Find Your Style
Women
Men
Accessories
Search for clothing, brands, styles...
×
Women
Men
Accessories
Snia Spectrograph
Search
Loading...
No suggestions found
Top 10 Countries Where INR Has the Highest Value in 2025
currentaffairs.adda247.com
INR Full Form: What is full form of INR?
bankersadda.com
Sonia Ahuja INR 1,000 Gift Card
soniaahuja.com
Single-Particle Analysis of Atmospheric Aerosols: Applications of Raman ...
mdpi.com
Solar EruptioN Integral Field Spectrograph, Latest News
vajiramandravi.com
Design Simulation and Data Analysis of an Optical Spectrometer
mdpi.com
Design Simulation and Data Analysis of an Optical Spectrometer
mdpi.com
Q Exactive Plus Hybrid Quadrupole-Orbitrap Mass Spectrometer - Analysis
analysisdoo.com
PARAS-2 Spectrograph, Objective
vajiramandravi.com
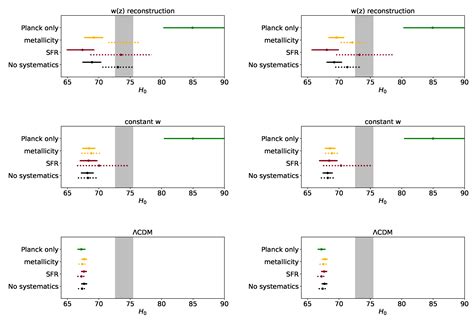
CMB Tensions with Low-Redshift H0 and S8 Measurements: Impact of a ...
mdpi.com
Design Simulation and Data Analysis of an Optical Spectrometer
mdpi.com
Welcome to Central Institute of Medicinal and Aromatic Plants (CSIR ...
cimap.res.in
Samsung Improve KV Spec with SSD Prototype - EE Times India
eetindia.co.in
Manufacturer of Visible Spectrophotometers & Uv Visible ...
systronicsindia.co.in
TSQ Altis Plus Triple Quadrupole Mass Spectrometer - Analysis
analysisdoo.com
ISQ EC Single Quadrupole Mass Spectrometer - Analysis
analysisdoo.com
Stainless Steel Flanges Manufacturer and Supplier In India
duplexsteelalloys.com
Welcome to Central Institute of Medicinal and Aromatic Plants (CSIR ...
cimap.res.in
Differential Electrochemical Mass Spectrometer (DEMS) | Official ...
jncasr.ac.in
UV-Vis Spectrophotometer
crnts.iitb.ac.in
TSQ Altis Plus Triple Quadrupole Mass Spectrometer - Analysis
analysisdoo.com
Top Detectors,Spectrometer,Light Source Products in Bangalore at best ...
comtekscientific.in
Modernized Solar Radio Spectrograph in the L Band Based on Software ...
mdpi.com
Optical Spectrometer
barc.gov.in
Virtual Labs
ssp-iiith.vlabs.ac.in
SPECTROMETER 6" : Amazon.in: Industrial & Scientific
amazon.in
High Energy X-Ray Spectrometer
prl.res.in
Top Detectors,Spectrometer,Light Source Products in Bangalore at best ...
comtekscientific.in
Gamma Radiation Survey Meter Trader - Retailer | Radcomm Systems Corp ...
radcommsystems.in
Modernized Solar Radio Spectrograph in the L Band Based on Software ...
mdpi.com
Electrochemical Impedance Spectroscopy (EIS) Explanation of Single ...
mdpi.com
A Novel Method to Directly Analyze Dissolved Acetic Acid in Transformer ...
mdpi.com
Modernized Solar Radio Spectrograph in the L Band Based on Software ...
mdpi.com
Buy CGOLDENWALL Visible Spectrophotometer 722N Laboratory Spectrometer ...
desertcart.in
Mount Abu Observatory
prl.res.in
Quadrupole Mass Spectrometer
barc.gov.in
Maya 2000 Pro Spectrometer - Ocean Insight - PDF Catalogs | Technical ...
pdf.directindustry.com
Top Detectors,Spectrometer,Light Source Products in Bangalore at best ...
comtekscientific.in
Products | COMTEK ISO9001:2015 & CE Certifi, India
comtekscientific.in
PRL Scientists Discovered a Dense Sub-Saturn Using PARAS-2 Spectrograph ...
isro.gov.in
Spectrum Resort, Spa & Convention - Venue - Udaipur City - Weddingwire.in
weddingwire.in
LAGO EX SNIA (2025) All You Need to Know BEFORE You Go (with Photos ...
tripadvisor.in
India shining: Rupee inches closer to becoming international currency ...
timesnownews.com
Discover 50 years of Raman innovation by HORIBA
horiba.com
Dectectors and Sensors Manufacturer | New Age Instruments & Materials ...
newageins.in
QUADRUPOLE MASS SPECTROMETER
barc.gov.in
Top Detectors,Spectrometer,Light Source Products in Bangalore at best ...
comtekscientific.in
Spectrophotometers
labmart.in
Bridge12 Unveils Compact EPR Spectrometer
smestreet.in
Buy UV-Vis Spectrophotometer N4S Spectrometer Light Meter Laboratory ...
desertcart.in
Forensics-Depatment of Home
dfs.hp.gov.in
Omni Series Monochromator / Spectrograph
research-india.co.in
Optical spectrometer - SparkCCD 6000 - NCS Testing Technology Co., Ltd ...
directindustry.com
UV/VIS Spectrometer - UV 3200S / 6100S Series
aczet.in
Instruments at KSO - Indian Institute of Astrophysics
iiap.res.in
Used Baxit Spectrometers for sale in Shanghai, China | Machinio
machinio.com
XRF
iitr.ac.in
Forensics-Depatment of Home
dfs.hp.gov.in
High Energy X-Ray Spectrometer
prl.res.in
Sonia Ahuja: Unveiling Elegance in Every Stitch
soniaahuja.com
Forensics-Depatment of Home
dfs.hp.gov.in
Omni Series Monochromator / Spectrograph
research-india.co.in
International Trade Settlement in Indian Rupee (INR)
taxguru.in
Omni Series Monochromator / Spectrograph
research-india.co.in
Forensics-Depatment of Home
dfs.hp.gov.in
Spectrum TV – Apps on Google Play
play.google.com
International Trade Settlement in Indian Rupee (INR)
taxguru.in
EXM500-L Online Gas Analyser - HORIBA
horiba.com
Forensics-Depatment of Home
dfs.hp.gov.in
Forensics-Depatment of Home
dfs.hp.gov.in
Forensics-Depatment of Home
dfs.hp.gov.in
Alpha Particle X-ray Spectrometer
prl.res.in
USD/INR Cracks Big: Falls 2% in 4 Days! | Investing.com India
in.investing.com
H30-UVL Vacuum Spectrometer: Monograph for far and extreme ultraviolet ...
horiba.com
Alpha Particle X-ray Spectrometer
prl.res.in
Alpha Particle X-ray Spectrometer
prl.res.in
Alpha Particle X-ray Spectrometer
prl.res.in
Forensics-Depatment of Home
dfs.hp.gov.in
Leading the Way in Autism Spectrum Disorder (ASD) Treatment in New Delhi
ashaspeechhearingclinic.com
Spectrometer - PHOTIK SCIENTIFIC PVT. LTD. -Technology is the future
photik.in
Indigenously developed "Spectrograph" commissioned in Nainital
currentaffairs.adda247.com
Top Detectors,Spectrometer,Light Source Products in Bangalore at best ...
comtekscientific.in
Next tranche of Bharat Bond ETF opens tomorrow: 10 things on NFO | Mint
livemint.com
Explain the difference between emission and absorption spectra ...
brainly.in
Buy Diamond Necklace Online | Diamond Set Online Manubhai Jewellers
manubhai.in
Optical Spectrometer
barc.gov.in
High Energy X-Ray Spectrometer
prl.res.in
Spectrograph Design Fundamentals eBook : James, John: Amazon.in: Kindle ...
amazon.in
Sri Lanka and Russia in talks to use the rupee in foreign trade
currentaffairs.adda247.com
Indonesian Rupiah - Buy IDR Currency Online in India
makemytrip.com
Gold Necklace Set with Price | Buy Gold Necklace Set Online
manubhai.in
Indian Financial System, 5e by H R Machiraju
vikaspublishing.com
Sonia Ahuja: Unveiling Elegance in Every Stitch
soniaahuja.com
Instruments at KSO - Indian Institute of Astrophysics
iiap.res.in
Solar X-Ray monitor
prl.res.in
Buy Diamond Necklace Online | Diamond Set Online Manubhai Jewellers
manubhai.in
Spectrum Infrastructure | company has achieved a remarkable progress in ...
spectruminfrastructure.in
International Trade Settlement in Indian Rupee (INR)
taxguru.in
Spectrum Community Solutions
jobs.spectrum.com
Collections
svbventures.in
93 Years Ago Today, Sir CV Raman Changed How Indian Science Was Perceived
indiatimes.com
Maya 2000 Pro Spectrometer - Ocean Insight - PDF Catalogs | Technical ...
pdf.directindustry.com
RRCAT: Raja Ramanna Centre for Advanced Technology, Indore
rrcat.gov.in
Forensics-Depatment of Home
dfs.hp.gov.in
Modernized Solar Radio Spectrograph in the L Band Based on Software ...
mdpi.com
Buy Gold Set Online | Gold Set by Manubhai.
manubhai.in
**Page Title:** "Top 10 Saree Trends Every Woman Must Know in 2024 ...
sanjarcreation.com
GM Counter
csparkresearch.in
Toggle navigation
episteme10.hbcse.tifr.res.in
D-sat | Didactic Systems and Technology
dsat.me
Gold Necklace Set with Price | Buy Gold Necklace Set Online
manubhai.in
Ayat Silver Nosepins
wizzowl.com
Spectragraph?Spectroscopy?Fluorescence Spectrophotometer?Raman ...
research-india.co.in
Stand out navy blue corset top – Kostume County
kostumecounty.com
Light Weight & Daily Wear Gold Necklace Set Designs (2025) | Buy Gold ...
manubhai.in
Mangalyaan-2 mission: How ISRO’s 1st Mars mission will help the new ...
tech.hindustantimes.com
Double Monochromators/Spectrographs_Researc India
research-india.co.in
Laser Raman Imaging Spectrometer | IITBombay
rnd.iitb.ac.in
Portable Fluorescence Spectrometer | optishop
optishop.in
Coagulation Analyzer - Micropoint Q3 Pro Electrometer PT-INR Trader ...
r2healthcare.in
Related Searches
SNIA Logo
SNIA Paru
Green Storage
SNIA Form
SNIA Danta
Ex SNIA Viscosa
Object Storage
SNIA Dane
Lago Roma Ex SNIA
Phillips Relation SNIA
Planivolumetrico Pavia SNIA
Spring Security Logo
SNIA Scantlebury
Ashar Baig Chair of SNIA
SNIA Factory Varedo
Piaget Sonia
Press Conference Clip Art
Flash Memory Summit
SNIA Raid
SNIA SCSA Architect Logo
Lago Ex SNIA
Wayne Adams SNIA
11 Wrze SNIA
Storia SNIA Viscosa
SNIA Viscosa Poster
NetApp Logo
Ex Area SNIA Varedo
SNIA Viscosa Linital
SNIA Green Storage TWG
SNIA 3150
Solid State Storage Examples
SNIA Gm3 Powder
Storage Organization SNIA 128GB
SNIA Throughput NVMe Graph
SNIA Cerftified Storage Architect
Falda Regionale per Ex SNIA Map
SNIA NVMe SSD Classification Table
Kenichi Wada SNIA Japan
It Storage Model
Parco SNIA Viscosa
Scia Logo
E1H Thermal Record SNIA PCIe
Shoaimalik an SNIA Mrzalet NES
SNIA NVMe SSD
Radice Roberto Villaggio SNIA
Networking Storage
SNIA Architect Logo
Stabilimento SNIA Di Castellaccio
SNI Vector
Flash Memory
Search
×
Search
Loading...
No suggestions found