Find Your Style
Women
Men
Accessories
Search for clothing, brands, styles...
×
Women
Men
Accessories
Sqrt 4
Search
Loading...
No suggestions found
The primitive of 1/(4sqrt(x)+x) w.r.t.x - Brainly.in
brainly.in
[tex]\tt{If{\left( \sqrt{(49 + 20 \sqrt{6} )} \right)}^{ \sqrt{a \sqrt ...
brainly.in
simplify..[tex] \sqrt[4]{81} - 8( \sqrt[3]{216)} + 15 \sqrt[5]{32 ...
brainly.in
[tex] \sqrt{(4 + \sqrt{7)} } \div \sqrt{(4 - \sqrt{7)} } [/tex]Please ...
brainly.in
find the value of:- [tex] \sqrt{10 + \sqrt{25 + \sqrt{108 + \sqrt{169 ...
brainly.in
prove that.(sin(theta/2) - sqrt(1 + sin theta))/(cos(theta/2) - sqrt(1 ...
brainly.in
(4 + sqrt(5))/(4 - sqrt(5)) + (4 - sqrt(5))/(4 + sqrt(5)) - Brainly.in
brainly.in
(a) Find the value of `sqrt(324)/sqrt(1225)` (b) Find the value of ...
allen.in
32. If a = (sqrt(3) - sqrt(2))/(sqrt(3) + sqrt(2)) and b = (sqrt(3 ...
brainly.in
Solved: 222 + Chapter 6 - Square Roots and the Pythagorean Theorem 4 ...
gauthmath.com
RSLogix 500 Math Instructions
plcblog.in
Rationalize the denominator of (sqrt(3))/(sqrt(7) - sqrt(2)) - Brainly.in
brainly.in
The area enclosed by the curve `y=sqrt(4-x^2),ygeqsqrt(2)sin((xpi ...
allen.in
If is x = 5/(sqrt(5) + sqrt(4)) and y = 6/(sqrt(5) - sqrt(4)) then x ...
brainly.in
Area of the region `{(x,y)inR^(2): y ge sqrt(|x+3|), 5ylex+9le15}` is ...
allen.in
rationalize [tex] \frac{1}{ \sqrt{7} + \sqrt{3} - \sqrt{2} } [/tex]how ...
brainly.in
[tex] \sqrt[4]{ \sqrt{3 \sqrt{ {3}^{2} } } } [/tex] - Brainly.in
brainly.in
solve for x using the properties of proportion \sqrt{2 + x} + \sqrt{3 ...
brainly.in
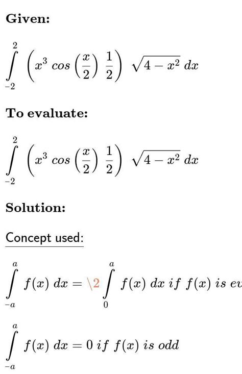
integrate (x ^ 3 * cos x/2 + 1/2) * sqrt(4 - x ^ 2) dx from - 2 to 2 ...
brainly.in
if [tex]\sqrt{2} =1.4142 , \sqrt{} \sqrt{2}-1/\sqrt{2}+1[/tex] - Brainly.in
brainly.in
(sqrt(2) + sqrt(3))/(sqrt(18) - sqrt(12)) = a - b * sqrt(6) + c * sqrt ...
brainly.in
Find the value of sqrt(9/16) + (0.008)^-2/3 - (7/10)^0 - Brainly.in
brainly.in
(-3 bullet sqrt(3) + sqrt(2) + - (3sqrt(2))/(sqrt(6) + sqrt(3 ...
brainly.in
[tex] \sqrt{4 \times \frac{57}{196} } [/tex]plz solve it fast - Brainly.in
brainly.in
please answer this maths question - Brainly.in
brainly.in
Sqrt 4/100 ÷ sqrt 4/16 - Brainly.in
brainly.in
1. If the value of the determinant [tex] |3 \sqrt{6 \\ } \: \: - 4 ...
brainly.in
2/(sqrt(5) + sqrt(3) + sqrt(2)) rationalise the denominator - Brainly.in
brainly.in
sqrt(4/9) + sqrt(25/36) - sqrt(81/36)=? - Brainly.in
brainly.in
solveintegrate 1/((1 + x) * sqrt(3 + 2x - x ^ 2)) dx - Brainly.in
brainly.in
Find the value of a and b, if (sqrt(3) - 1)/(sqrt(3) + 1) = a + b ...
brainly.in
integrate (x ^ 3 * cos x/2 + 1/2) * sqrt(4 - x ^ 2) dx from - 2 to 2 ...
brainly.in
Find the zeroes of the quadratic polynomial sqrt(3) * x ^ 2 + 5/4 * x ...
brainly.in
factorise the following : a) [tex]4 \sqrt{3}{x}^{2} - 17x - 5 \sqrt{3 ...
brainly.in
Rationalise the denominator of 1/(sqrt(5) + sqrt(6) - sqrt(2)) - Brainly.in
brainly.in
x = 2 - sqrt(3) y = sqrt(3) - sqrt(7) and z = sqrt(7) - sqrt(4) find ...
brainly.in
Simplify, by rationalizing the denominator 2.root6/root2 + root3 + 6 ...
brainly.in
- 2/(sqrt(3)) + (sqrt(3))/4 - Brainly.in
brainly.in
If \sqrt{x \ x + 1} + \sqrt{x + 1 \ x } = 17/4, then x = - Brainly.in
brainly.in
x = (sqrt(3) - sqrt(2))/(sqrt(3) + sqrt(2)) and y = (sqrt(3) + sqrt(2 ...
brainly.in
solve this equation [tex](3 \sqrt{6} \times 2) - ( - 4 \sqrt{2} \times ...
brainly.in
solve[tex] \frac{ \sqrt{12 \sqrt{12 \sqrt{12} } } }{ \sqrt{12 \sqrt{12 ...
brainly.in
91. The derivative of (x + sqrt(x ^ 2 + 1)) ^ n w.r.to x is (手) (n * (x ...
brainly.in
If f(x)=min(x^(2)+4,sqrt(x+9)) and g(x)=max(x^(2)+4,sqrt(x+9)), find ...
brainly.in
Sketch the region `{(x, 0):y=sqrt(4-x^(2))}` and X-axis. Find the area ...
allen.in
sqrt(cos(x))*cos(300x)+sqrt(abs(x))-0.7)*(4-x*x)^0.01, sqrt(6-x^2 ...
brainly.in
(sqrt(px))/(sqrt(p) + sqrt(x) - sqrt(p + x)) - (sqrt(px))/(sqrt(p ...
brainly.in
If \sqrt{x \ x + 1} + \sqrt{x + 1 \ x } = 17/4, then x = - Brainly.in
brainly.in
[tex] \sqrt{3x + 4} = \sqrt{2x + 5} [/tex]Give there answer plz with ...
brainly.in
[tex]\begin{gathered} \sqrt{5} - \sqrt{3 } \\ \sqrt{5} + \sqrt{3 ...
brainly.in
If the quadratic equation `x^(2)-36x+lambda=0` has roots `alpha` and ...
allen.in
( iv)( 2\3 sqrt 7 - 1\2 sqrt 2 +6 sqrt 11 )+( 1\3 sqrt 7 + 3\2 sqrt 2 ...
brainly.in
x = 2 - sqrt(3) y = sqrt(3) - sqrt(7) and z = sqrt(7) - sqrt(4) find ...
brainly.in
if [tex]\sqrt{2} =1.4142 , \sqrt{} \sqrt{2}-1/\sqrt{2}+1[/tex] - Brainly.in
brainly.in
[tex]\begin{gathered}2 \sqrt{72 } \\ \times 5 \sqrt{32 \\ \\ } \times 3 ...
brainly.in
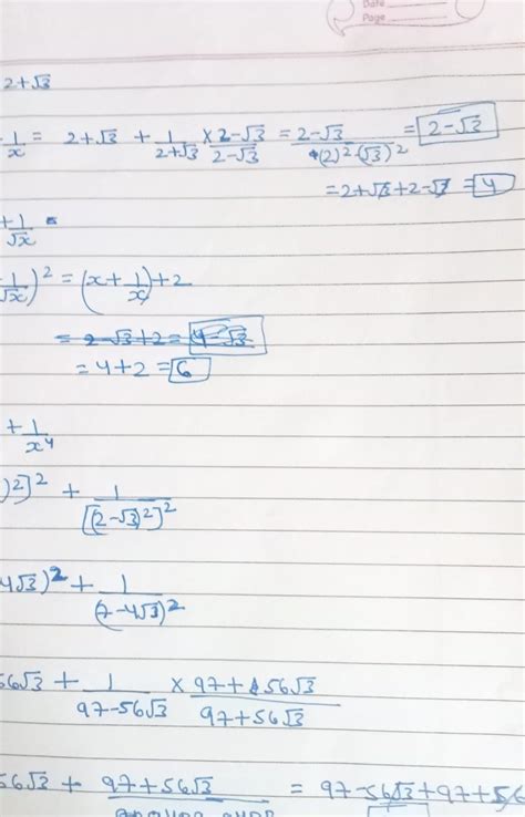
If x = 2 + sqrt(3) find- (ii) sqrt(x) + 1/(sqrt(x)) (iii) x ^ 4 + 1/(x ...
brainly.in
If x = (sqrt(3) + sqrt(2))/(sqrt(3) - sqrt(2)) and y = (sqrt(3) - sqrt ...
brainly.in
What is 24 ÷ 3168 show in partial quotient - Brainly.in
brainly.in
\sqrt[3]{40} +3\sqrt[3]{625} -\sqrt[3]{320} \\ Process also - Brainly.in
brainly.in
[tex] \frac{3 + \sqrt{2} }{4 \sqrt{2} } [/tex]rationalise the ...
brainly.in
1/1+root2+1/root2+root3=-1+3[tex] \frac{1}{1 + \sqrt{2} } + \frac{1 ...
brainly.in
Solved: Assinale a coluna correta, indicando se o denominador é um ...
gauthmath.com
(sqrt(7) + sqrt(5))/(sqrt(7) - sqrt(5)) + (sqrt(7) - sqrt(5))/(sqrt(7 ...
brainly.in
If √2 = 1.414 and √3 = 1.732. Find the value of - Brainly.in
brainly.in
Using the properties of proportion, solve for x[tex] \sqrt{5} + \sqrt{5 ...
brainly.in
Find the value of (sqrt(52) + sqrt(68))/(sqrt(6) + sqrt(12))plz give ...
brainly.in
Multiply sqrt(5/8) by sqrt(80/72) - Brainly.in
brainly.in
Simplify 2 * \sqrt[4]{81} - 8 * \sqrt[3]{218} + 15 * \sqrt[5]{32 ...
brainly.in
4\sqrt(3)+5\sqrt(2)-:4\sqrt(3)+3\sqrt(2) what is the answer send a pic ...
brainly.in
1/sqrt(3)+sqrt(2)-sqrt(5) - Brainly.in
brainly.in
Compute $(\sqrt 3)^2\cdot (\sqrt 4)^3\cdot (\sqrt 5)^4$. - Brainly.in
brainly.in
Find the value of a and b, if (sqrt(3) - 1)/(sqrt(3) + 1) = a + b ...
brainly.in
Let `P` denotes a complex number `z=r(costheta+isintheta)` on the ...
allen.in
: (sqrt(5) - sqrt(2))/(sqrt(5) + sqrt(2)) - (sqrt(5) + 2)/(sqrt(5 ...
brainly.in
What will be the ratio of the perimeters of a square and a circls if ...
nextgurukul.in
pls solve anyone 8+20÷25 ka 1/5 ×10 -4 - Brainly.in
brainly.in
Consider `int(x^(3)+3x^(2)+2x+1)/(sqrt(x^(2)+x+1))dx` `=(ax^(2)+bx+c ...
allen.in
Using Componendo and Dividendo solve for x: (sqrt(2x + 2) + sqrt(2x - 1 ...
brainly.in
Solve the equations [tex]( \sqrt{x {}^{2} + 1} + \sqrt{x {}^{2} - 1 ...
brainly.in
32. If a = (sqrt(3) - sqrt(2))/(sqrt(3) + sqrt(2)) and b = (sqrt(3 ...
brainly.in
4 sqrt 48-5/2 sqrt 1/sqrt 3+6 sqrt 3 - Brainly.in
brainly.in
[tex] \sqrt{ {r }^{2} } + \sqrt{ {r }^{2} } = \sqrt{2r} [/tex]How ...
brainly.in
View question - Telescoping series
web2.0calc.com
Simplyty= sqrt[4] 81-8 sqrt[3] 216 +15 sqrt[5] 32 - Brainly.in
brainly.in
[tex] \frac{ \sqrt{64} }{ \sqrt{x} } = 4[/tex]please tell me the answer ...
brainly.in
simplify:[tex](9)(\sqrt{5}+ \sqrt{2})^{2} ( b )(3+\sqrt{3})(3-\sqrt{3 ...
brainly.in
54 3 4. 250 equals: please help me - Brainly.in
brainly.in
sqrt 10+ sqrt 25+ sqrt x+ sqrt 154+ sqrt 225 =4 - Brainly.in
brainly.in
Simplify(7 + sqrt(5))/(7 - sqrt(5)) + (7 - sqrt(5))/(7 + sqrt(5 ...
brainly.in
Ifp = (sqrt(x ^ 2 + xy) + sqrt(x ^ 2 - xy))/(sqrt(x ^ 2 + xy) - sqrt(x ...
brainly.in
[tex] \sqrt{3 - \sqrt{5} } \div 2 = a \sqrt{5} + b[/tex]pls answer this ...
brainly.in
14. If x = (sqrt(a + 2) + sqrt(a - 2))/(sqrt(a + 2) - sqrt(a - 2)) then ...
brainly.in
Find AnswerTan^-1 [tex] \tan^{ - 1} \sqrt{1 + \sin(x) } - \ sqrt{1 ...
brainly.in
2\sqrt[4]{81}-8\sqrt[3]{216}+15\sqrt[3]{32}+\sqrt{225}-\sqrt[4]{16 ...
brainly.in
if we add all under roots what is answer[tex] \sqrt{1 + \sqrt{2 + \sqrt ...
brainly.in
If x = 3 + 2sqrt(2) find the value of sqrt(x) + 1/(sqrt(x)) - Brainly.in
brainly.in
A straight line with negative slope passing the point (1, 4) meets the ...
allen.in
Find the zeroes of the polynomial [tex] P(y) = 4 \sqrt{3} y {}^{2} + 5y ...
brainly.in
[tex]\(\frac{7+3\sqrt[]{3}}{2+\sqrt[]{3\ }}\) - \(\frac{7-3\sqrt[]{3 ...
brainly.in
[tex] \frac{ \sqrt{5 } + \sqrt{2} }{ \sqrt{5} - \sqrt{2} } [/tex]Please ...
brainly.in
A (-5,4), B (-1,2) and C (-3,-4) are vertices of triangle ABC. D, E and ...
brainly.in
please someone answer this... Those who have already answered please ...
brainly.in
Product = 3√2 X 4√2 x 12√32[tex] \sqrt[3]{2} \times \sqrt[4]{2} \times ...
brainly.in
Solve it for brainliest.[tex] \sqrt{2 \sqrt{2 \sqrt{2 \sqrt{2 \sqrt{2 ...
brainly.in
Find * x ^ 2 * ifx = (2(sqrt(2) + sqrt(6)))/(3sqrt(2) + sqrt(3 ...
brainly.in
Solved: Mark tor Review Let R be the region in the first quadrant ...
gauthmath.com
thut * 1/(1 + sqrt(2)) + 1/(sqrt(2 + sqrt(3))) + 1/(sqrt(5) + sqrt(4 ...
brainly.in
Solved: In the figure, a cuboid has a horizontal base EFGH where HG ...
gauthmath.com
R.M.S (root mean square) value or effective value - Basic circuits analysis
eee.poriyaan.in
Bairstow Method
archive.nptel.ac.in
Four point charges `+8muC,-1muC,-1muC` and , `+8muC` are fixed at the ...
allen.in
Find integration of √(Tanx) dx? - Brainly.in
brainly.in
[tex] \sqrt[3]{{x}^{2} {y} } \times \frac{1}{ \sqrt[4]{ {x}^{2} {y}^{9 ...
brainly.in
Find (a+b)4 -(a-b)4 hence ,evaluate (sqrt(3) + sqrt(2)) ^ 4 - (sqrt(3 ...
brainly.in
Simplify: 1/(1 + sqrt(2)+ sqrt(3)) + 1/(1 - sqrt(2) + sqrt(3)) - Brainly.in
brainly.in
Solved: Helen and Stephen both simplify the exponential expression e ...
gauthmath.com
Prove that `cos (tan^(-1) (sin (cot^(-1) x))) = sqrt((x^(2) + 1)/(x^(2 ...
allen.in
Evaluate:[tex]\sqrt{ 1444}[/tex] - Brainly.in
brainly.in
[tex]\sqrt{7-4\sqrt{3} } + 1/\sqrt{7-4\sqrt{3} }[/tex] - Brainly.in
brainly.in
Differentiate y w.r.t. x in the following cases: i) y=[tex] \sqrt{x ...
brainly.in
Related Searches
Sqrt 1
Square Root 3
Square Root Algorithm
Square Root of 6
4 Sqrt 5
Sqrt X Integral
Sqrt 2
Sqrt 4 Symbol
Sqrt Chart
What Is Sqrt 4
Simplify Square Root
Square Root Taylor Series
Sqrt X Graph
Sqrt in C
X Times Sqrt X
9 4 Simplified
10 Sqrt 2
Square Root Math
Simplifying Square Roots
Perfect Squares Math
4 Root 3 Square D
How to Calculate Square Root
Sqrt Equation
Derivative of Sqrt X
Square Root Function Graph
Square Root Numbers
4 Values of Sqrt Algebra I
Square Roots 1-20
3 Sqrt 5 Plus 4 Sqrt 5 Simplify
Square Root 150
Square Paper to Print
Value of Sqrt 2
Sqrt in MATLAB
Fourth Root
Sqrt6
4 Times 4 Sqrt 2 in Simplest Form
Sqrt 94 Simplified
Sqrt 4 Square Root X 5 Harvard Questions
Square Root of 4X Squared
Drrivative of Sqrt X
Square Root Imaginary Number
Sqrt Omi
Types of Sqrt
Derivati8ves of Sqrt
Sqrt of 2 G H
How to Calculate Negative Square Root
Multiplying with Sqrt
Square Root of 2 Equals
How to Find Square Root
Sqrt Diagram
Search
×
Search
Loading...
No suggestions found