Find Your Style
Women
Men
Accessories
Search for clothing, brands, styles...
×
Women
Men
Accessories
Springleaf Blaster Blaster
Search
Loading...
No suggestions found
Buy Nerf Alpha Strike Flyte CS-10 Blaster from Nerf at just INR 2499.0 ...
babyshop.in
Buy Nerf Alpha Strike Mantis LR-1 Dart Blaster from Nerf at just INR 1499.0
babyshop.in
Buy Gel Blaster Products Online at Best Prices in India | Ubuy
ubuy.co.in
Buy POOL BLASTER Leaf Vac Recharge Cordless Rechargeable Pool Leaf ...
ubuy.co.in
Buy एडवेंचर फोर्स टैक्टिकल स्ट्राइक लिबरेटर स्प्रिंग-पावर्ड पंप एक्शन ...
ubuy.co.in
Buy Gel Blaster Products Online at Best Prices in India | Ubuy
ubuy.co.in
Buy Gel Blaster Products Online at Best Prices in India | Ubuy
ubuy.co.in
Buy Gel Blaster Products Online at Best Prices in India | Ubuy
ubuy.co.in
Buy POOL BLASTER Leaf Vac Recharge Cordless Rechargeable Pool Leaf ...
ubuy.co.in
Nerf Pro Gelfire Legion Spring Action Blaster, 5000 Gelfire Rounds, 130 ...
amazon.in
Nerf Hyper Impulse-40 Blaster, 30 Nerf Hyper Rounds, Spring-Open ...
hamleys.in
Nerf Hyper Impulse-40 Blaster, 30 Nerf Hyper Rounds, Spring-Open ...
hamleys.in
Buy Splatter Ball Blaster Spring-Driving, Gel Ball Blaster with Two ...
ubuy.co.in
Buy Gel Blaster Products Online at Best Prices in India | Ubuy
ubuy.co.in
Buy Adventure Force Tactical Strike Deuce Pro Ultimate Dart Blaster ...
ubuy.co.in
Buy Spring Spacer For Dart Zone Max Stryker Pro Blaster 25+FPS Power ...
ubuy.co.in
NERF Rival Kronos XVIII-500 Blaster, Breech-Load, 5 Rival Rounds ...
desertcart.in
Nerf Hyper Impulse-40 Blaster, 30 Nerf Hyper Rounds, Spring-Open ...
hamleys.in
Nerf Hyper Impulse-40 Blaster, 30 Nerf Hyper Rounds, Spring-Open ...
hamleys.in
NERF Rival Kronos XVIII-500 Blaster, Breech-Load, 5 Rival Rounds ...
desertcart.in
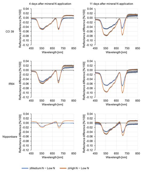
Assessing Interactions between Nitrogen Supply and Leaf Blast in Rice ...
mdpi.com
Buy Gel Blaster Products Online at Best Prices in India | Ubuy
ubuy.co.in
Holi celebration: The ultimate guide to throwing an epic Holi party
lifestyleasia.com
Buy CHIENTUNG Electric Uzi Gel Ball Blaster - Automatic Water Bead ...
ubuy.co.in
Buy Splatter Ball Blaster Toy Electric Gel Ball Blaster with 25000 ...
ubuy.co.in
Pool Blaster Battery Powered Leaf Vacuum and Intex India | Ubuy
ubuy.co.in
Pool Blaster Battery Powered Leaf Vacuum and Intex India | Ubuy
ubuy.co.in
Buy NERF Fortnite GL Rocket-Firing Blaster -- 6-Rocket Drum, Pump-to ...
ubuy.co.in
Pool Blaster Battery Powered Leaf Vacuum and Intex India | Ubuy
ubuy.co.in
Buy 2022 Leaf Hall of Fame Blaster Box Online | Ubuy India
ubuy.co.in
Buy Gel Blaster Products Online at Best Prices in India | Ubuy
ubuy.co.in
Buy Gel Blaster Products Online at Best Prices in India | Ubuy
ubuy.co.in
Buy Gel Blaster Products Online at Best Prices in India | Ubuy
ubuy.co.in
Buy Gel Blaster Products Online at Best Prices in India | Ubuy
ubuy.co.in
Buy Gel Blaster Products Online at Best Prices in India | Ubuy
ubuy.co.in
Buy POOL BLASTER Leaf Vac Recharge Cordless Rechargeable Pool Leaf ...
ubuy.co.in
Buy Gel Blaster Products Online at Best Prices in India | Ubuy
ubuy.co.in
Buy Gel Blaster Products Online at Best Prices in India | Ubuy
ubuy.co.in
Buy Gel Blaster Products Online at Best Prices in India | Ubuy
ubuy.co.in
Buy Gel Blaster Products Online at Best Prices in India | Ubuy
ubuy.co.in
Buy Gel Blaster Products Online at Best Prices in India | Ubuy
ubuy.co.in
Buy Game Face GFTBR Trion Competition-Level Spring-Powered Foam Dart ...
ubuy.co.in
Buy Gel Blaster Products Online at Best Prices in India | Ubuy
ubuy.co.in
Buy Gel Blaster Products Online at Best Prices in India | Ubuy
ubuy.co.in
Nerf Hyper Impulse-40 Blaster, 40-Rounds Capacity, Spring-Open Reload ...
pricehistoryapp.com
Jual SPRING UPGRADE XTR GOLD PREMIUM VSR 10 PRO BLASTER - Kab. Jember ...
tokopedia.com
Shop Nerf Rival Finisher XX-700 Blaster Toy Gun -- Quick-Load Magazine ...
hamleys.in
DART ZONE Pro-Series MK-2.1 Foam Blaster – 150 FPS Gun for Adults ...
amazon.in
Buy Gel Blaster Products Online at Best Prices in India | Ubuy
ubuy.co.in
Buy Electric Gel Ball Blaster Toy, Eco-Friendly Splatter Ball Blaster ...
ubuy.co.in
Buy Gel Blaster Products Online at Best Prices in India | Ubuy
ubuy.co.in
Buy Gel Blaster Products Online at Best Prices in India | Ubuy
ubuy.co.in
Buy Nerf Ultra Scream Machine Motorized Blaster, 12 Nerf Darts, Walmart ...
ubuy.co.in
KVK, Cachar:Common Issues
kvkcachar.aau.ac.in
Assessing Interactions between Nitrogen Supply and Leaf Blast in Rice ...
mdpi.com
Assessing Interactions between Nitrogen Supply and Leaf Blast in Rice ...
mdpi.com
Buy Gel Blaster Products Online at Best Prices in India | Ubuy
ubuy.co.in
Assessing Interactions between Nitrogen Supply and Leaf Blast in Rice ...
mdpi.com
Assessing Interactions between Nitrogen Supply and Leaf Blast in Rice ...
mdpi.com
Buy Gel Blaster Products Online at Best Prices in India | Ubuy
ubuy.co.in
Buy CHIENTUNG Electric Uzi Gel Ball Blaster - Automatic Water Bead ...
ubuy.co.in
Home Page of RB-Pred
webs.iiitd.edu.in
Buy Worker MOD 1.8mm Wire Spring Coil Upgrade Kit for Swift Blaster Toy ...
ubuy.co.in
Buy POOL BLASTER Leaf Vac Recharge Cordless Rechargeable Pool Leaf ...
ubuy.co.in
Buy Ritofy Gel Blaster Gun - Electric Gel Ball Blaster - Automatic ...
ubuy.co.in
Buy Gel Blaster Products Online at Best Prices in India | Ubuy
ubuy.co.in
Buy POOL BLASTER Genuine Replacement All-Purpose Filter Bag for Leaf ...
ubuy.co.in
Buy YaGee Electric Gel Ball Blaster, Water Bead Blaster in Backyard Fun ...
ubuy.co.in
Buy Nerf Pro Gelfire X MrBeast Blaster, 1600 Gelfire Rounds, 300 Round ...
desertcart.in
Pool Blaster Battery Powered Leaf Vacuum and Intex India | Ubuy
ubuy.co.in
Buy Gel Blaster Products Online at Best Prices in India | Ubuy
ubuy.co.in
Assessing Interactions between Nitrogen Supply and Leaf Blast in Rice ...
mdpi.com
Buy Gel Blaster Products Online at Best Prices in India | Ubuy
ubuy.co.in
NERF Rival Kronos XVIII-500 Blaster, Breech-Load, 5 Rival Rounds ...
desertcart.in
Blast in Rice - A Complete Guide to Rice Blast Disease
katyayanikrishidirect.com
Buy Gel Blaster Products Online at Best Prices in India | Ubuy
ubuy.co.in
Assessing Interactions between Nitrogen Supply and Leaf Blast in Rice ...
mdpi.com
Home Page of RB-Pred
webs.iiitd.edu.in
Buy POOL BLASTER Leaf Vac Recharge Cordless Rechargeable Pool Leaf ...
ubuy.co.in
Buy Gel Blaster Products Online at Best Prices in India | Ubuy
ubuy.co.in
Buy Litheli 40V Cordless Leaf Blower Max 350CFM for Blowing Leaf, with ...
ubuy.co.in
800-CFM-Maximum Air Volume Leaf Blowers & Accessories at Lowes.com
lowes.com
Buy AGM MASTECH AWM Shell-Throwing Blaster Shot Gun, 40 Official Darts ...
ubuy.co.in
Buy Irish Spring Moisture Blast Body Wash 532 ml | 19 Minutes Delivery ...
apollopharmacy.in
A Molecular Identification and Resistance Evaluation of the Blast ...
mdpi.com
Buy Gel Blaster Products Online at Best Prices in India | Ubuy
ubuy.co.in
How To Use IR Blaster On Android: A Complete Guide | Cashify Blog
cashify.in
Buy Sharper Image Two-Player Toy Laser Tag Gun Blaster & Vest Armor Set ...
ubuy.co.in
How To Use IR Blaster On Android: A Complete Guide | Cashify Blog
cashify.in
Cordless Leaf Blower Portable Dust Cleaner Electric Blower Lightweight ...
amazon.in
TNAU Agritech Portal :: Crop Protection
agritech.tnau.ac.in
Volbit Blaster Spray Gun Grit Shot Blasting Car Truck Paint Rust ...
amazon.in
A Molecular Identification and Resistance Evaluation of the Blast ...
mdpi.com
Blast in Rice - A Complete Guide to Rice Blast Disease
katyayanikrishidirect.com
ICAR-AICRP on Pearl Millet
aicpmip.res.in
Hanger Type Shot Blasting Machine | Closed Loop | Door type Shot Blaster
sandblastingmachine.in
Tropical Summertime Soda Flavors : MTN DEW Baja Blast soda
trendhunter.com
Parvati Magic (NewYear Blast) , Parvati Valley, Kasol, 31 December to 1 ...
allevents.in
Buy Excel Double Kickback (6 Shooting Targets + 8 Darts) Blaster Combo ...
ubuy.co.in
Buy Gel Blaster Products Online at Best Prices in India | Ubuy
ubuy.co.in
Buy Gel Blaster Products Online at Best Prices in India | Ubuy
ubuy.co.in
Buy Gel Blaster Products Online at Best Prices in India | Ubuy
ubuy.co.in
Buy Irish Spring Original Bar Soap Online at Low Prices in India ...
amazon.in
Battery Powered Leaf Blowers & Accessories at Lowes.com
lowes.com
Solutions for Rice Growers | BASF Crop Protection India
crop-protection.basf.in
Buy Power Twister Bar Chest Resistance Arm Builder, Strength Training ...
desertcart.in
Buy Ainek Water Gun for Kids - 2 Pack Super Squirt Guns 790CC High ...
ubuy.co.in
3D model Hans Heavy Blaster Pistol | 3D Molier International
3dmolier.com
Rice blast disease in Wayanad – GKToday
gktoday.in
TNAU Agritech Portal :: Crop Protection
agritech.tnau.ac.in
How To Use IR Blaster On Android: A Complete Guide | Cashify Blog
cashify.in
Rice
kvkanjaw.nic.in
Buy Yustda AC/DC Adapter for Logitech Harmony 900 RF Extender Blaster ...
ubuy.co.in
Cordless Leaf Blower Portable Dust Cleaner Electric Blower Lightweight ...
amazon.in
Buy Spring Exercise Bar Power Twister(40-50Kg),Chest Bicep Triceps ...
desertcart.in
Holi Blast Event Tickets, Vadodara, Gujarat, India, Bharuch, 3 March to ...
allevents.in
Buy Gel Blaster M416, Splatter Ball Water Bead Blaster Gun Kit Toys ...
ubuy.co.in
How To Use IR Blaster On Android: A Complete Guide | Cashify Blog
cashify.in
Holi Blast 2026, Nexus Seawoods, Thane, 3 March 2026 | AllEvents
allevents.in
Compify Colorful Paintball Gun Predator Paint blaster Pistol Guns ...
flipkart.com
Related Searches
Blaster Kit
Blaster Bullet
Blaster Rifle
Blaster Meter
Ball Blaster
Bundle Blaster
Blaster Helper
Blaster Parts
Amoe Blaster
Gel Ball Blaster
Blade Ball Blaster
Blaster Transformers
Blaster Design
Pistol Gun Blaster
Star Wars Blaster Guns
Abrasive Blaster
Star Wars Blaster Weapons
Turbo Blaster
Ball Air Blaster
Interesting Blaster
Showtime Blaster
Blaster Bla153
Bataleon Blaster
Gadgetron Blaster
Pigter Blaster
Blaster Category
Blaster Kartell
Carth's Blaster
Pump Action Ball Blaster
Yamaha Blaster Racing
Yamaha Blaster Custom Parts
Esthetrix Blaster
Disblief Blaster Blaster
Newest Competitive Blaster
Best Gel Blaster
Shop Blaster
Blaster Singer
Gel Blaster Pistol
Best Gel Blaster Gun
Fantastic Blaster
Blaster Waork
Revolver Blaster
Yamaha Blaster Parts
Mandatory the Best of the Blasters Blasters
Rattling Warp Blaster
Deck Blaster Parts
Yamzaha Blaster Parts
Splatrball Gun Gel Blaster
Bataleon Blaster Fase
Small Nerf Blasters
Search
×
Search
Loading...
No suggestions found