Find Your Style
Women
Men
Accessories
Search for clothing, brands, styles...
×
Women
Men
Accessories
Sinc Function Triangle Mesh
Search
Loading...
No suggestions found
Virtual Lab
lakshya.vcetputtur.ac.in
Fourier Transform of Rect and Sinc Function Video Lecture - Crash ...
edurev.in
In a ∆ABC right angled at A, if tanC= 3 find the value of sinB cosC ...
brainly.in
In triangle ABC, right angled at B if sin A = 1/2, find the value of 1 ...
brainly.in
In any triangle ABC, if a = 18, b =24 and c=30, find SinA,SinB and sinC ...
brainly.in
Virtual Lab
lakshya.vcetputtur.ac.in
Virtual Lab
ssl-iitg.vlabs.ac.in
If they give us triangle ABC;B=90° find the ratio of sinC ,sinA,cosC ...
brainly.in
in triangle ABC prove that a/sinA=b/sinB=c/sinC - Brainly.in
brainly.in
Inverse fourier sine transform formula - Brainly.in
brainly.in
If in a triangle ABC, 3 sínA = 6 sin B =213 sinC, then the angle A is ...
brainly.in
in triangle ABC,angle A=right angle,AB=root x and BC=root x+5.evaluate ...
brainly.in
IN A TRIANGLE ABC RIGHT ANGLED AT B , AB =6 UNITS AND BC=8 THEN FIND ...
brainly.in
T 1. Prove. In a triangle ABC a/sinA =b/sinB=c/sinC and if cosA/a =cosB ...
brainly.in
a right angle triangle ABC has perpendicular 6 and hypoteneus 10 then ...
brainly.in
Using vector method prove that in a ∆ABC a/sinA = b/sinB = c/SinC where ...
brainly.in
in a triangle ABC ,angle B=90°,BC=5cm.,AC-AB=1,Evaluate:1+sinc/1+cosc ...
brainly.in
In triangle ABC, right angled at B, if AB=5cm,BC=12cm , find the value ...
brainly.in
In triangle ABC, right angled at B if sin A = 1/2, find the value of 1 ...
brainly.in
In a triangle abc prove that sina +sinb+sinc = 4cos a/2 cos b/2 cos c/2 ...
brainly.in
Elements of Vector Calculus: Laplacian - Notes | Study Electromagnetic ...
edurev.in
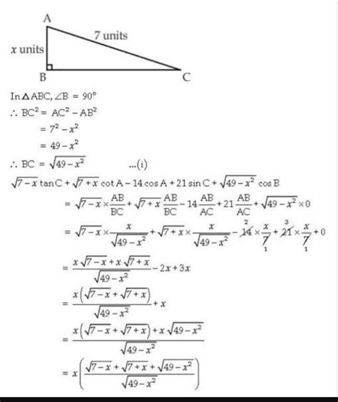
in triangle ABC AB=x AC=7 and angle B=90° cosB= 0 evaluate √7-x tanC+√7 ...
brainly.in
Basic concepts of fuzzy logic
jainnews.in
If in a triangle ABC , sinA/ sinC = sin(A-B ) / sin (B-C), then prove ...
edurev.in
Generating Clustering-Based Interval Fuzzy Type-2 Triangular and ...
mdpi.com
In triangle ABC, right angled at B, AB=5cm and sinC= 1/2 , find the ...
brainly.in
Prove that in any triangle abc sin/a=sinb/b=sinc/c - Brainly.in
brainly.in
in a triangle ABC sinA+sinB+sinC/sinA+sinB-sinC - Brainly.in
brainly.in
in triangle ABC right angle at A if cotB=1 find values of [i] cosB cosC ...
brainly.in
in any triangle ABC if sinA: sinB:sinC is equal to 4: 5: 6 then prove ...
brainly.in
in triangle abc right angle at b if tan a =1/root 3 find value of (1 ...
brainly.in
In a triangle abc prove that sina +sinb+sinc = 4cos a/2 cos b/2 cos c/2 ...
brainly.in
In triangle ABC, right angled at B, if AB=5cm,BC=12cm , find the value ...
brainly.in
In triangle ABC, angle B =90°. If BC = 5 cm and AC - AB = 1 cm ...
brainly.in
IN A TRIANGLE ABC RIGHT ANGLED AT B , AB =6 UNITS AND BC=8 THEN FIND ...
brainly.in
In ΔABC right angled at B, sinC = 5/13, Find : (i) sinA (ii) cosA (iii ...
brainly.in
In a figure ABC is a right triangle with angle B = 90. AB = 5cm and AC ...
brainly.in
If triangle ABC right able at b ab=7cm ac-bc= 1 determine the values of ...
brainly.in
In a figure ABC is a right triangle with angle B = 90. AB = 5cm and AC ...
brainly.in
in triangle ABC right angle at A if cotB=1 find values of [i] cosB cosC ...
brainly.in
IN A TRIANGLE ABC RIGHT ANGLED AT B , ANGLE A =ANGLE C FIND THE VALUE ...
brainly.in
View question - Write the Formula of SinC + SinD = ? And Sin3theta
web2.0calc.com
In triangle ABC, B is 90° and tanA 1/√3 .find the value of sinA cosC ...
brainly.in
in triangle cosA+cosC=sinC,
brainly.in
If sinA+sinB+sinC=0, show that sin3A+sin3B+sin3B+sin3C+12sinA sinB sinC ...
brainly.in
Laplace Transforms - Basic functions
eee.poriyaan.in
In the right angle triangle∆abc,ac=13cm,ab=12cm,bc=5cm then find sinc ...
brainly.in
Triangle Mesh Watermarking and Steganography : Zhou, Hang, Chen ...
amazon.in
In triangle abc angle b= 90 . find the value of (i)cos a cos c - sin a ...
brainly.in
Bluetooth 5 Mesh Networking to Advance IIoT and Beaconing | Mouser
mouser.in
SIHOO M102C Ergonomic Mesh Office Chair, High Back India | Ubuy
ubuy.co.in
Buy Online Titan Classique Suave Quartz Green Dial Silver Stainless ...
titan.co.in
Serplex® 5Pcs Glass Tile Concrete Drill Bit Set, Multi-Function ...
amazon.in
IN A TRIANGLE ABC RIGHT ANGLED AT B , ANGLE A =ANGLE C FIND THE VALUE ...
brainly.in
Serplex® 5Pcs Glass Tile Concrete Drill Bit Set, Multi-Function ...
amazon.in
If in triangle ABC right angled at B sinC=a^2-b^2÷a^2+b^2,then cosC ...
brainly.in
In any triangle ABC, if a = 18, b =24 and c=30, find SinA,SinB and sinC ...
brainly.in
if in triangle abc ,angle b= 90° and tan C=1÷2 then find the value of ...
brainly.in
Serplex® 5Pcs Glass Tile Concrete Drill Bit Set, Multi-Function ...
amazon.in
TRIANGULAR ORTHOGONAL FUNCTIONS FOR THE ANALYSIS TO CONTINUOUS TIME ...
amazon.in
In triangle ABC, right angled at B if sin A = 1/2, find the value of 1 ...
brainly.in
In triangle ABC, angleB=90,BC=5cm,AC-AB=1,evaluate: 1+SinC/1+cosC ...
brainly.in
in a triangle ABC sinA+sinB+sinC/sinA+sinB-sinC - Brainly.in
brainly.in
In triangle ABC, right angled at B if sin A = 1/2, find the value of 1 ...
brainly.in
In triangle ABC, angleB=90. TanA=1/3. Find CosA*CosC-SinA*SinC - Brainly.in
brainly.in
prove in spherical triangle , cosa=cosb.cosc + sinb.sinc.CosA. - Brainly.in
brainly.in
In a triangle abc,sin^2(a) + sin^2(b) + sin^2(c) = 9/4, then prove that ...
brainly.in
In any triangle ABC, prove thatsinA/a=sinB+sinC/b+c=sinB-sinC/b-c ...
brainly.in
[Answered] in triangle abc right angled at b AB =24 cm BC = 7 cm ...
brainly.in
The ratio of areas of incircle and circumcircle of an isosceles right ...
brainly.in
In any triangle ABC, prove that :sinA/a = sinB + sinC / b+c = sinB-sinC ...
brainly.in
if a b c are the interior angle of triangle ABC then prove that Cos A ...
brainly.in
Fourier Transform Pair - Inversion Formula For Fourier Transform
civil.poriyaan.in
In triangle ABC, right angled at B, if tan A =1/root3, find the value ...
brainly.in
Area of Equilateral Triangle Formula with Height
adda247.com
find K if A (k,2),B(3,1),C(4,2) are the vertices of right angled ...
brainly.in
In a right angle triangle ABC ,right angle is b ,if tan =√3 then find ...
brainly.in
In triangle ABC, the measure of ∠B is 90°, BC=16, and AC=20. Triangle ...
brainly.in
If in triangle ABC right angled at B sinC=a^2-b^2÷a^2+b^2,then cosC ...
brainly.in
FOR ANY TRIANGLE ABC, PROVE THAT SIN(B-C)/SIN(B+C)= b^2-c^2/a^2 ...
brainly.in
[Answered] in triangle abc right angled at b AB =24 cm BC = 7 cm ...
brainly.in
Virtual Labs
ae-iitr.vlabs.ac.in
In triangle ABC, angleB=90. TanA=1/3. Find CosA*CosC-SinA*SinC - Brainly.in
brainly.in
A triangle ABC is right angled at B ; find the value of (SecA•SinC ...
brainly.in
In triangle ABC, angleB=90,BC=5cm,AC-AB=1,evaluate: 1+SinC/1+cosC ...
brainly.in
in a triangle ABC sinA+sinB+sinC/sinA+sinB-sinC - Brainly.in
brainly.in
if A,B,C are angles in a triangle ,then prove that cosA+cosB-cosC=-1 ...
brainly.in
if A,B,C are angles in a triangle ,then prove that cosA+cosB-cosC=-1 ...
brainly.in
if in triangle abc ,angle b= 90° and tan C=1÷2 then find the value of ...
brainly.in
Construct triangle ABC with AB=2cm, BC=3cm and AC= 4cm. - Brainly.in
brainly.in
In triangle ABC
brainly.in
In the adjacent triangle, find (i) sin C (ii) cos C (iii) tan C ...
brainly.in
in a triangle abc right angled at b , bc =7cm AC-AB=1CM then find the ...
brainly.in
In any triangle ABC ,prove that a cos A + b cos B + c cos C = 2a sin B ...
brainly.in
In a triangle ABC right angled at B angle A is equal to angle C find ...
brainly.in
A,b,c are real numbers satisfying a+b+c=pi. the minimum value of sina ...
brainly.in
ABC is a triangle in which ∠A = 90°, AN ⊥ BC, BC = 12 cm and AC = 5 cm ...
brainly.in
Buy Boundless® DIY KITS AVR DDS V2.0 Function Signal Generator Module ...
desertcart.in
In triangle abc right angled at b, ab=12cm,bc=5cm . determine 1)sin a ...
brainly.in
prove that cos(A+B) =cosA.cosB-sinA.sinB - Brainly.in
brainly.in
Buy OdinLake Ergonomic Office Chair Mesh - Seat Depth Adjustable Home ...
desertcart.in
Selective Anatomy Vol 2-17 - Write a short note on the Hesselbach’s ...
studocu.com
if a b c are angles of a triangle then prove that sin2A-sin2B+sin2c ...
brainly.in
Agentic AI mesh: The new architecture for intelligent business ...
community.nasscom.in
Sena Srl Mesh Intercom Communication System
bikegear.in
XR2206 High Precision Function Signal Generator DIY Kit Sine/Triangle ...
amazon.in
In triangle ABC, right angled at B,AB=15cm,BC=8cm. determine;. 1)sinA ...
brainly.in
اجهزة المطبخ هى اهم جزء فى المطبخ لازم يكون ترتيبها صح عشان يكون المطبخ ...
beetekahla.com
In the right angle triangle∆abc,ac=13cm,ab=12cm,bc=5cm then find sinc ...
brainly.in
Buy Triangle Mesh Wire Reinforced Concrete Pavements and Roadways ...
amazon.in
prove in spherical triangle , cosa=cosb.cosc + sinb.sinc.CosA. - Brainly.in
brainly.in
BestIN 45 Degree Angle Ruler Multi-function Triangle Ruler Square ...
amazon.in
Bijective Function Properties & Examples | AESL
aakash.ac.in
In triangle ABC, right angled at B, if AB=5cm,BC=12cm , find the value ...
brainly.in
Diagram of nucleated settlements - Brainly.in
brainly.in
Area of Equilateral Triangle, Formula, Examples & Derivation
careerpower.in
prove in spherical triangle , cosa=cosb.cosc + sinb.sinc.CosA. - Brainly.in
brainly.in
Bijective Function Properties & Examples | AESL
aakash.ac.in
Dubai Gallery Multi-Function Triangle Coat Rack With Wheels Black ...
amazon.in
find the six trigonometric ratios of the following - Brainly.in
brainly.in
Related Searches
Triangle Mesh
Sinc Function Graph
Sinc Function Equation
Fourier Transform of Triangle Function
Convolution of a Sinc Function and a Cos Function
Sample and Sinc Function Graph
Plastic Mesh Triangle
How to Draw Sinc Function
Triangle Mesh Drawing
Part Triangle Mesh
Periodic Sinc Function
Triangle Mesh Isoline
Mesh Triangle Quality Examples
Triangle Mesh of Solid
What Is a Sinc Function
Sinc Function Diagram
Sinc Function Plane Wave Integral
Periodic Function of Triangles
Mesh Triangle Volume with Rectangles
3D Mesh Triangles
Incides of a Triangle Mesh
Sinc Function Exponential Form
Sin Function in Exponential Form
Sine Cardinal Function
Normalised Sinc Function Diagram
Convolution of Triangle Function with Itself
Vector Field On a Triangle Mesh
What Is Vertex and Triangle of a Mesh
Image Men's A/O Metal Triangle Mesh
Diffraction Pattern of a Sinc Wave
Draw Sine Wavw Square Wave Trianglure Wavw and Saw Tooth Wavw
Search
×
Search
Loading...
No suggestions found