Find Your Style
Women
Men
Accessories
Search for clothing, brands, styles...
×
Women
Men
Accessories
Substituting Equations
Search
Loading...
No suggestions found
Thevenin's Theorem - Statement, Proof, Circuit Diagram, Formula, Solved ...
eee.poriyaan.in
Properties of Fourier Series - Parseval's Power Theorem
ece.poriyaan.in
Properties of Laplace Transforms
ece.poriyaan.in
1. Solve the following by method of transposition and verify your ...
brainly.in
8 Bending of Prismatic Straight Beams
archive.nptel.ac.in
Virtual Labs
nm-re-iitb.vlabs.ac.in
solve the following pair of linear equation by substitution method x+y ...
brainly.in
Substituting equation (3.9.6) into the equation (3.9.5), one may obtain
archive.nptel.ac.in
1. Solve the following by method of transposition and verify your ...
brainly.in
Substituting x=5 in equation (1) 3x+2y= 293× + 2y =9 + 2y =9 2y = 29 ...
brainly.in
Substituting with Variables into Algebraic Expressions Activity Sheet
twinkl.co.in
Solve each of the following linear equations and verify your solution ...
brainly.in
Grading of Cables - Use of Intersheaths - Capacitance - Difficulties
eee.poriyaan.in
7 Boundary Value Problem: Formulation
archive.nptel.ac.in
solve each of the following equations and check your solution by ...
brainly.in
Solve each of the following equations and check your solution by ...
brainly.in
1. Solve each of the following equations and check your solution by ...
brainly.in
8 Bending of Prismatic Straight Beams
archive.nptel.ac.in
Thevenin's Theorem - Statement, Proof, Circuit Diagram, Formula, Solved ...
eee.poriyaan.in
Electronic Polarisation - Calculation | Polarization mechanisms in ...
eee.poriyaan.in
solve the following pair of linear equation by the elimination method ...
brainly.in
Traffic stream models
civil.iitb.ac.in
solve the following pair of linear equation by substituting method 3 x ...
brainly.in
Length of belt - Friction in Machine Elements - Theory of Machines
mech.poriyaan.in
Thevenin's Theorem - Statement, Proof, Circuit Diagram, Formula, Solved ...
eee.poriyaan.in
solve the following pair of linear equation by the substitution method ...
brainly.in
Verify the following equation by substituting the given valuesa) 3x + 7 ...
brainly.in
Solve the following equation by substitution method: 1.) 3x+2y=12 ...
brainly.in
8 Bending of Prismatic Straight Beams
archive.nptel.ac.in
SOLVE THE FOLLOWING PAIR OF A LINEAR EQUATION BY THE SUBSTITUTING ...
brainly.in
Electronic Polarisation - Calculation | Polarization mechanisms in ...
eee.poriyaan.in
Heat Gain and Heat Loss Estimation - Definition, Formula
civil.poriyaan.in
Solve the following pair of linear equation by substitution method: 8x ...
brainly.in
Solve the following pair of linear equation by the elimination method ...
brainly.in
Length of belt - Friction in Machine Elements - Theory of Machines
mech.poriyaan.in
Solve the following pair of linear equation by the substitution method ...
brainly.in
solve the following equation by the method of substitution 3x - 5y =7 ...
brainly.in
solve the following equation and check your solution by substituting it ...
brainly.in
Properties of Fourier Series - Parseval's Power Theorem
ece.poriyaan.in
solve the following pair of linear equation by the substitution method ...
brainly.in
solve the following pair of linear equation by the substitution method ...
brainly.in
Check by substituting whether x=-6 and y=-3 is a solution of equation 2 ...
brainly.in
Solve each of the following pairs of simultaneous equations by the ...
brainly.in
7 Boundary Value Problem: Formulation
archive.nptel.ac.in
Trip Assignment
civil.iitb.ac.in
pairs of linear equation by substitution method. s-t=3. s/3+t/2=6 ...
brainly.in
Solve each of the following equation and check your solution by ...
brainly.in
Here, introducing a nearly identify variable η , variable ξ may be ...
archive.nptel.ac.in
1. Solve the following pair of linear equation by the substitution ...
brainly.in
x/2 + y/2 = 4 second equation x/3 + 2y = 5 solve the following equation ...
brainly.in
Reaction Mechanism Chemistry - Organic Chemistry PDF Download
edurev.in
Properties of Laplace Transforms
ece.poriyaan.in
Find the value of 'x by substituting value of 'y' interms of 'x from ...
brainly.in
Alternative Expression for Power Developed by a Synchronous Motor
eee.poriyaan.in
solve the equation by substitution method x + y = 6 2 x -3 y = 4 ...
brainly.in
Solve this pair of simultaneous equation by the substitution method Pls ...
brainly.in
Solve the pair of linear equations by substitution method x - 7y + 42 ...
brainly.in
Properties of Laplace Transforms
ece.poriyaan.in
Balancing Chemical Equation with Substitution - Chemical Reactions and ...
edurev.in
solve the equation and check your solution by substituting in the ...
brainly.in
solve the following equation by substitution method and verify it X + 8 ...
brainly.in
Solve the following linear equations by the substitution method 0.2x +0 ...
brainly.in
8x + 5y = 93x+ 2y solve the equation substituting method - Brainly.in
brainly.in
Solve the following system of equations by substitution method:1. x + y ...
brainly.in
Solve the following pair of linear equations by elimination and ...
brainly.in
Continuous Time Fourier Transform - Existence of Fourier Transform ...
ece.poriyaan.in
Characteristics and Composition of Sewage and their Significance
civil.poriyaan.in
Properties of Laplace Transforms
ece.poriyaan.in
Grading of Cables - Use of Intersheaths - Capacitance - Difficulties
eee.poriyaan.in
Properties of Laplace Transforms
ece.poriyaan.in
solve each of the following equations and check your solution by ...
brainly.in
Small Signal Parameters of MOSFET
eee.poriyaan.in
solve each of the following equation and check your solution by ...
brainly.in
solve the following equation by substituting 7x-4y=0 and 2x+3y=59 ...
brainly.in
Length of belt - Friction in Machine Elements - Theory of Machines
mech.poriyaan.in
Substituting Into Algebraic Expressions- Act Sheet Sepedi
twinkl.co.in
solve the pair of linear equation-2x+3y=4,x+2y=3 by substitution method ...
brainly.in
Substituting equation 2 into equation 3 gives
archive.nptel.ac.in
Solve+the+following+equation+by+substitution+method+y=6x-11+and+-2x-3y ...
brainly.in
solve pair of linear equation by substitution method 3x-y=3 , 9x-3y=9 ...
brainly.in
Solve the equation and verify your answer by substituting the value of ...
brainly.in
find the value of x &y by substitution method 3x+y-5 =0 equation 12x-y ...
brainly.in
solve the equation 2x+y-6=0 and 2x-y-2=0 by substitution method ...
brainly.in
x+2y=3/2 2x+y=3/2 solve this equation using substitution method ...
brainly.in
Effective Mass of Electron and Hole
mech.poriyaan.in
solve the following equations and verify your answer by substituting ...
brainly.in
solve system of equation by substituting method x+y=14 and x-y=2 ...
brainly.in
where is the condensed stiffness matrix. Now internal DOFs could be ...
archive.nptel.ac.in
Theory of Air Wedge - Definition, Experiment, Description, Applications
mech.poriyaan.in
3solve the following equation by substituting method 3x+5y=34 2x-3y=-9 ...
brainly.in
point
archive.nptel.ac.in
solve the following substitution equation 1] 64m - 45n = 289 , 45m ...
brainly.in
Solve the following equation simultaneously using substitution method ...
brainly.in
Op-amp Summer or Adder Circuit - Working Principle, Circuit Diagram ...
eee.poriyaan.in
Solve the pair of linear equation by the substitution method[tex]s - t ...
brainly.in
27. Solve the given system of equation by using substitution method : x ...
brainly.in
Electronic Polarisation - Calculation | Polarization mechanisms in ...
eee.poriyaan.in
General Transistor Equation - Semiconductor Devices
ece.poriyaan.in
👉 Solving Algebraic Equations Worksheet | Beyond
twinkl.co.in
analytical method for velocity and acceleration of slider- crank ...
mech.poriyaan.in
On separating the in-phase (i.e., cos ω t ) and quadrature (i.e., sin ω ...
archive.nptel.ac.in
1) Solve the following simultaneous equations : 4x + 3y = 11, 3x + 4y ...
brainly.in
Traffic stream models
civil.iitb.ac.in
Use substitution method to solve the simultaneous equation 3x-y-12=0 2x ...
brainly.in
Alternative Expression for Power Developed by a Synchronous Motor
eee.poriyaan.in
Length of belt - Friction in Machine Elements - Theory of Machines
mech.poriyaan.in
Using the Galerkin method to minimize the residue, one has
archive.nptel.ac.in
50+ Systems of Equations worksheets for Kindergarten on Quizizz | Free ...
quizizz.com
solve each of the following equations and check your solution by ...
brainly.in
Virtual Labs
dom-nitk.vlabs.ac.in
Solve equation by substituting method; 4x + 6/y = 15; 6x -8/y = 14, y ...
brainly.in
please explain by solving this equations. solve by 1) substituting a ...
brainly.in
Check by substituting if x = 3 is the root of the equation: a) 2(2x −1 ...
brainly.in
The Pinch-off Voltage Vp (JFET) - Solved Example Problems | Junction ...
eee.poriyaan.in
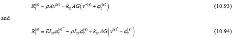
On substituting of equations(10.93) and (10.94)in equations (10.95)and ...
archive.nptel.ac.in
how to find the value of y separately by substituting the value of x ...
brainly.in
8x + 5y = 93x+ 2y solve the equation substituting method - Brainly.in
brainly.in
Analytical method - Force Analysis - Theory of Machines
mech.poriyaan.in
solve the following system of simultaneous linear equation by ...
brainly.in
solve each of the following equations and check your solution by ...
brainly.in
Related Searches
INR Table
INR Scale
Normal INR
Blood INR Chart
INR Example
Coumadin Nomogram
INR Normal Range Chart
Normal INR Levels Chart
Coumadin INR Dosing Chart
INR Diagram
PT/INR Equation
INR Adjustment Chart
Prothrombin Time and INR Chart
Home INR Monitor
INR 图像
PT/INR Sheets
INR Result Sheet
PT/INR Blood Tube
PT/INR Results Chart
PT/INR Conversion Chart
INR Chart Medical
INR Graph
Warfarin Dosage Chart
INR Oak
INR Reading Example
INR VP Chart
INR Calculation Sheet
Protime/INR Graph
Argatroban and Warfarin INR Equation
Warfarin Dose Adjustment Chart
Normal INR Neonate
INR PT/PTT Triangle
PT Measuring Chart
Meld Score Equation
INR Jenish
Warfarin Molecule
Warfarin Anticoagulant
INR and Sintrom
INR Colour
PT/INR Template
Warfarin Structure
International Normalized Ratio Chart
Hemachron PT/PTT INR
INR Extraction Chart
Normograph INR
Deep INR
INR Synthetic Factors Graph
INR Calculation Worksheet
INR Core Solid
Vitamin K Warfarin Reversal
Search
×
Search
Loading...
No suggestions found