Find Your Style
Women
Men
Accessories
Search for clothing, brands, styles...
×
Women
Men
Accessories
Simutanious Linear Equation
Search
Loading...
No suggestions found
INR Frequently Asked Questions | RCS
remotecardiacservices.com
ஒருங்கமைந்த நேரிய சமன்பாடுகள் (Simultaneous Linear Equations) - இரு ...
brainkart.in
Introduction to simultaneous linear equations — lesson. Mathematics ...
yaclass.in
using simultaneous linear equation method - Brainly.in
brainly.in
Simultaneous linear equation 2x + y = 82x - 2y = 4 - Brainly.in
brainly.in
2x + 3y = 23 5x - 20 = 8y Solve by the system of simultaneous linear ...
brainly.in
Simultaneous Linear equation3x+2y=2xy1/x+2/y=7/6 - Brainly.in
brainly.in
using simultaneous linear equation method - Brainly.in
brainly.in
👉 Solving Linear Simultaneous Equations
twinkl.co.in
Simultaneous Equations Questions Worksheet | Beyond GCSE
twinkl.co.in
solve the following system of simultaneous linear equation - Brainly.in
brainly.in
Solve the following systems of simultaneous linear equation by ...
brainly.in
1)2x-3/y=9 3x+7/y=2solve by cross mulplicaton simultaneous linear ...
brainly.in
Short Questions and Answers - Gauss-Jocobi method & Gauss-Seidel method
eee.poriyaan.in
Simultaneous Linear equation3x+2y=2xy1/x+2/y=7/6 - Brainly.in
brainly.in
slove the following using simultaneous linear equation method x+y=7, 2x ...
brainly.in
Solve the following simultaneous linear equation step-by-step :- ⇒ mx ...
brainly.in
Solve the following systems of simultaneous linear equation by ...
brainly.in
2x-3y-3=0 2x/3+4y+1/2=0 please answer this simultaneous linear ...
brainly.in
Simultaneous Linear Equation by Substitution Method - Brainly.in
brainly.in
3x+4y=10 2x-2y=2 Solve in simultaneous linear equation by elimination ...
brainly.in
Construct a word problem on simultaneous linear equations in two ...
brainly.in
Simultaneous Linear Equations Class 9 - Math Online
mathonline.in
please send me the some now please it is simultaneous linear equation ...
brainly.in
solve the simultaneous linear equation question - Brainly.in
brainly.in
solve the following system of simultaneous linear equation by ...
brainly.in
Solve the following systems of simultaneous linear equation by ...
brainly.in
Construct a word problem on simultaneous linear equations in two ...
brainly.in
2) using the elimination method to solve the following so simultaneous ...
brainly.in
System of linear equation - Engineering Mathematics - II - Studocu
studocu.com
System of Linear Equation - Chapter 1 Systems of Linear Equations 1 ...
studocu.com
Simultaneous Linear Differential Equation - 1 Video Lecture - Crash ...
edurev.in
Simultaneous linear equations
freeganita.com
Solve the system of simultaneous linear equation by the elimination ...
brainly.in
solve the following system of simultaneous linear equation - Brainly.in
brainly.in
find the value of m and n for which the following system of linear ...
brainly.in
- Standard form of Linear Equations in Two Variables
abhyasonline.in
Solve the following by simultaneous linear equation.2x-3y-2=0 ------ (i ...
brainly.in
System of linear equation - 1 Systems of Linear Equations 1 Linear ...
studocu.com
verify the conditions for consistency of a system of linear equations ...
brainly.in
to obtain the conditions of consistency of a system of linear equation ...
brainly.in
Exercise 5.4 (System of simultaneous linear differential equations with ...
eee.poriyaan.in
please send me the some now please it is simultaneous linear equation ...
brainly.in
3x+4y=10 2x-2y=2 Solve in simultaneous linear equation by elimination ...
brainly.in
answer for the sum of two numbers is 12 and their differences is 2 ...
brainly.in
Problems based on system of simultaneous linear differential equations ...
eee.poriyaan.in
Solve thesw simultaneous linear equation graphically : 2x + 5y = 8, x ...
brainly.in
Determine the value of m and n so that the following system of linear ...
brainly.in
For what value of M and n the following system of linear equation has ...
brainly.in
LINEAR EQUATIONS AND PAIRS OF SIMULTANEOUS LINEAR EQUATIONS! Math Grade ...
treehut.in
50+ Linear Equations worksheets for Class 7 on Wayground | Free & Printable
wayground.com
Class 10 Maths Chapter 3 Assertion and Reason Questions - Pair of ...
edurev.in
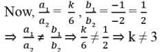
[Solved] if a1/a2 isnot = to b1 /b2 but = to c1/c2 then what will ...
brainly.in
Linear Equations In Two Variables, Class 10, Math Detailed Chapter ...
edurev.in
மூன்று மாறிகளில் அமைந்த நேரிய ஒருங்கமை சமன்பாடுகள் - எடுத்துக்காட்டு ...
brainkart.in
Rank and system of linear equation IIM - Dr. Ashutosh Sharma Dr Singh ...
studocu.com
Assignment 4 - B. Ravindran Consider the 1 dimensional dataset: x y -1 ...
studocu.com
this question can be solved using simultaneous linear equation but how ...
brainly.in
ஒருங்கமைந்த நேரிய சமன்பாடுகள் (Simultaneous Linear Equations) - இரு ...
brainkart.in
please slove To obtain the condition for consistency of system of ...
brainly.in
ஒருங்கமைந்த நேரிய சமன்பாடுகள் (Simultaneous Linear Equations) - இரு ...
brainkart.in
Linear Equations: Nature of Solutions
kingseducation.in
2x- 3y= 9, 3x + 7/y= 2, y70simultaneous linear equation with ...
brainly.in
Solve the following system of linear equation graphically 2x-3y-17=0 ...
brainly.in
Solve the above simultaneous linear equation.Click on the above photo ...
brainly.in
solve the following system of simultaneous linear equation - Brainly.in
brainly.in
give any4 solutions of of simultaneous linear equation - Brainly.in
brainly.in
Construct a word problem on simultaneous linear equations in two ...
brainly.in
Use graphical method to solve the system of linear equation below. Use ...
brainly.in
Using Substitution Method in Simultaneous Linear equation - Brainly.in
brainly.in
3x + 7y = 27 , 8- y = 5/2 =x, solve simultaneous linear equation ...
brainly.in
solve this simultaneous linear equation by method of elimination2x/3 ...
brainly.in
x+1/2+y-1/3=8 x-1/3+y-1/2=9 simultaneous linear equation - Brainly.in
brainly.in
solve the following system of linear equation graphicallyy and shade ...
brainly.in
4/x+ 3y = 8, 6/x - 4/y= -5, x70simultaneous linear equation with ...
brainly.in
Important Formulas: Pair of Linear Equations in Two Variables - Class ...
edurev.in
2x- 3y= 9, 3x + 7/y= 2, y70simultaneous linear equation with ...
brainly.in
solve the simultaneous linear equations: 4x-3y-11= 06x-7y-5= 0 - Brainly.in
brainly.in
Linear Equations in Two Variables Class 9 Notes Maths Chapter 4 Free PDF
edurev.in
solve this simultaneous linear equation by method of elimination2x/3 ...
brainly.in
solve the following system of linear equation graphicallyy and shade ...
brainly.in
10x+y=7(x+y) 10x+y-36=10y+x simultaneous linear equation - Brainly.in
brainly.in
4. For the given simultaneous linear equations, find the value of x. 7x ...
brainly.in
2x- 3y= 9, 3x + 7/y= 2, y70simultaneous linear equation with ...
brainly.in
CAT Linear Equations : Important Concepts and Notes PDF
edurev.in
Solving Linear Simultaneous Equations Worksheet - Beyond
twinkl.co.in
Let us draw the graph of the following simultaneous linear equations ...
philoid.in
Solved: For each system of linear equations shown below, classify the ...
gauthmath.com
Solve the simultaneous linear equationby substitution method: 3x - 5y ...
brainly.in
Solve this, simultaneous linear equation!Answer is, X= 2 Y= 2Show the ...
brainly.in
Solve the above simultaneous linear equation.Click on the above photo ...
brainly.in
to obtain the conditions of consistency of a system of linear equation ...
brainly.in
[Expert Verified] x+1/2+y-1/3=8 x-1/3+y-1/2=9 simultaneous linear ...
brainly.in
10x+y=7(x+y) 10x+y-36=10y+x simultaneous linear equation - Brainly.in
brainly.in
How to solve simultaneous linear equation of f1+f2=114 and 5f1+10f2=760 ...
brainly.in
Pair of Linear Equations in two Variables Class 10 Notes Maths Chapter 3
edurev.in
solve the following system of linear equation graphicallyy and shade ...
brainly.in
Solve the following system of linear equation graphically 2x-3y-17=0 ...
brainly.in
Pls solve the simultaneous linear equation 7/x + 8/y = 2 and 2/x + 13/y ...
brainly.in
Solve graphically the simultaneous linear equation x-2y=1 and x+y=4 ...
brainly.in
- Representing an Equation in one variable on a graph
abhyasonline.in
in the system of linear equation 7x-5y=2 and 2x+ky=5, find the value of ...
brainly.in
System of linear equation - Jim Lambers MAT 461/ Spring Semester 2009 ...
studocu.com
Linear Equations: Nature of Solutions
kingseducation.in
Class 10 Maths Chapter 3 Assertion and Reason Questions - Pair of ...
edurev.in
please do this sum now please and send me now simultaneous linear ...
brainly.in
solve the following simultaneous linear equation 3 - 2 (3x + 4y) = x, x ...
brainly.in
👉 Solving Simultaneous Equations Graphically Worksheet
twinkl.co.in
NCERT Solutions for Class 10 Maths Chapter 3 Pair of Linear Equations ...
oswalpublishers.com
Linear system of equations - II. Linear Systems of Equations §II The ...
studocu.com
evaluate this simultaneous linear equation 2u+15v = 17uv 5 (u + v) = 36 ...
brainly.in
Solve the following offer system of linear equation graphically 3x + y ...
brainly.in
construct a word problem on simultaneous linear equation in two ...
brainly.in
3x+5y=4xy2y-x=xyit is a chapter name is simultaneous linear equation ...
brainly.in
Mind map — lesson. Mathematics State Board, Class 9.
yaclass.in
solve the following system of simultaneous linear equation - Brainly.in
brainly.in
Solve the following systems of simultaneous linear equation by ...
brainly.in
Solve for 4x+y=7and5x+3y=7 to simultaneous linear equation of ...
brainly.in
சமபடித்தான நேரியச் சமன்பாடுகளின் தொகுப்பு (Homogeneous system of linear ...
brainkart.in
for what value of k the following system of linear equation has no ...
brainly.in
Related Searches
Nonlinear Simultaneous Equations
Simultaneous Equations Linear and Quadratic
Linear Equations with Fractions
Solving 2 Linear Equations
Simultaneous Equations Elimination Worksheet
Easy Simultaneous Equations
Simultaneous Linear Equations Graph
Linear Equations Types
Simple Simultaneous Equations
Simultaneous Equations Step by Step
Graph of Linear Equation
Three Simultaneous Equations
Non Linear Simultaneous Equations Worksheet
Substitution Method Worksheet
Simultaneous Equations Worksheets and Answers
Simultaneous Linear Equations Graphically
Two Variable Linear Equations
Graphing Simultaneous Equations
Examples of Simultaneous Equations
Graphing Systems of Linear Equations
Math Linear Equations
Linear and Quadratic Functions
Linear Equations and Inequalities
Simultaneous Equations Exercises
Dicvison Linear Equations
Simultaneous Equations Cheat Sheet
Inconsistent Linear System
Linear Algebra Concept Map
Simultaneous Linear Equations Hard
Algebraic Simultaneous Equations
Linear ODE Equation
Graphical Equations
Difficult Simultaneous Equations
Simultaneous Equation Cannon
Simultanieous Equations
How to Solve a Simultaneous Equation
Simultaneous Equations Circle and Linear
Simultaneous Equations Grade 9 Worksheet
What Is a Simultaneous Equation
Linear Equation in Slope-Intercept Form
Linear Relationship Equation
Linear Equation with No Solution
Solving Basic Equations Worksheet
Simultaneous Logarithmic Equations
Mathematics Simultaneous Equations
5 Simultaneous Linear Equations
Simultaneous Equation with Two Unknowns
Example of System of Linear Equations
Simultaneous Equations Year 9 Worksheet
Simultaneous Equations Rules for Signs
Search
×
Search
Loading...
No suggestions found