Find Your Style
Women
Men
Accessories
Search for clothing, brands, styles...
×
Women
Men
Accessories
Sinx 0 Solutions
Search
Loading...
No suggestions found
find principal solution of sinx=0 - Brainly.in
brainly.in
Class12 CBSE Maths Chapter Integration Board Questions
iqclasses.in
Trigonometry: Key Concepts, Graphs and FAQs
allen.in
Solutions of `sin^(-1)(sinx)=sinx" are if " x in (0,2pi)`
allen.in
sinx (cosx/4 - 2sinx ) + ( 1 + sinx/4 - 2cosx) cosx=0. find general ...
brainly.in
Class12 ISC Maths Chapter Integration Board Questions
iqclasses.in
1. Integration : limit 0 to pie/ 2 xsinxcosx / sin4 x + cos4 x dx 2 ...
brainly.in
what is solution of equation x=sinx - Brainly.in
brainly.in
Continuity - Definition, Theorem, Solved Example Problems ...
mech.poriyaan.in
The solution of the differential equation (sinx + cosx)dy +(cosx - sinx ...
brainly.in
Trigonometric Functions: Definition, Formula & Properties - Maths ...
aakash.ac.in
12. the particular solution of the equation y sinx y salistying the ...
scoop.eduncle.com
Continuity - Definition, Theorem, Solved Example Problems ...
mech.poriyaan.in
2sinxcosx=sinx find general solution - Brainly.in
brainly.in
Draw the graph of `y = sin x + cos x, x in [0, 2pi].`
allen.in
Find the number of solutions of `sinx=x/(10)`
allen.in
Sin x + sin 3x + sin 5x = 0 - Brainly.in
brainly.in
find the value of x of sinx =0 - Brainly.in
brainly.in
expand f(x)=xsinx as fourier series in (0,2π) - Brainly.in
brainly.in
General solution sinx+sin3x+sin5x : 0 - Brainly.in
brainly.in
The total number of solution of sin4x + cos4x = sinx cosx in [0, 2andpi ...
edurev.in
12) Prove that: tan-¹[cos x+sinx] /[cos x - sin x] = pi/2 = 0 + if 0 ...
brainly.in
dy/dx=e^sinx when x=0..y=1......for what value of x y=0 - Brainly.in
brainly.in
The principal solution of the equation sinx=1/2 will be - Brainly.in
brainly.in
Continuity - Definition, Theorem, Solved Example Problems ...
mech.poriyaan.in
Write the function in the simplest form: tan-1 (cos x - sin x /cos x ...
ask.learncbse.in
show that f(x).f(y) = f(x+y), where f(x) =[cos x -sin x 0 sin x cos x 0 ...
brainly.in
3x-√1+sinx=0 by the method of iteration - Brainly.in
brainly.in
Let f prime(x)=3 x2 sin (1/x)-x cos (1/x), if x ≠ 0 ; f(0)=0 and f(1 ...
tardigrade.in
SinX Calculator Source Code
vseducations.in
Class12 CBSE Maths Chapter Integration Board Questions
iqclasses.in
Sketch the region enclosed by y = sinx, y = cosx and X-axis in the ...
brainly.in
The equation sin x = (x - 1)2- 0.5 has (b) (a) no real roots one real ...
scoop.eduncle.com
11. the general solution of the differential equation + tany tanxcosx ...
scoop.eduncle.com
Find the nth derivative of x2 sinx - Brainly.in
brainly.in
Find the general solution of : 2(sinx - cos2x) - sin2x (1+2sinx) +2cosx ...
edurev.in
Draw the graph of `y=x-sinx`
allen.in
33. let u(x, t) be the solution of the initial value problem = 0, u(x ...
scoop.eduncle.com
Class12 CBSE Maths Chapter Integration Board Questions
iqclasses.in
18 the maximum value of u = sinx siny sin(x + y) is 10 the minimlum ...
scoop.eduncle.com
Find the derivative of (sinx+cosx) / (sinx-cosx) with respect to x ...
brainly.in
14. √1+Sin2xdx. Vx € 0, 1) Sin x-Cos x+C 3) Cos x-Sin x +C 2) Sinx ...
brainly.in
If tanx=5/12, then the value of sinx + cosx/sinx- cosx is : (a) -17/7 ...
brainly.in
find general solution of cosx-sinx=1 - Brainly.in
brainly.in
[Answered] Solve: cos x cos y dy + sin x sin y dx= 0 The answer give in ...
brainly.in
trigonometry table
openclasses.in
Let f(x)= begincasesx2+4 x, -3 ≤ x ≤ 0 - sin x, 0
tardigrade.in
Write the function in the simplest form: tan-1 (cos x - sin x /cos x ...
ask.learncbse.in
integrate {1/(sinx +cosx)} with limit from 0 to π/2 - Brainly.in
brainly.in
Show that 3tanx=2+Sinx has solution - Brainly.in
brainly.in
Solve this following
esaral.com
Question: The stationary point of the functionf(x,y) - sinx + siny ...
brainly.in
To plot the graph of sinx, sin2x, 2sinx and sinx/2 on the same ...
brainly.in
find integral of log(sinx + cosx) limit 0 to pie/4 ??.... - Brainly.in
brainly.in
Calculus: calculus
gateoverflow.in
integral of cos²x/sinx - Brainly.in
brainly.in
Derivative - Definition, Theorem, Solved Example Problems ...
mech.poriyaan.in
Prove that root 1+sinx/1-sinx+root 1-sinx/1+sinx=2secx - Brainly.in
brainly.in
Verify Rolle's thm for F(x) = (sinx/e^x) in [0,π] (answer step by step ...
brainly.in
if y=xsinx then prove that 1/y×dy/dx-1/x=cotx - Brainly.in
brainly.in
Solve the following equation k= 1+sinx/n - Brainly.in
brainly.in
Show that ∫(x→0,π/2)sin^2x/(sinx + cosx) = (1/√2)log ( √2+1) - Brainly.in
brainly.in
Find the solution of dy/dx=sin(x+y)+cos(x+y) - CBSE Class 12 - Learn ...
ask.learncbse.in
Statement of Fourier Integral Theorem - Sine and Cosine | Solved ...
mech.poriyaan.in
Y=sin(sinx) prove that d^2y/dx^2 + tanx dy/dx + y cos^2x=0 - Brainly.in
brainly.in
Simplify(1-sinx)(1+sinx)(1+tan square x) - Brainly.in
brainly.in
P.t sinx/1+sinx= tanx(secx+tanx) - Brainly.in
brainly.in
y = x to the power of sinx + (sinx) to the power of cosx Do this by ...
brainly.in
Integration π/3 to 0 cosx/3+4sinx.dx - Brainly.in
brainly.in
Find the values of a and b such that the following functions f, defined as
esaral.com
The function y=sinx is a solution of which differential equation ...
brainly.in
Let sinx+cosx=t, express sinxcosx in terms of t Find the range of sinx ...
brainly.in
Class12 ISC Maths Chapter I.T.F Board Questions Questions
iqclasses.in
solve sin3x + sin2x - sinx = 0 - Brainly.in
brainly.in
1. Graphs of sin x and 2 sin x are of same shape but the maximum height ...
brainly.in
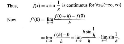
= Expand f(x) = x sinx, 0
brainly.in
If sinx +cosy=1 x=30°, y is acute angle find the value of y? - Brainly.in
brainly.in
solve integration of sinx÷√1+sinx dx - Brainly.in
brainly.in
sinx + cosx = 1/5 then tan2x is - Brainly.in
brainly.in
solve sin x+cos x=1/root2 - Brainly.in
brainly.in
general solution of the equation cosx-sinx =1/root 2 - Brainly.in
brainly.in
Continuity - Definition, Theorem, Solved Example Problems ...
mech.poriyaan.in
Trigonometry Table Formula, 0 to 360 PDF, Trigonometric Ratio & Chart
adda247.com
The equation 2 sinx/2cos^2 x - 2 sinx/2sin^2 x = cos^2 x - sin^2 x has ...
brainly.in
evalute integrate 0 to pi/2 cosx e power sinx dx - Brainly.in
brainly.in
Find the number of solution of log1/2 -sinx- = 2 andndash; log1/2 -cosx ...
edurev.in
lim tanx - sinx / x ( 1 - cos2x ) x - > 0 - Brainly.in
brainly.in
if sinx+sin^2x=1 then find cos^12x + 3cos^10x + 3cos^8x + cos^6x -1 ...
brainly.in
lim x->0 (e^x-e^sinx)/(x-sinx) solve by l'hospital rule - Brainly.in
brainly.in
Continuity - Definition, Theorem, Solved Example Problems ...
mech.poriyaan.in
Derivative - Definition, Theorem, Solved Example Problems ...
mech.poriyaan.in
Find the general solution of cosx+sinx =cos2x + sin2x - Brainly.in
brainly.in
Continuity - Definition, Theorem, Solved Example Problems ...
mech.poriyaan.in
Q.1 (2xy sin x)dx + (x- cos y)dy= 0. q.2 (1+ 2x/- y2) dx -2y x2- y2dy ...
scoop.eduncle.com
principal solution of sinX= -1/root2 - Brainly.in
brainly.in
Number of solutions of y=ex and y= sin x is - Tardigrade
tardigrade.in
The range of sinx and cosx is Plzz tell the correct answer it's urgent ...
brainly.in
Solve(1 - sin2x) (cosx - sinx) = 1 - 2sin2x. - Brainly.in
brainly.in
Class12 ISC Maths Chapter Integration Board Questions
iqclasses.in
If Sinx:Cosx = square root 3: 1 find sinx and cosx Solve correct to be ...
brainly.in
if cot x equal to minus 3 by 5 x in 2 quadrant then find sinx by 2 cos ...
brainly.in
Sinx +sin3x+sin5x+sin7x=4cosxcos2xsin4x - Brainly.in
brainly.in
Solve this following
esaral.com
Solve this following
esaral.com
Prove that lim x->0 sin x / x = 1. - Brainly.in
brainly.in
P.t sinx/1+sinx= tanx(secx+tanx) - Brainly.in
brainly.in
Let S be the set of all points in ( - π , π) at which the function, f(x ...
tardigrade.in
please solve this mods/stars‼️Let f'(sinx) 0∀x∈(0, π/2) and g(x)=f(sinx ...
brainly.in
View question - What are the solutions to the trigonometric equation on ...
web2.0calc.com
show that secx + tanc =under root 1+sinx/1-sinx - Brainly.in
brainly.in
if y = sinx and z =cosx ,then dy/dz is equal to :a) -cosecx cosxb) π ...
brainly.in
Lim sin(2x)/sinx + tan (3x)/tanx is x-->0 - Brainly.in
brainly.in
Evaluate integral (cosx - sinx)/ (cosx sinx) 1 sin2x - Brainly.in
brainly.in
integrate cosx/(1-sinx)(2-sinx) dx - Brainly.in
brainly.in
prove that (sinx+cosx)/(sinx-cosx) + (sinx-cosx)/(sinx+cosx)=2/(sin2x ...
brainly.in
(1+sin x - cos x/ 1+sinx+cos) + ( 1+sin x+ cos x/1+sinx-cosx) = 2cosecx ...
brainly.in
Statement of Fourier Integral Theorem - Sine and Cosine | Solved ...
mech.poriyaan.in
If sinx(1 + cosx) + sinx(1 - cosx) k then the value of k ? - Brainly.in
brainly.in
integrate of (1/sinx+root 3cosx)dx - Brainly.in
brainly.in
derivative of tan^-1[cosx+sinx/cosx-sinx] - Brainly.in
brainly.in
Related Searches
1/Sinx Graph
1 Sinx Equals
Sin(X)/X Limit
Integral X Sinx
X Sinx Derivative
Sin X Sin 2X
When Sinx Is 0
Sinx Formula
Nghiệm Của Sinx 0
Sinx 30
Sinx Siny
Sinx Values
How to Solve Sinx 0
Cos 2 0
Sinx Cosy
Y=Sinx Graph
Sinx 0 General Solution
Sinx Interval
Find Sin X
Sin N X
Integral of Ln Sinx
Tan 0
Sin0
Cos X 积分
Area of Sinx From 0 to 2Pi
Sinx Rules
Sinx Bằng 0 Khi Nào
Coxsinx
Sin X or Y
Greatest Integer Function of Sinx
Sinx Linearization
ௗ ௗ௫ X − Sinx
Sinx Sin2x
Limit of Sin(X)/X
Cos0
Y X Sinx
2X Sinx
Int Cosx
Sin Pix
1 Sinx 2
Sin1
Sin2x
Sinx Cos2x
What Is Sin 0
Sin3x
X Sinx Integration
2Cosx Sinx
1 Sinx Trig Identity
When Does Cos Equal 0
Integral of Sin Cos
Search
×
Search
Loading...
No suggestions found