Find Your Style
Women
Men
Accessories
Search for clothing, brands, styles...
×
Women
Men
Accessories
Sine 2x
Search
Loading...
No suggestions found
Draw the graph `y = sin^(2)x.`
allen.in
4. The maximum height of the graph of sin 2xis ___________ . It is at2x ...
brainly.in
Inverse fourier sine transform formula - Brainly.in
brainly.in
To plot the graph of sinx, sin2x, 2sinx and sinx/2 on the same ...
brainly.in
To plot the graph of sinx, sin2x, 2sinx and sinx/2 on the same ...
brainly.in
Integral sin 2x divided by a square + b square sin square x dx - CBSE ...
ask.learncbse.in
Sketch the graphs of the following pairs of functions on the same axes ...
philoid.in
Draw the graph `y = sin^(2)x.`
allen.in
List of Essential Trigonometry formulas for Class 10, 11, and 12 ...
edurev.in
Solved: Find sin 2x cos 2x , and tan 2x if tan x= 15/8 and x terminates ...
gauthmath.com
If y = {(1-sin2x)/(1 + sin 2x)}1/2 Show that dy/dx + sec2(pie/4 – x)= 0 ...
ask.learncbse.in
Find the derivative of sin 2x from first principle - CBSE Class 11 ...
ask.learncbse.in
1. Graphs of sin x and 2 sin x are of same shape but the maximum height ...
brainly.in
Prove cos^2x-sin^2x=cos2x - Brainly.in
brainly.in
Evaluate the following limit : Lt x tends 0 1-cos 2x / sin ^2 2xPlease ...
brainly.in
solve the equation 2 sin^2x +sin^2 2x=2 in terms of general solution ...
brainly.in
sin 2x + sin 2y / sin 2x - sin 2y = tan (x + y)/ tan (x - y) - Brainly.in
brainly.in
trigonometry table
openclasses.in
what is the expansion of sinx - Brainly.in
brainly.in
Integral (1+sin2x/x+sin^2x) dx - CBSE Class 12 - Learn CBSE Forum
ask.learncbse.in
Trigonometry Table- Learn Sin Cos Tan Table, Trigonometric Ratio Value ...
adda247.com
[Solved] integration of sin inverse (2x/1+xsquare)dx - Brainly.in
brainly.in
integrate dx/sin^2 x cos^2 x - Brainly.in
brainly.in
Integration e^2x ( 1 + sin 2x /1 + cos 2x) dx explain in great detail ...
ask.learncbse.in
integral cot^-1(sin 2x/1-cos 2x)dx - Brainly.in
brainly.in
prove that cos x - cos 2x + cos 3x / sin x - sin 2x + sin 3x = cot 2x ...
brainly.in
Buy Victron EnergyMultiPlus-II 2X 120V, 3000VA 12-Volt Pure Sine Wave ...
desertcart.in
The area enclosed by the curves y= cos x, y=1+ sin 2 x and x=(3 π/2) as ...
tardigrade.in
Prove that : sin x ( 1+ tan x) + cos x (1+ cot x) = sec x + cosec x ...
brainly.in
If 60+a and 60-a are the roots of sin^2 x +bsinx+c=0 - Brainly.in
brainly.in
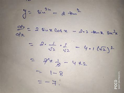
If y=sin^2 x- 2tan^2 , then dy/dx at x=π/4 is - Brainly.in
brainly.in
Prove that: Sin^8x-cos^8x/1-2sin^2xcos^2x=sin^2x-cos^2x - Brainly.in
brainly.in
Differentiate sin(2x-3) from first principles - Brainly.in
brainly.in
Luminous Inverter & Battery Combo (PowerX 2250 Pure Sine Wave 2000VA ...
amazon.in
(sin 7x + sin x)/(cos 5x - cos 3x) = sin 2x - cos 2x * cot xprove the ...
brainly.in
sin^2xcos^2y-cos^2xsin^2y =sin^2x-sin^2y - Brainly.in
brainly.in
prove that :cosec^2x-sin^2x.cot^2x-cot^2x/sin^2x=1 - Brainly.in
brainly.in
Luminous Inverter & Battery Combo (PowerX 2250 Pure Sine Wave 2000VA ...
amazon.in
Evaluate: |x e2x cosa sin (2x sina) dx solution. let i = (x e2x cob sin ...
scoop.eduncle.com
Cos2x Formula, Derivation & Solved Examples
adda247.com
solve the equation 2 sin^2x +sin^2 2x=2 in terms of general solution ...
brainly.in
1+sin 2x + cos 2x/cos x + sin x=2 cos x - Brainly.in
brainly.in
find the value of sin/2x cos/2x tan/2x if sec x=-5/3 x in third ...
brainly.in
LUMINOUS 900 VA SINE WAVE UPS(E-COMM) with 24 Months Warranty Pure Sine ...
flipkart.com
Luminous Inverter & Battery Combo (PowerX 2250 Pure Sine Wave 2000VA ...
amazon.in
tan square A/tan square A-1+Cosec square A/sec square A-Cosec square A ...
brainly.in
Differentiation notes 3 - 1 y fat sin 2x 5 If FF cos 2 5 fm 2 5 sin 2n ...
studocu.com
Luminous Inverter & Battery Combo (PowerX 2250 Pure Sine Wave 2000VA ...
amazon.in
The equation 2 sinx/2cos^2 x - 2 sinx/2sin^2 x = cos^2 x - sin^2 x has ...
brainly.in
31. If y = log2 (sin 2x), dy is equal to(A) -2 cot 2x(C) 2 tan 2x(B ...
brainly.in
If sin x +cosec x=2, then sin^2x+cosec^2x is equal to - Brainly.in
brainly.in
Buy Electronic Electrical Trigonometric Functions Sin Sine Curve Curves ...
desertcart.in
solve for x sin^2 x+cos^2 30=5/4please answer this question fast ...
brainly.in
LUMINOUS 900 VA SINE WAVE UPS(E-COMM) with 24 Months Warranty Pure Sine ...
flipkart.com
cos 2x cos 2y + cos^2 (x+y) - cos^2 (x-y) = cos(2x+2y) - Brainly.in
brainly.in
If sin x = √5/3 and 0
brainly.in
prove geometrically that cos(x+y)= cosx cosy-sinxsiny and hence show ...
brainly.in
Consider all rectangles lying in the region (x, y) ∈ R × R: 0 ≤ x ≤ (π ...
tardigrade.in
Consider d^2/dx^2 operator and check sin^2 x is eigen function or not ...
scoop.eduncle.com
fiind the value of cos 2theta if 2 sin 2 theta =root3 - Brainly.in
brainly.in
1. Graphs of sin x and 2 sin x are of same shape but the maximum height ...
brainly.in
(d ^ 2 * y)/(d * x ^ 2) - 4y = sin^2 x - Brainly.in
brainly.in
(sin 7x + sin x)/(cos 5x - cos 3x) = sin 2x - cos 2x * cot xprove the ...
brainly.in
sin x /a=cos x/b prove a sine 2x+bcos2x=b - Brainly.in
brainly.in
[tex]\lim_{x \to 0} \frac{x cot(4x) }{sin^{2}x cos^{2}2x }[/tex] solve ...
brainly.in
Luminous Inverter & Battery Combo (PowerX 2250 Pure Sine Wave 2000VA ...
amazon.in
Cos +sin 0 d0 10. cos 20 1n- cos -sin 0 cos 2x sin 4x dx cos x1+cos 2x 12.
scoop.eduncle.com
if sin x + cos x = √3 then prove that tan x + cot x = 1 - Brainly.in
brainly.in
How is sin square x minus cos square x is equal to minus cos 2x ...
brainly.in
-1 1 + tan = = tan X 2 = tan -1 x cos-+sin 2 X cos--sin 2 X 2 π X π X ...
brainly.in
tan square A/tan square A-1+Cosec square A/sec square A-Cosec square A ...
brainly.in
[Solved] Integrate sin^2x-cos^2x/sinxcosx - Brainly.in
brainly.in
(tan^2 x/tan^2 x- 1)+(cosec^2 x/sec^2 x - cosec^2 x) = 1/sin^2 x - cos ...
brainly.in
LUMINOUS 700 VA with 2 Year Warranty Pure Sine Wave Inverter Price in ...
flipkart.com
Luminous Inverter & Battery Combo for Home, Shop & Office – Optimus ...
amazon.in
LUMINOUS 700 VA with 2 Year Warranty Pure Sine Wave Inverter Price in ...
flipkart.com
Let m and M be respectively the minimum and maximum values of |&cos2x&1 ...
tardigrade.in
2.Prove that(Sine - cos e)(Sine + cos 0)(Sine+cos 8)(Sino - cos e).(2 ...
brainly.in
Which of the following correctly represents graphicalrelation between ...
brainly.in
sin^2x + cos^2x + tan^2x - Brainly.in
brainly.in
Luminous Inverter & Battery Combo for Home, Shop & Office – Optimus ...
amazon.in
Lim x tends to 0 :{(e^x -1)loglimit X tends to zero x square by sin 2x ...
brainly.in
UTL 500 VA | 2X Fast Charging | Wall Mountable Design | 5 Yrs Warranty ...
flipkart.com
Find Grohe Bathroom & Kitchen Fittings Dealers in Sin七つの大罪サタン | Dealer ...
dealer.grohe.co.in
Luminous Inverter & Battery Combo for Home, Shop & Office – Optimus ...
amazon.in
Prove that(i) (1 + tanx - sec x)(1 + tan x + secx) = sin 2x-sec²x ...
brainly.in
Microtek UPS SW EB1100 Pure Sine Wave Inverter Pure Sine Wave Inverter ...
flipkart.com
Find the value of theta if 2 Sin 2 theta = root 3 find theta - Brainly.in
brainly.in
Luminous Inverter & Battery Combo for Home, Shop & Office – Optimus ...
amazon.in
The number of values of x in the interval ((π/4), (7 π/4)) for which 14 ...
tardigrade.in
Luminous Inverter & Battery Combo for Home, Shop & Office – Optimus ...
amazon.in
Luminous Inverter & Battery Combo for Home, Shop & Office – Optimus ...
amazon.in
Ifu= log(tanx+ tany+ tanz),then(sin 2x)ux+ (sin 2y)uy+ sin 2z)uzis ...
edurev.in
sin x /a=cos x/b prove a sine 2x+bcos2x=b - Brainly.in
brainly.in
integration of sin squared theta integration of sin square theta limit ...
brainly.in
பயிற்சி 4.1: சைன் சார்பு மற்றும் நேர்மாறு சைன் சார்பு (Sine Function ...
brainkart.in
if x = 30 degree without using tables verify that sin 2x = 2tanx/1+ tan ...
brainly.in
UTL 500 VA | 2X Fast Charging | Wall Mountable Design | 5 Yrs Warranty ...
flipkart.com
UTL Gamma Plus Li-on 1200 Pure Sine Wave MPPT Solar Inverter for Home ...
pricehistoryapp.com
Draw the graph of `f(x) = 2x+3x^(2//3)` and discuss the type of non ...
allen.in
prove (1+sin2x-cos2x)/(1+sin 2x+cos 2x) = tan x - Brainly.in
brainly.in
LUMINOUS OPTIMUS 2800+/24V Pure Sine Wave Inverter Price in India - Buy ...
flipkart.com
Prove that: tan(x+y)/cot(x-y) = sin^2x - sin^2y/cos^2x-sin^2y - Brainly.in
brainly.in
LUMINOUS Power Sine 800 Pure Sine Wave Inverter Price in India - Buy ...
flipkart.com
Convergence of secant method:
archive.nptel.ac.in
I am not asking for direct answers... 1. Find the limit as x approaches ...
brainly.in
Area enclosed between the curves y = sin 2 x , y = cos 2 x and y =0 in ...
tardigrade.in
LUMINOUS 900 VA Power Sine with 24 Months Warranty Pure Sine Wave ...
flipkart.com
I am not asking for direct answers... 1. Find the limit as x approaches ...
brainly.in
Luminous Inverter & Battery Combo for Home, Shop & Office – Optimus ...
amazon.in
Half-range series - Sine and Cosine series with Solved Example Problems ...
mech.poriyaan.in
If tan theta + 1/tan theta = 2 then find the value of tan^2theta + 1 ...
brainly.in
UTL Gamma Plus Li-on 1200 MPPT Inverter for Home Office & Shops Lithium ...
flipkart.com
Prove the following trigonometric identity[tex] \frac{(sec x + 1)}{(sec ...
brainly.in
WHIZZO 2X(ICL8038 DDS Signal Generator Module Sine Square Wave Output ...
amazon.in
Luminous Inverter & Battery Combo for Home, Shop & Office – Optimus ...
amazon.in
Cos x - cos x sin^2 x simplify using trig identities - Brainly.in
brainly.in
UTL 500 VA | 2X Fast Charging | Wall Mountable Design | 5 Yrs Warranty ...
flipkart.com
how it comes 1 - cos 2 x and then sin 2 x /2 - Brainly.in
brainly.in
UTL Gamma Plus Li-on 1200 MPPT Inverter for Home Office & Shops Lithium ...
flipkart.com
Related Searches
Sin 2X Graph
Cosine 2X
1 Sin2x
2 Sin X 1
Sin 2X Cos X
Sin 2X Formula
Sin 2X Identity
Sin Pi2
Sine 2X Graph
Trig Identity of Sin 2X
Cos 2X Double Angle
Sin X 2 Integral
Inverse Sine Function Graph
Sin2x Proof
Y Sin 2X Graph
Sin 2X Curve
Half-Angle Formula Sin 2 X
Sin 2Θ
Sin 2X Linear
Derivative of Sin Graph
Sin 2X All Formula
Trig Identities Cos Squared
Topologist's Sine Curve
Graph Sine and Cosine Functions
Compound Angle Formula
Tan Double Angle Formula
Sin2 Book
Sin^2 Graph
Sin 2X Double Angle Formula
Sin 2 X Cos 2 X 1
Sine Function Graph
Sin Pi Graph
Sine Function
Plot Sine 2X and Sin 3X
Sinx Sin2x
Sin2x Integral
Integral Sinx Cosx
Sin^2
Sin 2 Theta
Cosine Double Angle Identity
Trig Identities Sin 2X
Antiderivative of Sinx Cosx
Sinx/2
Graph of Sin2x
Simplify Sine/Cosine Tangent
Double Angle Tan 2X
Integral Sin 2X
Y Sin 2X
What Is Sin 2
Sin2 SVG
Search
×
Search
Loading...
No suggestions found