Find Your Style
Women
Men
Accessories
Search for clothing, brands, styles...
×
Women
Men
Accessories
Sin2t Formula
Search
Loading...
No suggestions found
INR Full Form: What is full form of INR?
bankersadda.com
Mumbai to Singapore Flights, Ticket Price from INR 12,011 | Air India
airindia.com
trigonometry table
openclasses.in
6. the inverse laplace transform of is (a) cos 2r+ sin 2t (b)ecos 2 (c ...
scoop.eduncle.com
Solved: The curve C has parametric equations x=sin t, y=sin 2t, 0≤ t≤ π ...
gauthmath.com
Trigonometry Table in Maths: Sin Cos Tan Table Formula | AESL
aakash.ac.in
If x = a sin 2t, y = a(cos 2t + log tan t), then find dy/dx - Brainly.in
brainly.in
If x = a * sin 2t(1 + cos 2t) and y = b * cos 2t(1 - cos 2t) Prove that ...
brainly.in
Trigonometry Formula Tricks, Identities, Trigonometric Ratio
sscadda.com
the inverse laplace transform of s/(s^2+1)(s^2+4) is: 1. 1/3(cos t ...
brainly.in
Trigonometry Formula Tricks, Identities, Trigonometric Ratio
sscadda.com
Mind Maps for Trigonometric Ratio: Compound Angles Revision - Class 11, JEE
esaral.com
Buy Trigonometry Formulas Chart 8 X 10 Digital Download Online in India ...
etsy.com
x = a sin 2t (1 + cos 2t) and y = b cos 2t (1 - cos 2t) find dy/dx ...
brainly.in
I want to all formula of trigonometric. - Brainly.in
brainly.in
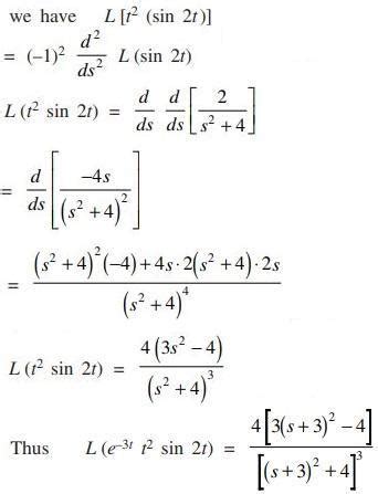
Find the Laplace transform of t^2 e^-3t sin 2t. - Brainly.in
brainly.in
if x = a sin 2t (1+cos2t) and y=b cos2t (1-cos2t) find the value of dy ...
brainly.in
(sin 2t - cos 2t)^2 Expand it - Brainly.in
brainly.in
Sin Cos Tan Formula, Values, Use, Table, Tips, And Trick
pw.live
Trigonometry Formula Tricks, Identities, Trigonometric Ratio
sscadda.com
Accelaration = sin 2t î + cos 2t ĵ, then calculate displacement of the ...
brainly.in
Find Laplace transforms of sin 2t cos 3t - Brainly.in
brainly.in
Accelaration = sin 2t î + cos 2t ĵ, then calculate displacement of the ...
brainly.in
All Integration Formulas PDF and Sheet for Class 12 Students
adda247.com
Ratio formulas - best formula - LIQUIDITY RATIO 1 current Ratio current ...
studocu.com
Integral of square root of 1-sin2x - Brainly.in
brainly.in
Accelaration = sin 2t î + cos 2t ĵ, then calculate displacement of the ...
brainly.in
Find the Laplace transform of sin root t - Brainly.in
brainly.in
what is the formula of Sin theta - Brainly.in
brainly.in
laplace transform of sint cos2t - Brainly.in
brainly.in
X=sin^(-1)(2t÷(1+(t^2))) y=tan^(-1)(2t÷(1-(t^2))) find dy/dx - Brainly.in
brainly.in
4. The vertical motion of mass A is defined by the relation x = 10 sin ...
brainly.in
4. The vertical motion of mass A is defined by the relation x = 10 sin ...
brainly.in
if x= a sin 2t(1+cos 2t), y= bcos 2t (1-cos 2t), find dy/dx at t= pi/4 ...
brainly.in
[Expert Verified] sin 2t×cos3t how to solve this one - Brainly.in
brainly.in
find laplace transform of t.e^-t.sin3t - Brainly.in
brainly.in
sin cube x into cos cube x integration of the functions - Brainly.in
brainly.in
Check the correctness of the given equation h = 2Tcosθ / rρg, where h ...
brainly.in
derive three equations of motion from newton's second law - Brainly.in
brainly.in
Zakat Explained With Simple Calculations | Zakat Vs Income Tax - Learn ...
learnaboutislam.in
Ratio and Proportion - Definition, Examples and Formulas
sscadda.com
From canals to Formula 1 track to prison: How UP's best business house ...
economictimes.indiatimes.com
What is the dimensional formula for pressure?a)[ML-1T-2]b)[MLT-1]c)[ML ...
edurev.in
if the position vector of a particle is given by r = (4cos 2t)i+(4sin2t ...
brainly.in
Hotel Formula International & Puravita SPA, Rosolina, Italy - www ...
trivago.in
Solve Sin2x-Sin4x+Sin6x=0 - CBSE Class 11 - Learn CBSE Forum
ask.learncbse.in
Dimensional formula for angular momentum. A.[ML^2T^-1] B.[ML^2T] C.[M ...
brainly.in
Sin a Cos b Formula, Proof, Examples
adda247.com
Buy Qwasdfg Products Online at Best Prices in India | Ubuy
ubuy.co.in
CAT Formula PDF - QUANT FORMULAS CAT By CAT 100%iler Topic Page No ...
studocu.com
Cash Reserve Ratio, Definition, Rate, Formula, Importance
studyiq.com
Important Formulas: Ratio and Proportion - General Test Preparation for ...
edurev.in
The dimensional formula for spring's constant A.M^1L^1T^-2 B.M^1L^0T^-2 ...
brainly.in
two particles are fired from the same point with speeds 100 m/ s and ...
brainly.in
II.1. Prove that2- (0)TTcos(Tl -- A). cot + A cos(-A)= cos A.371tan(It ...
brainly.in
Tan Theta Formula, Definition , Solved Examples
pw.live
value of v(π/3)....if v(t)=sin^2t-cos(2t) - Brainly.in
brainly.in
sin (A+B)-sin (A-B)= - Brainly.in
brainly.in
Exploring Mathematical Formulas: Class VIII SAIoneers Uncover the Area ...
saiinternational.edu.in
Buy Asdfger Products Online at Best Prices in India | Ubuy
ubuy.co.in
Units and Dimensions
physicsadvisor.in
Trigonometric formulas - Formulas Trigonometric formulas sin a ± sin b ...
studocu.com
An Introduction to the International Fisher Effect - India Dictionary
1investing.in
Expand h = 2t/rpg by using logarithm formula - Brainly.in
brainly.in
Accounting Ratio – Types, Formulas & Importance
bajajfinservmarkets.in
Convert Currency in Number to Words (Indian Rupees) - Version 2 | Live ...
livetolearn.in
Ratio and Proportion Formulas for CAT, Download PDF
cracku.in
Ratio and Proportion - Definition, Examples and Formulas
sscadda.com
Expand h = 2t/rpg by using logarithm formula - Brainly.in
brainly.in
Ratio and Proportion - Definition, Examples and Formulas
sscadda.com
How to convert rupees to dollars and dollars to rupees? - Goodreturns
goodreturns.in
Partial Thromboplastin Time Wikipedia, 58% OFF
elevate.in
Ratio Analysis Formulas - RATIO ANALYSIS FORMULAS There are four types ...
studocu.com
Sin a Cos b Formula, Proof, Examples
adda247.com
Cash Reserve Ratio, Definition, Rate, Formula, Importance
studyiq.com
Solved: Given: MNO Prove: The medians of ΔMNO are concurrent. [edAsset ...
gauthmath.com
Ratio Analysis Formulas - Formulas For Ratio Hnalysis Type Balancing ...
studocu.com
integral of (e^4t+2e^2t-e^t )/(e^2t+1)dt - Brainly.in
brainly.in
Dimensional formula of power is A.[M^2L^2T^-2] B.[ML^2T^-3] C.[M^2LT^-2 ...
brainly.in
Our favourite made-in-India moisturisers for glowing and happy skin
lifestyleasia.com
If x = a sin 2t, y = a(cos 2t + log tan t), then find dy/dx - Brainly.in
brainly.in
A particle executes shm according to equation x=10cos[2t+/2] , where t ...
brainly.in
the velocity of a particle is given by the equation V =(2T^2 + 5 )m/s ...
brainly.in
If x = a sin 2t, y = a(cos 2t + log tan t), then find dy/dx - Brainly.in
brainly.in
Virtual Lab-Dayalbagh Educational Institute
msvs-dei.vlabs.ac.in
RELATIVE DENSITY TEST
home.iitk.ac.in
Cash Reserve Ratio, Definition, Rate, Formula, Importance
studyiq.com
. The angular displacement of a particle is given by the formula 2t^2 ...
brainly.in
An Introduction to the International Fisher Effect - India Dictionary
1investing.in
According to Newton, the viscous force acting between liquid layers of ...
edurev.in
Downside Deviation Defined - India Dictionary
1investing.in
Ratio Analysis - RATIO ANALYSIS: PROBLEMS AND SOLUTIONS Problem 1: The ...
studocu.com
Formula Sheet - CFA Level II - Warning: TT: undefined function: 32 ...
studocu.com
Buy La magia de la cosmética natural: 25 Fórmulas secretas (y no tan ...
desertcart.in
X=sin^(-1)(2t÷(1+(t^2))) y=tan^(-1)(2t÷(1-(t^2))) find dy/dx - Brainly.in
brainly.in
MockItUpp
mockitupp.in
why[tex] \pi [/tex] got its value 22/7 - Brainly.in
brainly.in
Buy Nu Skin Skincare Products Online | Ubuy India
ubuy.co.in
Buy Nu Skin Skincare Products Online | Ubuy India
ubuy.co.in
Bill Invoice Format in PDF | Free Download - Wise
wise.com
Exploring Mathematical Formulas: Class VIII SAIoneers Uncover the Area ...
saiinternational.edu.in
(Cosec theta-sin theta) (sec theta-cos theta)=1/tan theta plus cot ...
brainly.in
Buy Kalinka : El recetario ruso: Fórmulas tradicionales rusas para ...
desertcart.in
According to Newton, the viscous force acting between liquid layers of ...
edurev.in
Buy Celebra la Navidad sin lactosa: Las mejores fórmulas tradicionales ...
desertcart.in
Fórmula Infantil NAN Expert Pro Sin Lactosa A Partir Del, 50% OFF
iiitl.ac.in
Learn CBSE
learncbse.in
Arc Length Formula- Definition, Proof, Examples
adda247.com
if x = a ( cos 2t + 2t sin 2t ) and y = a ( sin 2t - 2t cos 2t ) , then ...
brainly.in
வாய்பாடுகளும் விதிகளும் - கணிதம், Mathematics, அறிவியல் வினா விடை ...
tamilsurangam.in
If x = a sin 2t, y = a(cos 2t + log tan t), then find dy/dx - Brainly.in
brainly.in
Indian Rupee against US Dollar since 1947 - Insights
news.faltupana.in
Buy Nu Skin Skincare Products Online | Ubuy India
ubuy.co.in
Interest Rate Parity, Forward Rates & International Fisher Effect ...
1investing.in
Buy Bissell Vacuum Cleaner And Accessories Online At Best Price | Ubuy ...
ubuy.co.in
Buy Qwasdfg Products Online at Best Prices in India | Ubuy
ubuy.co.in
Financial Ratio Analysis: Definition, Types, Examples, And, 46% OFF
elevate.in
M1_ESP_5W-30-etiqueta-sin-formula – Distri Alger
distrialger.com
Related Searches
Sin2t
Double Angle Fórmula
Cos2t
Sin 2A Formula
Sin 2T Cos 2T
2Sinasinb Formula
Compound Angle Formula
Tan Double Angle Formula
Sin 2 Cos 2 Formula
Sin 2X Derivative
Sin2t Formula I
1-Cos2t
Sin2t Identity
Sin2t Trig Identity
Sin2t Integral
Double Angle Cosine
Cosine Rule Formula
Sin Cos Quadrant
Sin2t Graph
مشتق Sin2t
Deriv. of Sin2t
Sin X 2 Integral
Sin^3 X
Sin2x Formula in Terms of Tan
La Place Transform of Sin2t
Sin2t 2Sintcost
Antiderivative of Sin X 2
Double Angle Rules
Sint Cost Sin2t
Sin Cos Trig Identities
Y Sin 2X Graph
Sin 2 Theta
Cos2x Double Angle Identity
Sin3t
Trig Identities for Tan
Inverse Trigonometric Formulas
2Sin T Cos T
Intergration of Cos2t
Trigonometric Functions and Identities
Period of Sin 2T
Anti Derivative of Sin2x
Trigonometry Double Angle Identities
Sinx/2 Formula
2Sintcost
Cos 2T
Sin 2 Formula
Cos2x Fórmula
Sin 2X Double Angle Formula
Formula of Tan 2X
Sin 2 Alpha
Search
×
Search
Loading...
No suggestions found