Find Your Style
Women
Men
Accessories
Search for clothing, brands, styles...
×
Women
Men
Accessories
Sims 4 Hat White
Search
Loading...
No suggestions found
7 white cast-free sunscreens under INR 999 to beat the heat this summer
msn.com
Hat category new arrivals
mahaa.in
Buy METALLI BEACH HAT | Johnny Was
johnnywas.com
DISCOVERING UNIVERSITY CAS OVERVIEW – icemunmun
icemunmun.in
Colanyl White R 130
colourants.in
SIM7600G-H M.2 4G HAT for Raspberry Pi, LTE CAT4 High Speed ...
thinkrobotics.com
Buy MSA475358 V-Gard Hard Hat Front Brim with Ratchet Suspension ...
desertcart.in
White Hat SEO and Black Hat SEO: What Do These Terms Mean? - AdLift India
adlift.com
Air Jordan 4 'White Cement' (FV5029-100) release date . Nike SNKRS
nike.com
‘The White Lotus’ Is Officially Returning For Season 4
elle.in
NETUME Sailor Captains Hat, Sailors Hat for Adults Captain Cap Sailor ...
desertcart.in
SIM7600G-H 4G HAT For Raspberry Pi, LTE Cat-4 4G / 3G / 2G Support, GN ...
thinkrobotics.com
Nike Dri-FIT Apex Bucket Hat. Nike IN
nike.com
PCIe to 5G/4G/3G HAT designed for Raspberry Pi 5, Compatible with 3042 ...
thinkrobotics.com
Jordan Apex Bucket Hat. Nike IN
nike.com
Reserve Bank of India
rbi.org.in
Hat Colouring Sheet | Colouring Pages (teacher made)
twinkl.co.in
Alpinestars Supertech R Vented White Boots
bikegear.in
Compare Apple AirPods Pro (2nd Gen) (White) vs OnePlus Nord Buds 3 ...
gadgetsnow.indiatimes.com
Buy Stetson Men's 4X Corral Wool Cowboy Hat Sand 6 3/4 Online at ...
desertcart.in
SIM7600G-H 4G HAT For Raspberry Pi, LTE Cat-4 4G / 3G / 2G Support, GN ...
thinkrobotics.com
SIM7600G-H 4G HAT For Raspberry Pi, LTE Cat-4 4G / 3G / 2G Support ...
mgsuperlabs.co.in
Alpinestars Supertech R Vented White Boots
bikegear.in
Printable Letter R Outline - Print Bubble Letter R | Printable letters ...
za.pinterest.com
Buy Full Brim Hard Hat, White Hard Hats, Construction Work OSHA Safety ...
desertcart.in
Buy Ash Ketchum Adult Baseball Cap Original Hat Pokemon Trainer Cosplay ...
ubuy.co.in
Buy Pickup Truck Offroad SVG, Clipart, Fast Files for Cricut and ...
etsy.com
What are the 6 Thinking Hats? - Answered - Twinkl Teaching Wiki
twinkl.co.in
Drugs in parcel: ಬ್ಯಾಂಕ್ ಉದ್ಯೋಗಿಯ ಖಾತೆಯಿಂದಲೇ 11 ಲಕ್ಷ ಉಡೀಸ್ ಮಾಡಿದ ...
digit.in
Amazon.com: TMO T-Mobile SIM Card R15 5G 4G LTE TMobile Triple Cut Nano ...
shop.lazadasp.com
Cat-1/GNSS HAT for Raspberry Pi, Based On SIM7670G module ...
thinkrobotics.com
Maruti Wagon R On Road Price in Ahmedabad, Navsari, Vadodara, Vapi ...
maruti.kataria.co.in
SIM8262E-M2 5G HAT for Raspberry Pi – ThinkRobotics.com
thinkrobotics.com
SIM8262E-M2 5G HAT for Raspberry Pi – ThinkRobotics.com
thinkrobotics.com
B.R. Oxford Public School - Powered by Edumitra
edumitra.in
15 Independence Day Crafts & Activities - Twinkl USA
twinkl.co.in
Volkswagen Golf 2025 - Volkswagen Canarias
vwcanarias.com
Waveshare SIM7080G Cellular / GNSS HAT for Raspberry Pi – ThinkRobotics.com
thinkrobotics.com
About Babasaheb Dr Bhimrao Ramji Ambedkar అంబేద్కర్ గురించి - APEdu
apedu.in
PoE Ethernet / USB HUB HAT for Raspberry Pi Zero, 1x RJ45, 3x USB at MG ...
mgsuperlabs.co.in
In an octagon ABCDEFGH of equal side, what is the sum of AB + AC + AD ...
tardigrade.in
GeeekPi Raspberry Pi GPIO Screw Terminal Block Breakout Board HAT with ...
amazon.in
Buy 3 in 1 Aluminium Heat Sink for Raspberry Pi 4B (White) Online in ...
robocraze.com
If the position vectors of the vertices of Δ A B C are 3 hat i +4 hat j ...
tardigrade.in
History of Sotho People - Twinkl SA - Twinkl
twinkl.co.in
Maruti Wagon R On Road Price in Lucknow, Barabanki, Sultanpur & 2021 ...
bright4wheel.com
Latest T-Shirt Collection – Starting at Just ₹399 | All-India Shipping ...
warriorworld.in
(G)I-DLE Miyeon की शानदार तस्वीरों के दीवाने हुए फैंस - DNP India Hindi
dnpindiahindi.in
Buy LUOEM Adjustable Yacht Captain's Hat Sailors Sea Cap Navy Captain ...
desertcart.in
Wagon R Car Music System - Wagon R Android Stereo | Woodman
hiwoodman.com
Compare OnePlus Nord Buds 3 Truly Wireless Bluetooth v5.4 Earbuds with ...
gadgetsnow.indiatimes.com
Regular Fit Printed T-shirt - White/R-E - Men | H&M IN
www2.hm.com
New Balance 1906R: ТОП-10 трендовых расцветок — Teletype
teletype.in
Macklin_Celebrini
local10.com
Compare Apple AirPods 4 Bluetooth v5.3 without Active Noise ...
gadgetsnow.indiatimes.com
Buy Namgiy Kid Kitchen Hat White Chefs Cooking Hat Cap Catering Fancy ...
desertcart.in
Top 10 Cheapest Cars in India - Sep 2024
smcinsurance.com
3M h400 Hard Hat Safety Construction Helmet Price in India - Buy 3M ...
flipkart.com
A perpendicular is drawn from the point P having position vector hat i ...
tardigrade.in
Names starting with R, R names, store name ideas - N4B
names4brands.com
Maruti Wagon R Brochure | Download Wagon R Brochure Online
autovista.in
Vamuss Black Straw Cowboy Hat for Men, Faux Leather, Longhorn ...
amazon.in
Let AB =3 hat i - hat j , AC =2 hat i +3 hat j and DE =4 hat i -2 hat j ...
tardigrade.in
Yamaha R15 S b
bikeadvice.in
US Military To Deploy Navy Ships, USS Gerald R Ford Closer To Israel To ...
timesnownews.com
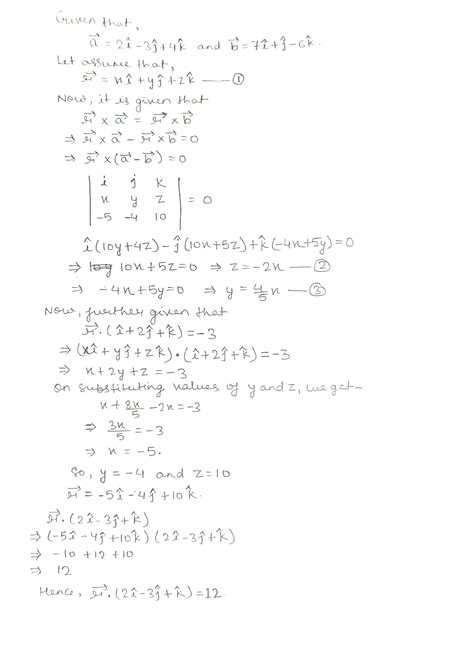
Let [tex]\vec{a}=2 \hat{i}-3 \hat{j}+4 \hat{k}[/tex] and [tex]\vec{b}=7 ...
brainly.in
Let the position vectors of two points P and Q be 3 hat i - hat j +2 ...
tardigrade.in
पाकिस्तानी एक्ट्रेस सबूर अली के बेस्ट ड्रामाज - DNP India Hindi
dnpindiahindi.in
पाकिस्तानी एक्ट्रेस कुबरा खान के मोस्ट पॉपुलर ड्रामा - DNP India Hindi
dnpindiahindi.in
राम मंदिर में Mukesh Ambani के साथ इन बिजनेसमैन ने दान किया सोना - DNP ...
dnpindiahindi.in
Let \vec{a}=\hat{i}+2 \hat{j}+4 \hat{k}, \vec{b}=\hat{i}+\lambda \hat{j ...
brainly.in
Women's Day 2024 की टॉप विशेज और कोट्स - DNP India Hindi
dnpindiahindi.in
Buy We R Memory Keepers 0633356616290 Tool Mini Evolution Starter Kit ...
desertcart.in
Hero Honda Karizma R - JungleKey.in Image
junglekey.in
Theodor Seuss Geisel (Dr. Seuss) Kimdir, Hayatı ve Resimleri
msxlabs.org
Mercedes-Benz Classe R R350 4MATIC 2011 : Prix, Specs & Fiche Technique ...
guideautoweb.com
Berühmtes Open-Air-Thermalbad in Wakayama öffnet wieder für den Winter
sumikai.com
Related Searches
Sims 4 Party Hat
Sims 4 Cowboy Hat CC
The Sims 4 Flower Hat
Toddler Hat CC Sims 4
Sims 4 Sun Hat
Sims 4 Shark Hat
Sims 4 Maga Hat
Sims 4 Seashell Hat
Sims 4 Top Hat CC
Sims 4 Church Hat
Sims 4 CC Beanie Hat
Sims 4 Russian Hat CC
Sims 4 Stove Top Hat
Sims 4 Fur Hat CC
Sims 4 Bonnet Hat
Sims 4 Red Hat
Sims 4 Hard Hat
White Hat Sims
Sims 4 Winter Hat CC
Sims 4 Fall Hat
Sims 4 Leather Hat
Sims 4 Conical Hat
Sims 4 Yukari Hat
Sims 4 Witch Hat CC
Sims 4 Bunny Hat
Sims 4 Child CC Hat
Sims 4 Chauffeur Hat
Sims 4 Hat Decor
Sims 4 Fishing Hat
Sims 4 Hat with Ribbon
Sims 4 CC Chain Hat
Sims 4 Hat Stand CC
Sims 4 Farmer Hat
Sims 4 Fancy Hat CC
Sims 4 Birthday Hat CC
Sims 4 Trapper Hat CC
Sims 4 Traveler Hat
Sims 4 Big Hat of Shame
Sims 4 Feather Hat
Sims 4 Male Hats
Top Hat Sims 4 Mods
Sims 4 Tall Hat
Sims 4 Hat with Veil
Sims 4 Boater Hat CC
Sims 4 CC Fuzzy Hat
Large Hat Sims 4
Rococo Feathers Hat Sims 4
Sims 4 Warm Hat
Sims 4 CC Pigen Hat
Snow Hat Sims 4
Search
×
Search
Loading...
No suggestions found