Find Your Style
Women
Men
Accessories
Search for clothing, brands, styles...
×
Women
Men
Accessories
Sims 4 Atm Mod
Search
Loading...
No suggestions found
REPO Skins: Customization, Installation & Creation: The Ultimate Guide
lagofast.com
Collections | Official PlayStation™Store India
store.playstation.com
The Sims 4 - PS4 games - PlayStation (India)
playstation.com
ATM Card
ffherp.co.in
4 ATM Loot Bids In Two Days Jolt Odisha's Puri
odishatv.in
What is the Full Form of CASA in Banking?
navi.com
FINO Payments Bank Mini ATM - AF60S WatchData White – ATMBAAZAR
atmbaazar.com
Relisec
relisec.in
ER Diagram for University Management
edrawmax.wondershare.com
BSNL 4G SIM खरीदने के लिए स्टोर पर जाने का झमेला खत्म, जल्द ATM जैसी ...
digit.in
ER Diagram for University Management
edrawmax.wondershare.com
Avanti West Coast 2+8 HST - Train Sim Community
trainsimcommunity.com
SAFETY NET, SPY CAMERA GSM ATM Card with 1080p Spy Earpiece Basic ...
amazon.in
EPF ATM, UPI withdrawal rules: Employees can soon withdraw 75% PF ...
msn.com
"805003" - Avanti West Coast - Train Sim Community
trainsimcommunity.com
How to Generate SBI ATM PIN by SMS, ATM, Customer Care, Net Banking
paisabazaar.com
EZcash ATM
scrapdragon.com
Sequence Diagram for Student Attendance System for You
edrawmax.wondershare.com
How to Transfer Money from ATM? Account to Account Fund Transfer
paisabazaar.com
SIM8200EA-M2 Industrial 5G Router - Multi Mode Multi Band ...
thinkrobotics.com
(a) 574 the vapour pressure of water at 300 k in a closed contajner is ...
scoop.eduncle.com
Train Sim World® 5: Standard Edition PS4 & PS5
playstation.com
How to Withdraw Cash from ATM using UPI, Daily Limit & Free Transaction
paisabazaar.com
Two moles of an ideal gas at 2 ATM and 27 degree Celsius are compressed ...
edurev.in
ER Diagram for University Management
edrawmax.wondershare.com
Verizon Wireless 5g And 4g Lte Sim Card Triple Cut | Desertcart INDIA
desertcart.in
Names starting with R, R names, store name ideas - N4B
names4brands.com
TL-MR6400 | 300 Mbps Wireless N 4G LTE Router | TP-Link India
tp-link.com
Post Office Expired ATM Cards Renewal Procedure | Procedure for Renewal ...
postalstudy.in
Waifu Player Ultimate Edition [NSFW] - Terraria-Game.com
terraria-game.com
Top 5 Most Useful Mods In Minecraft For More Efficient Gameplay
gurugamer.com
Ooty Iconic Hill Destination - Tamilnadu | : : GreenNest
greennest.in
How to Transfer Sim Card to New iPhone [eSIM]
mobiletrans.wondershare.com
PayNearby Micro atm cum PoS device Card Swipe Machine Multipurpose ...
flipkart.com
Remove or switch the SIM card in your iPhone - Apple Support (IN)
support.apple.com
The value of Kp for the equilibrium reaction N2O4(g)leftharpoons 2NO2(g ...
tardigrade.in
SAMSUNG Galaxy A14 5G ( 64 GB Storage, 4 GB RAM ) Online at Best Price ...
flipkart.com
What do you mean by henry's law? The henry's law constant for oxygen ...
brainly.in
The density of water vapour at 328.4 atm and 800 K is 135.0 g/dm ...
brainly.in
ER Diagram for University Management
edrawmax.wondershare.com
How to Transfer Money From SBI ATM? - Goodreturns
goodreturns.in
11 Best GTA 5 NSFW Mods (Updated for 2025) & Where To Download
gurugamer.com
Wagon R Car Music System - Wagon R Android Stereo | Woodman
hiwoodman.com
The pressure of a moist gas at 27°c is 4 atm.At the same temperature ...
brainly.in
ATM PIN: These numbers are frequently targeted in cybercrime! Never use ...
msn.com
A continuous stream of fluid enters a reactor at temperature T0 and ...
brainly.in
ER Diagram for University Management
edrawmax.wondershare.com
Write on application on issue atm card - Brainly.in
brainly.in
मानव संपदा पोर्टल क्या है (EHRMS Full Form In Hindi) - EHRMS Full Form
newsonenation.com
Dashboard @ Water ATM
maps.wbphed.gov.in
[Answered] Write a letter to bank manager for reissuing your atm card ...
brainly.in
The work done in adiabatic compression of 2 mole of an ideal monoatomic ...
scoop.eduncle.com
Hyderabad-based startup gets India's first real-time Gold ATM
currentaffairs.adda247.com
Compare Hitachi R-V470PND3K-INOX 451 Ltr Double Door Refrigerator vs ...
gadgetsnow.indiatimes.com
India's first UPI ATM: How will it be different from cardless cash ...
currentaffairs.adda247.com
The degree of dissociation of N2O4 into NO2 at 1.5 atm and 400C is 0.25 ...
brainly.in
the value of ideal gas constant in dm3 torr k-1 mol-1?? - Brainly.in
brainly.in
The volume of a gas 4 ATM pressure and 273 kelvin temperature is 500 ml ...
brainly.in
Jio Customers Can Now Recharge Their Plans At ATM Machines - MobyGeek.com
mobygeek.com
Question No. 20 Ecell of Pt/H₂ (4 atm) | H* (pH = 8) || H* (pH = x ...
brainly.in
ER Diagram for University Management
edrawmax.wondershare.com
IRCTC Agent Registration, Pancard, Fastag, BBPS & Recharge Online | Si ...
sionline.co.in
ATMT
atmthub.com
Now Withdraw Money from ATM without using Debit/ATM Cards
paisabazaar.com
pls solve this and give correct ans - Brainly.in
brainly.in
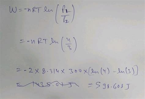
2 moles of ideal gas is expanded reversible is from 4 atm to 3 atm at ...
brainly.in
Critical Thinking Questions Mole Concept and Stoichiometry - Chemistry
edurev.in
An ideal gas undergoes a circular cycle centred at 4 atm, 4 L as shown ...
tardigrade.in
SBI Continues to Lead Debit Card Market, HDFC Leads Credit Cards for ...
currentaffairs.adda247.com
A(g) xrightarrowΔ P(g) + Q(g) + R(g), follows first order kinetics with ...
tardigrade.in
Steps for PNB Debit Card PIN Generation Online, Offline
paisabazaar.com
Axis Bank Allows Cardless Cash Withdrawal: Here’s Process And Charges ...
goodreturns.in
Only 9 Mobile SIM cards per person in India - BMobile.in
bmobile.in
the mass of 256 ml of a triatomic elemental gas at 27 degree celsius ...
brainly.in
A sample of N2 gas has pressure of 2 atm at 127 C. What will be it ...
brainly.in
Online Play Of GTA 5: A Comprehensive Guide For Beginners
gurugamer.com
The solubility of dissolved oxygen at 27°C is 2.6 × 10-3 mol dm-3 at 2 ...
brainly.in
186. In given figure the total pressure exerted will be (1) more than 1 ...
brainly.in
UML-ATM - Uml diagram for ATM - Sample of UML Diagrams for ATM System ...
studocu.com
Virtual ATM – The future of ATM's
vatm.in
A 500mL bulb is filled with CH4 at a pressure of 1 atm and O2 at a ...
brainly.in
ATMT
atmthub.com
2 moles of ideal gas is expanded reversible is from 4 atm to 3 atm at ...
brainly.in
Four moles of an ideal gas at a pressure of 4 atm and at a temperature ...
brainly.in
ATMT
atmthub.com
Online Best AEPS Service in India | AEPS Agent Registration - Si Online
sionline.co.in
Column A Column B 1. Juice 2. weebly.com 3. Paytm 4. ATM 5. Dropbox a ...
brainly.in
Letting Go: The Pathway of Surrender eBook : Hawkins, David R.: Amazon ...
amazon.in
At temperature t kelvin, PCl5 is 50% disassociated at an equilibrium ...
brainly.in
solve this ........................ - Brainly.in
brainly.in
BBPS Agent Registration
sionline.co.in
A 20 litre container at 400k contains CO2 at pressure 0.4 atm and an ...
brainly.in
Maruti Wagon R On Road Price in Ahmedabad, Navsari, Vadodara, Vapi ...
maruti.kataria.co.in
A gas cylinder can withstand a pressure of of 10 ATM. At 25 degree ...
brainly.in
Targeting the Anti-Apoptotic Protein c-FLIP for Cancer Therapy
mdpi.com
2 moles of ideal gas is expanded reversibly from 4 atm to 3 atm ...
brainly.in
B.R. Oxford Public School - Powered by Edumitra
edumitra.in
In outer space the pressure recorded is 5×10^-4 torr.How much outer ...
brainly.in
What is free energy change when 1.0 mole of water at 100c and 1 atm ...
brainly.in
leIf density of 2 molal sucrose solution is 1.4 gm/mLat 25°C, find ...
brainly.in
At 20°C and 0.02 atm pressure, what is the solubility of oxygen in 1L ...
brainly.in
ATMT
atmthub.com
ATMT
atmthub.com
At a given temperature the equilibrium constant for pcl3 + cl2=pcl5 is ...
brainly.in
The Henry's Law constant for oxygen dissolved in water is 4.34xx10^(4 ...
brainly.in
Motorised straightener - Alix Srl
alixsrl.com
Micro ATM - Card Swipe Machine - Popcorn Infotech
popcorninfotech.com
From Omar Abdullah to R Madhavan: 10 icons chosen by PM Modi to tackle ...
msn.com
Maruti Wagon R Images, Wagon R Interior & Exterior Photos
autovista.in
The osmotic pressure of 0.4% urea solution is 1.64 atm and that of 3.42 ...
brainly.in
Intel® Iris® Xe Graphics
intel.in
数量は多 【R-12N】ケミカルアンカーRタイプ ※1000本 - www.spectrafire.in
spectrafire.in
what is volume of 8 gram of H2 gas at pressure of 4 atm and a ...
brainly.in
a small spherical ball falling in a viscous fluid attain a constant ...
brainly.in
calculate the mass of 12 gram of carbon dioxide at 4 ATM - Brainly.in
brainly.in
the Henry's law constant for the solubility of nitrogen in water is 6.4 ...
brainly.in
Compare DIZO Watch R vs Dizo Watch R Talk - DIZO Watch R vs Dizo Watch ...
gadgetsnow.indiatimes.com
Orchid Enterprises
thermalpaperrolls.in
solve this ........................ - Brainly.in
brainly.in
Shanghai survival guide: Get the Detail of Shanghai survival guide on ...
timesofindia.indiatimes.com
Related Searches
Sims 4 ATF Mod
Sims 4 ATM Machine
Sims 4 Money Mod
Fun Sims 4 Mods
ATM Sims 4 CC
Sims 4 Transformers CC
Sims 4 Bank CC
Littlemssam Sims 4 Mods
Sims 4 Shopping Bags
Sims 4 Card Game Mod
Sims 4 Bank Mod Google
SNB Bank Sims 4
Sims 4 Functional ATM
Real Looking Shop with ATM On Wall Sims 4
ATM Lot Sims 4
Sims 4 Electronic Mods
Sims 4 Credit Cards
The Sims 4 YTP
Sims 4 CC Jobs
Sims 4 Asthma Mod
Sims 4 Loan Mod
The Sims 4 Playing Cards Bead
Sims 4 Realistic Mods Download
Sims 4 Event Timer
Sims 2 ATM 4T2
Sims 4 Card Replacement
The Sims 4 Free Mod Cards
Sims 4 Gift Card Mod
Sims 4 Time Machine
Sims 4 Card Reader CC
The Sims 4 Clone Machine Mod
SOS Business Card Sims 4
Sims 4 Bank42
Sims 4 CC Tickets
The Sims 4 Maoni Mods
ATM 9 Mod Pack Thumbnail
Sims 4 Card Tricks
Functional Smiley Cup Mod Sims 4
Sims 4 Bank 42N Sims Download
Sims 4 Ticket Window
Cash Machine Sims 4
Compteur Électrique Mods Sims 4
Awesome Mod Sims 4
Sims 4 Enchanted Clock
Sims 4 Cards Against Humanity Mod
Sims 4 Sunrise Alarm Clock Mod
Sims 4 Gold Credit Card
Sims 4 Bill Counter Machine Mod
CBB Mod
Sims 4 Lottery Ticket Machine CC
Search
×
Search
Loading...
No suggestions found