Find Your Style
Women
Men
Accessories
Search for clothing, brands, styles...
×
Women
Men
Accessories
Sinx 2 Graph
Search
Loading...
No suggestions found
INR to ALL Currency Exchange Rate Chart | Wise
wise.com
WPL: Mandhana, Sciver-Brunt, Gardner retained for INR 3.5 crore ...
espn.in
Trigonometry: Key Concepts, Graphs and FAQs
allen.in
To plot the graph of sinx, sin2x, 2sinx and sinx/2 on the same ...
brainly.in
To plot the graph of sinx, sin2x, 2sinx and sinx/2 on the same ...
brainly.in
plot the graph of Sin x,sin 2x,2 sinx and sin x/2 using coordinating ...
brainly.in
Trigonometric Functions: Definition, Formula & Properties - Maths ...
aakash.ac.in
1. Graphs of sin x and 2 sin x are of same shape but the maximum height ...
brainly.in
trigonometry table
openclasses.in
1.draw the graph of sin inverse x and cos inverse x using the graph of ...
brainly.in
1.draw the graph of sin inverse x and cos inverse x using the graph of ...
brainly.in
4). Draw the graphs of sinx, cosx, tanx, cosecx, secx, and cotx. Write ...
brainly.in
Draw a graph for -sinx? - Brainly.in
brainly.in
1. Graphs of sin x and 2 sin x are of same shape but the maximum height ...
brainly.in
draw the graph of sin inverse x using the graph of sin x demonstrate ...
brainly.in
graph of trigonometric function sinx cos x tan x on the same ...
brainly.in
Illustrate with the help of a model, the values of sine and cosine ...
brainly.in
sinx graph.......... - Brainly.in
brainly.in
Sketch the graph of y=sinx in the interval ( 0,2 ) and write any five ...
brainly.in
Draw the graph of `[y] = cos x, x in [0, 2pi],` where `[*]` denotes the ...
allen.in
graph in sinx cosx and tanx - Brainly.in
brainly.in
Sinx/x graph
scoop.eduncle.com
graphs of sinx and 2sinx are of same shape but maximumheight of the ...
brainly.in
Class12 ISC Maths Chapter Integration Board Questions
iqclasses.in
Important Definitions and Formulas: Introduction to Trigonometry ...
edurev.in
Sinx/x graph
scoop.eduncle.com
Draw the graph of sinx,cosx,tanx,cotx,cosecx and secx . write their ...
brainly.in
From the curve y = sinx, graph the functions (i) y = sin(−x) (ii) y = − ...
brainly.in
A ray of light is incident on a medium with angle of incidence and ...
brainly.in
Sinx/x graph
scoop.eduncle.com
Draw the graph of sin x at [pi/2, -pi/2]. No spammers please. - Brainly.in
brainly.in
draw graph of sin 3x in interval [0,2pi] - Brainly.in
brainly.in
graphs of sinx and 2sinx are of same shape but maximumheight of the ...
brainly.in
From the curve y = sinx, graph the functions (i) y = sin(−x) (ii) y = − ...
brainly.in
graphs of sinx and 2sinx are of same shape but maximumheight of the ...
brainly.in
From the curve y = sinx, graph the functions (i) y = sin(−x) (ii) y = − ...
brainly.in
2 sin x/ 2 =1 find the value of x - Brainly.in
brainly.in
cos jeans mens
bhaderwahcampus.in
From the curve y = sinx, graph the functions (i) y = sin(−x) (ii) y = − ...
brainly.in
From ₹3.30 To ₹83.94/USD: The Indian Rupee’s Evolution From ...
freepressjournal.in
Trigonometry Table Formula, 0 to 360 PDF, Trigonometric Ratio & Chart
adda247.com
1.draw the graph of sin inverse x and cos inverse x using the graph of ...
brainly.in
Evaluate: Integrate Sin x/ root 1+sinx - Brainly.in
brainly.in
Differentiate log(1-sinx/1+sinx)^1/2 w.r.t. x - CBSE Class 12 - Learn ...
ask.learncbse.in
e^x cos x^2sin x differentiate the following functions w.r.t.x - Brainly.in
brainly.in
Graph Of Trigonometric Function y = Sin x and y = Cos x Video Lecture ...
edurev.in
what is the expansion of sinx - Brainly.in
brainly.in
Draw the graph of sinx,cosx,tanx,cotx,cosecx and secx . write their ...
brainly.in
1.draw the graph of sin inverse x and cos inverse x using the graph of ...
brainly.in
INTEGRATE Sin(3x/2)÷sin (x/2) limit varying from 90° to 180° with ...
ask.learncbse.in
Order Of Reaction : Zero Order And First Order | Science Vision
sciencevision.in
Draw the graph of y = sin -¹x (or any other inversetrigonometric ...
brainly.in
d/dx√xsinx=....... 0
brainly.in
Find the values of sin x/2, cos x/2and tan x/2 .if tanx = 5/12 and x ...
brainly.in
sin x/ 1 + cos x = tan X /2 - Brainly.in
brainly.in
SinX Calculator Source Code
vseducations.in
Sinx/x graph
scoop.eduncle.com
What is a Graph? - Maths - Twinkl
twinkl.co.in
integrate with the limits √ln2 to √ln3 x*sinx^2/sinx^2+sin(ln6-x^2) dx ...
brainly.in
if y=(sinx)cosx+(cosx)sinx find dy/dx - Brainly.in
brainly.in
Solved: Match the function (a) with its graph (labeled A— F below and ...
gauthmath.com
(sin 7x + sin x)/(cos 5x - cos 3x) = sin 2x - cos 2x * cot xprove the ...
brainly.in
Find derivative of this equation 1/(x^3+sinx)^2 - Brainly.in
brainly.in
Secx-1 /secx+1=sinx^2/(1+cosx)^2 prove - Brainly.in
brainly.in
7. Draw the graphs of sin x, sin 2x, 2 sin x, and sin x/2 on the same ...
brainly.in
If x=r sin theta cos alpha ,y= r sin theta sin alpha and z = r cos ...
brainly.in
Gold Rate History in India | Gold Price History in India
cleartax.in
12. the particular solution of the equation y sinx y salistying the ...
scoop.eduncle.com
A cell of emf 'E' and internal resistance 'r' is connected across a ...
brainly.in
To plot the graph of sinx, sin2x, 2sinx and sinx/2 on the same ...
brainly.in
Shopify Analytics and Reporting Dashboards - Shopify India
shopify.com
If 3(1+sinx) _> 1 + cos2x, X belongs to [0 to pi] Then the number of ...
brainly.in
If 2sinx/1+Cosx+sinx =p then 1-cosx +sinx/1+sinx - Brainly.in
brainly.in
If tanx=5/12, then the value of sinx + cosx/sinx- cosx is : (a) -17/7 ...
brainly.in
The maximum value of the function y= sinx+cosx is - Brainly.in
brainly.in
Find the maximum value of the following.(1) 5 sin x + 12 cos x(ii) 24 ...
brainly.in
what is sin i / sin r - Brainly.in
brainly.in
sin x /cot x + cosec x = 2+ sinx / cot x - cosec x - Brainly.in
brainly.in
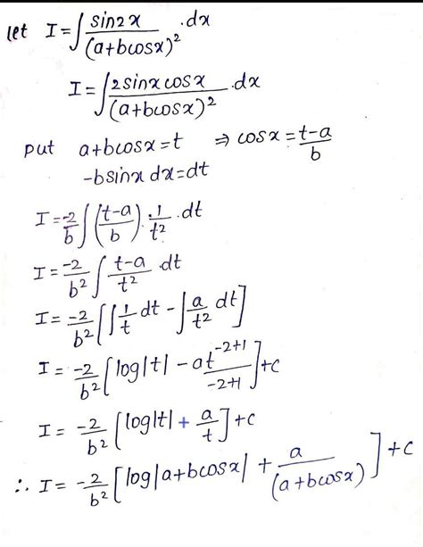
integrate sin 2x/(a-b sinx)^2 - Brainly.in
brainly.in
integration of ln (2-sinx/2+sinx)dx from -pi/2 to+pi/2 - Brainly.in
brainly.in
Find the minimum value of sinx cosx ? - Brainly.in
brainly.in
draw the graph of sinx +cosx, 0≤x≤2π - Brainly.in
brainly.in
The area bounded by the curve y = cos x, the line joining (- π/4, cos ...
tardigrade.in
Sin x=root 5/3 and pi/2 greater than x greater than pi, find the value ...
brainly.in
Integrate Sin x + cos x/9 + 16 sin 2x - CBSE Class 12 - Learn CBSE Forum
ask.learncbse.in
Topic 7,complex,2nd year - Separate into real and imaginary parts of ...
studocu.com
Find the value of constant a and b for which sinx cosx (5 tanx + 2 cotx ...
brainly.in
Find the general solution of : 2(sinx - cos2x) - sin2x (1+2sinx) +2cosx ...
edurev.in
Draw the graph of sinx,cosx,tanx,cotx,cosecx and secx . write their ...
brainly.in
How do you verify experimentally that sin i/sin r is a constant ...
brainly.in
To plot the graph of sinx, sin2x, 2sinx and sinx/2 on the same ...
brainly.in
find general solution - Brainly.in
brainly.in
(cosx+cosy)^2 + ( sinx-siny)^2=? - Brainly.in
brainly.in
Draw a graph for -sinx? - Brainly.in
brainly.in
y=cos(sinx^2),then at x=√π/2,dy/dx = - Brainly.in
brainly.in
Draw radial probability distribution curves for 3s and 4d orbitals ...
brainly.in
Sinc= root5/3 and pi/2 greater than x, find the value of sin x /2 ...
brainly.in
1+sin 2x + cos 2x/cos x + sin x=2 cos x - Brainly.in
brainly.in
How Gold Prices Have Moved In India In The Last 10 Years? - Goodreturns
goodreturns.in
Find maximum and minimum values of following (3 + (sinx – 2)^{2} [/tex ...
brainly.in
View question - sinx=2/3
web2.0calc.com
The equation sin x = (x - 1)2- 0.5 has (b) (a) no real roots one real ...
scoop.eduncle.com
what is the reflection of the graph of the function y= sinx along the ...
brainly.in
Graph of IsinxI/sinx plzz ans fast............ - Brainly.in
brainly.in
Sinx.cosy+siny cosx÷sinx.cosy-cosx - Brainly.in
brainly.in
y = sinx logx + e power x cosx - e power x underroot x. Differentiate ...
brainly.in
Should You Invest in Silver in 2025? | FinEdge
finedge.in
Sinc= root5/3 and pi/2 greater than x, find the value of sin x /2 ...
brainly.in
If sinx + siny = 3/4 and sinx-siny = 2/5, then {tan[(x - y)/2]}/{tan[(x ...
brainly.in
If x=r sin theta cos phi,y=r sin theta sin phi,z=r cos theta,then prove ...
brainly.in
If Sin x=-1/2 and x lies in quadrant 4,find the values of (1) Sin x/2 ...
brainly.in
what is the formula of Sin theta - Brainly.in
brainly.in
How the Indian rupee got burnt by the coal?
projectguru.in
Electric field variation with distance r from centre of a non ...
brainly.in
Calculus: GO Classes CS Test Series 2025 | MOCK GATE | Test 9 ...
gateoverflow.in
prove that (sinx+cosx)/(sinx-cosx) + (sinx-cosx)/(sinx+cosx)=2/(sin2x ...
brainly.in
√1-sinx/1+sinx=secx - tanx - Brainly.in
brainly.in
1+sinx-cosx/1+sinx+cosx+1+sinx+cosx/1+sinx-cosx = 2cosecx prove it ...
brainly.in
for what value of acute angle cosx/1-sinx+cosx/1+sinx=4 is true ...
brainly.in
write the formula for the area of a segment in a circle, a circle of ...
brainly.in
Related Searches
X Sin X Graph
Sinx X Graph
Y Sin2x Graph
Y 2 Sin X Graph
Sin Pi 2 Graph
Graph Sin X Function
Sin Square X Graph
2 Sine X Graph
2Sinx Graph
2 Cos X Graph
X 2 Graph Line
1/Sinx Graph
Sin3x Graph
Arccos X Graph
Cos vs Sine Graph
Cosine Graph Radians
3 Sin X Graph
Y Sin 2X
Sine Graph Formula
Graph of Sin Inverse X
Sin Graph Maths
Sin Squared Graph
Arcsin X Graph
Inverse Tangent Function Graph
Sin Graph Amplitude
Negative Sin Graph
Graph of Xsinx
Sine Curve Graph
Sin Graph Equation
Graphing Sin
Sine2x Graph
Unit Circle Sine Graph
Tan in Sin and Cos
Graph PF Sin
Arc Sine Graph
Ln X 2 Graph
Sin 2 X Graph Labeled
Cosh X Graph
Y 2Sinx Graph
Graph of 2 Sinx
Sin1 Graph
Sin 2X
Graph of Sin Squared X
Sin X Graf
Sin4x Graph
Graph of Y Cos2x
Derivative of Sin Graph
Y Sin Theta Graph
Y Inx Graph
The Graph of Sin X
Search
×
Search
Loading...
No suggestions found