Find Your Style
Women
Men
Accessories
Search for clothing, brands, styles...
×
Women
Men
Accessories
Src Sequence
Search
Loading...
No suggestions found
Max Healthcare — PT INR report
consumercomplaints.in
Cell-Surface Receptors Transactivation Mediated by G Protein-Coupled ...
mdpi.com
Selective Activation of Alternative MYC Core Promoters by Wnt ...
mdpi.com
MAPK/ERK Signaling Pathway in Hepatocellular Carcinoma
mdpi.com
Consider the above reaction sequence and identify the product B.
tardigrade.in
The final product (.III.) obtained in the reaction sequence :- is.
tardigrade.in
Identify the major products P, Q and R in the following sequence of ...
tardigrade.in
Identify the major products P, Q and R in the following sequence of ...
tardigrade.in
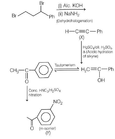
In the above conversion of compound ( X ) to product ( Y ), the ...
tardigrade.in
Refer to the given figure. Select the option which identifies polarity ...
tardigrade.in
Identify the major products P, Q and R in the following sequence of ...
tardigrade.in
In the given reaction sequence The product textC is
tardigrade.in
In the reaction sequence
tardigrade.in
The final product (.III.) obtained in the reaction sequence :- is.
tardigrade.in
Given below are two reaction sequences.
tardigrade.in
In the reaction sequence. . Correct statement regarding B is:
tardigrade.in
Given below are two reaction sequences.
tardigrade.in
Identify R in the following sequence of reaction
tardigrade.in
Heavy Chinon Sequence Embroidery work Kurti Palazzo Set (Stitched ...
ethenika.com
Identify R in the following sequence of reaction
tardigrade.in
Give the product of the following reaction sequence-
tardigrade.in
The product (s) of the following reaction sequence is (are)
tardigrade.in
In the given reaction sequence X will not be
tardigrade.in
Identify the final product 'H' in the given reaction sequence here
tardigrade.in
In the following reaction sequence, structures of P and Q, are respectively
tardigrade.in
The final product in the following reaction sequence is
tardigrade.in
The major product [C] of the following reaction sequence will be
tardigrade.in
In the given sequence of reactions C will be
tardigrade.in
The major product of the following reaction sequence, is
tardigrade.in
What is the product Z formed in the following reaction sequence:
tardigrade.in
Consider the following reaction sequence product C is
tardigrade.in
Crystal Floret Kaftan – Monisha Jaising
monishajaising.com
Final product (p) in the sequence of reaction is
tardigrade.in
Crystal Pearl Saree – Monisha Jaising
monishajaising.com
Brunet Gown – Monisha Jaising
monishajaising.com
Men's Purple Chikankari Embroidered and Sequence Kurtas – Jompers
jompers.com
[Resolved] IDBI Bank — IDBI Bank A/C NN35398 debited INR. 590.00 Det ...
consumercomplaints.in
Jimmy Choo Fabric Sequence Embroidery Work Kurti Pant Dupatta Set ...
ethenika.com
Sequence Embroidery work Bandhani Print Lehenga Shrug Set – Ethenika.com
ethenika.com
Currency Sequence Board Game – My House Teacher
myhouseteacher.com
Rouge Dress – Monisha Jaising
monishajaising.com
Consider the following sequence of reactions: The end product (B) is:
tardigrade.in
Luster Dress – Monisha Jaising
monishajaising.com
In the reaction sequence The product ‘C’ is:
tardigrade.in
In the reaction sequence [X will be]
tardigrade.in
In the reaction sequence
tardigrade.in
The major product [R] in the following sequence of reactions is
tardigrade.in
Heavy Chinon Sequence Embroidery work Kurti Palazzo Set (Stitched ...
ethenika.com
Noir Mini – Monisha Jaising
monishajaising.com
Sequence Embroidery work Bandhani Print Lehenga Shrug Set – Ethenika.com
ethenika.com
Given below are two reaction sequences.
tardigrade.in
Identify X, Y and Z in the given sequence of reactions.
tardigrade.in
In the following reaction sequence, X and Y respectively are,
tardigrade.in
In the following reaction sequence, structures of P and Q, are respectively
tardigrade.in
Consider the following reaction sequence, Major product C is
tardigrade.in
Georgette Sequence work Party Wear Kurti Sharara Dupatta Set – Ethenika.com
ethenika.com
In the reaction sequence
tardigrade.in
Sequence Embroidery work Pakistani Velvet Kurti Pant Dupatta Set ...
ethenika.com
Sequence Embroidery work Bandhani Print Lehenga Shrug Set – Ethenika.com
ethenika.com
Georgette Embroidery Sequence work Womens Dress Material (Unstitched ...
ethenika.com
Georgette Sequence work Party Wear Kurti Sharara Dupatta Set – Ethenika.com
ethenika.com
In the following reaction sequence the major products A and B are
tardigrade.in
Consider the reaction sequence given below: Which of the following ...
tardigrade.in
Buy Marine Gown Online – Monisha Jaising
monishajaising.com
Consider the following sequence of reactions: The end product (B) is:
tardigrade.in
The major aromatic product C in the following reaction sequence will be:
tardigrade.in
In the given sequence of reaction, identify X and Y
tardigrade.in
In the reaction sequence, X is
tardigrade.in
Consider the above reaction sequence, the Product ‘C’ is
tardigrade.in
Consider the above reaction sequence, Product "A" and Product "B ...
tardigrade.in
Kaveri 2 Embroidery Sequence Work Kurti Collection
textileexport.in
What are structures of X, Y and Z in the above given reaction sequence?
tardigrade.in
Consider the following sequence of reactions The intermediate products ...
tardigrade.in
Given below are two reaction sequences.
tardigrade.in
In the reaction sequence
tardigrade.in
In the following sequence of reaction, what is D?
tardigrade.in
The compounds A , B and C in the above reaction sequence are
tardigrade.in
Georgette Heavy Sequence Embroidery Work Chaniya Choli – Ethenika.com
ethenika.com
In the reaction sequence
tardigrade.in
In the reaction sequence the product C is:
tardigrade.in
Buy Verdi Dress Online – Monisha Jaising
monishajaising.com
In the reaction sequence, the major products X and Y, respectively are
tardigrade.in
Brunet Gown – Monisha Jaising
monishajaising.com
The major product of the following reaction sequence, is
tardigrade.in
The compounds A , B and C in the above reaction sequence are
tardigrade.in
Consider the following sequence of reactions. The end product (.C.) is
tardigrade.in
In the given sequence of reactions C will be
tardigrade.in
Gloss Gown – Monisha Jaising
monishajaising.com
In the above sequence, C is
tardigrade.in
In the reaction sequence the major products X and Y respectively are
tardigrade.in
Identify 'Z' in the given sequence of reaction
tardigrade.in
Identify P, Q, R, S, T in the given sequence of reaction. P Q R S T (a ...
tardigrade.in
In the reaction sequence [X] will be
tardigrade.in
In the reaction sequence [X] will be
tardigrade.in
The major product [R] in the following sequence of reactions is
tardigrade.in
What is the end product in the following sequence of reactions?
tardigrade.in
Men's White Chikankari Embroidered and Sequence Kurtas – Jompers
jompers.com
In the reaction sequence
tardigrade.in
In the reaction sequence the product 'C' is:
tardigrade.in
In the reaction sequence The product ‘C’ is:
tardigrade.in
In the given sequence of reactions C textwill be
tardigrade.in
Types of GST: What is SGST, CGST, IGST and UTGST?
cleartax.in
Jake Paul vs Nate Diaz India Start Time and TV Channel: Where To Watch ...
insidesport.in
In the following sequence of reaction, what is D?
tardigrade.in
Nigreos Gown – Monisha Jaising
monishajaising.com
Fildish Kaftan – Monisha Jaising
monishajaising.com
The product (P) of below reaction sequence
tardigrade.in
Consider the following sequence of reactions. The final product C is
tardigrade.in
Here in the given sequence of reaction the final product 'D' is
tardigrade.in
The product ‘D’ in the following sequence of reactions is
tardigrade.in
In the reaction sequence
tardigrade.in
The final product in the following reaction sequence is
tardigrade.in
The end product (B) of the reaction sequence
tardigrade.in
Faux Georgette Sequence Embroidery work Lehenga Choli – Ethenika.com
ethenika.com
Consider the following sequence of reaction The compound X can be:
tardigrade.in
Prism Dress – Monisha Jaising
monishajaising.com
Identify the final product of following sequence of reaction
tardigrade.in
In the following reaction sequence, X and Y are
tardigrade.in
The product ' Y ' in the following reaction sequence is
tardigrade.in
In the reaction sequence, the major products X and Y, respectively are
tardigrade.in
Related Searches
INR Normal Range
INR Testing
Inr Machine
INR Ratio
INR Values
INR Lab
INR Test Meter
INR Meaning
INR Chart
INR Currency
INR Calculation
INR Management
INR Blood Test
Warfarin
Therapeutic INR
Normal INR Value
PT/INR Values
Printable INR Chart
INR Scale
INR and PTT
Normal INR Levels Chart
Home INR Monitoring
INR Calculation Formula
INR aPTT
INR Norms
What Is INR Blood Test
Home INR Monitor
INR Equation
INR Meaning Medical
Money INR
INR Diagram
INR Logo
INR Readings
1 INR
INR PNG
INR Targets
INR Symbol
INR Medical Term
INR Dose
Causes of High INR
INR Rupee
Isi INR
Warfarin Nomogram
INR Notes
Supratherapeutic INR
Normal PT Time
INR Definition
International Normalized Ratio INR
INR Foods
INR Word
Search
×
Search
Loading...
No suggestions found