6 whole cube - Brainly.in
brainly.in
X+y+z=0then show that x cube+y cube+z cube=3xyz - Brainly.in
brainly.in
Beginner's Method to Solve a 3x3 Cube
cubelelo.com
If X + Y + Z = 19 and xy + yz plus zx =23, find the value of x cube + y ...
brainly.in
BIM objects - Free download! SCG Fretwork Cube-3 | BIMobject
bimobject.com
Buy Samsonite 3 Piece Packing Cube Set, Charcoal, One Size Online at ...
ubuy.co.in
Lodha Crown Khoni bypass Lodha Crown Taloja Rent - WITHOUT BROKERAGE ...
nobroker.in
if a + b + c is equals to 6 and a b + BC + CA is equals to 11 find a ...
brainly.in
(221) 3 upon 7 is=??answers: 1)cube root of seventh power of 221 2)cube ...
brainly.in
The Ultimate #GiftGuide For Every Kitchen Queen | Grazia India
grazia.co.in
D ETERNAL MoYu Pyramid Cube 3x3 High Speed Stickerless Triangle ...
amazon.in
Solving 2x2 Rubik's Cube with Ortega Method Video Lecture - Solve Like ...
edurev.in
Buy Eternity Vogue Polyresin Human Cube Lifters Figurine from Home ...
homecentre.in
How to Raise Nightcrawler Worms | Gone Outdoors | Your Adventure Awaits
goneoutdoors.com
Buy Teona's Brown Sugar, Individually Wrapped Brown Sugar Cubes, (152 ...
ubuy.co.in
Indian Rupee Symbol (₹): Facts about the official Currency of India
indiatimes.com
(a+b-c)3 ie whole cube - Brainly.in
brainly.in
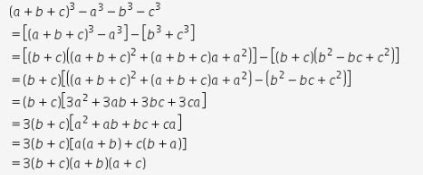
Prove that (a+b+c)whole cube - a cube -b cube - c cube = 3(a+b)(b+c)(c ...
ask.learncbse.in
Solve 1. Find the cube root of 9197. 2. Show that 384 is not a perfect ...
brainly.in
find the value of x cube + y cube + Z cube minus 3 x y z if X square ...
brainly.in
Ans= 155 if x=4,y=3 &z= -2 find the value of x cube +y cube +z cube ...
brainly.in
Chas Addams' Nightcrawlers : Amazon.in: Books
amazon.in
[Answered] the value of a cube plus b cube plus c cube minus 3 ABC if a ...
brainly.in
Buy Eternity Vogue Polyresin Human Balancing on Cube Figurine from Home ...
homecentre.in
BNB to INR: Convert BNB (BNB) to Indian Rupee (INR) | Coinbase India ...
coinbase.com
Rubiks Cube Mumbai | Rubiks Cube Competition | Rubik's Cube Mumbai ...
mindgamez.in
factorise x cube minus 2 x square Y + 3 x y square minus 6y cube ...
brainly.in
Buy Adrian-Amelia Cube Textured T-Light Holder from Home Centre at just ...
homecentre.in
Buy Martini Monacco Long Stick Ice Cube Tray With Lid from Home Centre ...
homecentre.in
Buy Rubiks Cube Car Decal Vinyl Sticker - Vinyl Decal - Car, Bumper ...
ubuy.co.in
X cube + y cube + Z Cube + 3 X Y Z Plus x cube + y cube + Z Cube + 3 x ...
brainly.in
Indian Rupee against US Dollar since 1947 - Insights
news.faltupana.in
Buy Bakers Pride Cassia 5Pcs Polypropylene Ice Cube Tray with Container ...
homecentre.in
Buy Eternity Vogue Polyresin Human Cube Lifters Figurine from Home ...
homecentre.in
Pyle Home PCB3BK 3-Inch 100-Watt Mini Cube Bookshelf Speakers - Pair ...
amazon.in
Buy Bakers Pride Monacco Ice Cube Tray with Lid from Home Centre at ...
homecentre.in
Buy Bakers Pride Monacco Ice Cube Tray with Lid from Home Centre at ...
homecentre.in
6 Kg Camping LPG Cylinder Manufacturer, Supplier from Faridabad
ssvpl.in
Johnny & The Nightcrawlers , 8900 Ruby Lane, Frankston, TX, United ...
allevents.in
The Nightcrawlers: Saturday of Memorial Weekend, 8144 Hwy 61, Willow ...
allevents.in
Buy Bakers Pride Cassia 5Pcs Polypropylene Ice Cube Tray with Container ...
homecentre.in
Nightcrawlers, Bait, and Beer to Go: A Collection of Stories That ...
amazon.in
13 KG LPG Gas Cylinder Manufacturer, Supplier from Faridabad
ssvpl.in
Buy Online, Cube Testing Machine Supplier from Kolkata
royalhardwaremart.co.in
Sports Festival of Chess, Carrom, Rubiks Cube, Lawn Tennis, Squash ...
allevents.in
London Nightlife: 15 Glam Experiences In The City
traveltriangle.com
Party Places In Goa You Must Not Miss On Your Next Trip
traveltriangle.com
Nightcrawlers Berlin - 2022 What to Know Before You Go (with Photos ...
tripadvisor.in
Metro FM en vivo
radio-argentina.net
Metro FM en vivo
radio-argentina.net
Ooty Summer Festival 2024: An Updated Guide To This Hill Festival
traveltriangle.com
Rainbow Overseas | LBB
lbb.in
Metro FM en vivo
radio-argentina.net
5 Amazing Cottages In Coonoor In 2026 For A Stay Amidst Greenery
traveltriangle.com
Tofu Extra Firm
dotori.in
5 Amazing Cottages In Coonoor In 2025 For A Stay Amidst Greenery
traveltriangle.com
Ooty Summer Festival 2024: An Updated Guide To This Hill Festival
traveltriangle.com
Metro FM en vivo
radio-argentina.net
Related Searches
Sims 3 Nightcrawler
Sims 4 Nightcrawler Cube
Sims 3 Nightcrawler Hair
Nightcrawler Sims 4 CC
Sims 4 Nightcrawler Cube Retexture
Sims 3 Nightcrawler Tyra
Nightcrawler Crow Sims 3
Sims 3 Nightcrawler Lenore
Sims 4 Nightcrawler Child
Sims 3 Nightcrawler Antoinette
Sims 3 Nightcrawler Hair 229
Sims 4 Nightcrawler Braids
Sims 4 Nightcrawler X-Men CC
Sims 4 Nightcrawler Kemono Party
Nightcrawler 24 Sims 3
The Sims 4 Nightcrawler Sims Clayified
Sims 3 Nightcrawler Hairstyle 229
Nightcrawler Spicy Sims 3
Sims 4 Nightcrawler Orion
Nightcrawler Anna Sims 3
Nightcrawler Sims 4 Hair Simsdom
Nightcrawler Sims Alive Clayified
Nightcrawler Crow Sims 2
Sims 3 Nightcrawler Close Retexture
Ccute Sims 3 Cute Overlay
Nightcrawler Sims 4 Recolor
Sims 3 Nightcrawler Break Hair
Nightcrawler Hair Ghoul Sims 3
Nightcrawler Sims 4 Clay Recolor
The Sims 3 Nightcrawler Formation
Sims 3 Nightcrawler Sugarberrysims
Sims 4 Nightcrawler Lover
Nightcrawler Cinnamon Sims 4 CC
The Sims 3 Nightcrawlee
Sims 4 Nightcrawler Recolour
Nightcrawler Sims 4 Mods Hair
The Sims 3 Nightcrawler Sparks
Sims 3 Nightcrawler Lemonade
Sims 3 Nightcrawler Retexture Snow
Sims 4 Nightcrawler Medium Hair
Nightcrawler Sims 4 Locked
Sims 3 Male Nightcrawler Hair
The Sims 3 Nightcrawler Harper Children
Sims 3 Male Nightcrawler Polaris Hair
Nightcrawler Sugar Hair Sims 3
Sims 4 Nightcrawler Hair Wings
Sims 2 Nightcrawler Stacie
Nightcrawler Sims 4 Flora Hair
Sims 4 Nightcrawler Madison Hair
The Sims 3 Nightcrawler Sparks Ifcasims
Search
×
Search
Loading...
No suggestions found