Find Your Style
Women
Men
Accessories
Search for clothing, brands, styles...
×
Women
Men
Accessories
Sulfonyl Hydrazides
Search
Loading...
No suggestions found
INR Full Form: What is full form of INR?
bankersadda.com
Solana price today, SOL to INR live price, marketcap and chart | Suncrypto
suncrypto.in
Top 10 Countries Where INR Has the Highest Value in 2025
currentaffairs.adda247.com
Explore the smoothest whiskey collection: Best Scotch under INR 2000
lifestyleasia.com
BSNL 146 INR Special Prepaid Plan Price in India - Buy BSNL 146 INR ...
flipkart.com
usd to inr sbi rate: Latest News & Videos, Photos about usd to inr sbi ...
economictimes.indiatimes.com
Ugro Capital Crosses Inr 10000 crore aum milestone launches 10k ...
psuconnect.in
Facts about Indian businessman who is buying Lavasa city for INR 1814 ...
timesofindia.indiatimes.com
33000 euro to inr - Claim a ₹300 Bonus Today! Android IOS V- 1.79
tax.lsgkerala.gov.in
Get 21+ Whiskey For INR 1850 In Bangalore | LBB
lbb.in
Design, Synthesis and Antitubercular Activity of Certain Nicotinic Acid ...
mdpi.com
Synthesis and Biological Evaluation of NH2-Sulfonyl Oseltamivir ...
mdpi.com
p-Toluenesulfonyl hydrazide 97 1576-35-8
sigmaaldrich.com
smlab_iitism
people.iitism.ac.in
Novel Structures of Functionalized Graphene Oxide with Hydrazide ...
mdpi.com
2-メルカプトエタノール ≥99.0% | Sigma-Aldrich
sigmaaldrich.com
Uses and SideEffects of Warfarin: What You Need to Know
medicoverhospitals.in
An organic compound reacts with benzene sulfonyl chloride and product ...
brainly.in
Novel Structures of Functionalized Graphene Oxide with Hydrazide ...
mdpi.com
Controlled Substance
simsonpharma.com
Design, Synthesis and Antitubercular Activity of Certain Nicotinic Acid ...
mdpi.com
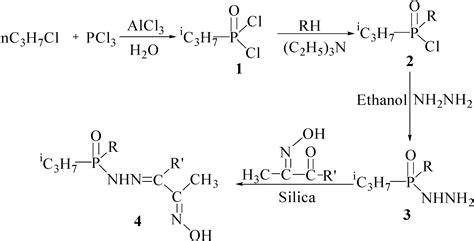
Scheme 1: Reaction of 1 with hydrazines and hydroxylamine
innovareacademics.in
N-METHYL-N-(4-{[4-(METHYLAMINO)PHENYL]SULFONYL}PHENYL)AMINE AldrichCPR ...
sigmaaldrich.com
Ethyl(2Z)-2-[(4-{2-[(methylamino)sulfonyl]ethyl}phenyl)hydrazono ...
simsonpharma.com
Design, Synthesis and Antitubercular Activity of Certain Nicotinic Acid ...
mdpi.com
Scheme 2: Reaction of 1 with acid hydrazides 12, 14 and bis-hydrazides 16
innovareacademics.in
Quinoline-8-sulfonyl Chloride 18704-37-5 | Tokyo Chemical Industry ...
tcichemicals.com
Abiraterone Acetate P-Toluene Sulfonyl Ester
kmpharma.in
8 Obat Stroke yang Efektif dan Tersedia di Apotik - Alodokter
alodokter.com
Para Toluene Sulfonyl Chloride (PTSCL) ( CAS No - 98-59-9) Manufacturer ...
navoneindia.in
1-((4-Nitrobenzyl)sulfonyl)pyrrolidine | CAS No- 340041-91-0 | Simson ...
simsonpharma.com
Ambrisentan Sulfonyl Pyrimidine Impurity | CAS No- 35144-22-0 | Simson ...
simsonpharma.com
4-(2-(2-(((4-CL-PH)SULFONYL)AMINO)BENZOYL)CARBOHYDRAZONOYL)PH 3 ...
sigmaaldrich.com
Products
simsonpharma.com
1,1-DimethylethylN-[[[(1R,2R,5S)-5-[(dimethylamino)carbonyl]-2 ...
simsonpharma.com
3-[(2-Phenylethyl)sulfonyl]pyrrolidine hydrochloride AldrichCPR | Sigma ...
sigmaaldrich.com
Biological Activities of Hydrazone Derivatives
mdpi.com
5-{2-[(methylamino)sulfonyl]ethyl}1H-indole-2-carboxylic acid | CAS No ...
simsonpharma.com
IMPPAT | IMPPAT: Indian Medicinal Plants, Phytochemistry And Therapeutics
cb.imsc.res.in
(2R)-1- (4-Chlorophenyl)sulfonyl -2-pyrrolidinecarboxylic acid ...
sigmaaldrich.com
Vonoprazan Sulfonyl Aldehyde Impurity | CAS No- 881677-11-8
chemicea.com
2-Methanesulfonyl-4,6-dimethoxypyrimidine | CAS No- 113583-35-0 ...
simsonpharma.com
N5-[[[(2,3-Dihydro-2,2,4,6,7-pentamethyl-5-benzofuranyl)sulfonyl]amino ...
chemicalbook.in
Chlorthalidone Sulfonyl Chloride Impuriy | CAS No- 82875-50-1 | Simson ...
simsonpharma.com
(OCTANE-3-SULFONYL)-ETHENE AldrichCPR | Sigma-Aldrich
sigmaaldrich.com
4-Hydroxymethyl-1-(toluene-4-sulfonyl)-piperidin-4-yl -methanol Aldrich ...
sigmaaldrich.com
1,3-BENZOTHIAZOLE-6-SULFONYL CHLORIDE - ChemicalBook India
chemicalbook.in
Silver Sickles Agro Plast Pvt. Ltd. Gurugram - 3 Side Seal Metalic ...
silversickles.in
mesitylene-2-sulfonyl-chloride | C9H11ClO2S | Manufacturers, Suppliers ...
chemicalbook.in
2-((4-aminophenyl)sulfonyl)aniline | CAS No- NA | Simson Pharma Limited
simsonpharma.com
Methyl,Alpha,Alpha-dimethyl-4-[2-[[(4-methylphenyl)sulfonyl]oxy]ethyl ...
simsonpharma.com
Nitrene - Introduction, Structure and Reactivity, Generation, Important ...
aakash.ac.in
5-chloropyridine-3-sulfonyl chloride Hydrochloride | CAS No- 1060802-18 ...
simsonpharma.com
Anticoagulation in Acute Pulmonary Embolism: Which Drug? How Long ...
universimed.com
Ethyl N-[[4-[2-[(5-chloro-2-methoxybenzoyl)amino]ethyl]phenyl]sulfonyl ...
simsonpharma.com
Isoniazid Overview - Active Ingredient - RxReasoner
rxreasoner.com
Biological Activities of Hydrazone Derivatives
mdpi.com
Warfarin: View Uses, Side Effects and Medicines
truemeds.in
Warfarin Sodium | CAS No- 129-06-6 | Simson Pharma Limited
simsonpharma.com
Warfarin Sodium | CAS No- 129-06-6 | NA
chemicea.com
Warfarin Sodium
kmpharma.in
A Novel and Efficient Synthesis of N,N-Dialkylaminoisopropyl- and O ...
mdpi.com
Fig. 2: Drug class wise distribution of OHAs, The drug classes included ...
innovareacademics.in
Tovok Tablet | Uses, Side Effects, Price | Apollo Pharmacy
apollopharmacy.in
Jointkey - Glucosamine, Diacerein & Methyl Sulfonyl Methane - Healthkey ...
pharmavends.com
Amazon.in Bestsellers: The most popular items in MSM
amazon.in
India and Malaysia can now trade in Indian rupee
currentaffairs.adda247.com
2-Bromophenylhydrazine hydrochloride - ChemicalBook India
chemicalbook.in
Novel Structures of Functionalized Graphene Oxide with Hydrazide ...
mdpi.com
Skyjoint gm - Diacerein, Methyl Sulfonyl Methane & Glucosamine Tablets ...
pharmavends.com
Diacerein 50 mg + Glucosamine Potassium Sulphate 750 mg + Methyl Sulfo
company.pharmahopers.com
Novel Structures of Functionalized Graphene Oxide with Hydrazide ...
mdpi.com
Manufacturer of Nutraceutical Formulations & Nutraceutical Products by ...
medicantnutrients.in
Collections
svbventures.in
Botanical Name : Methyl Sulfonyl Methane (MSM)
alpspure.in
Warfarin: View Uses, Side Effects and Medicines
truemeds.in
An amine C3H9N reacts with benzene sulfonyl chloride to form a white ...
tardigrade.in
International Trade Settlement in Indian Rupee (INR)
taxguru.in
COLLAGEN PEPTIDES+GLUCOSAMINE+BOSWELLIA SERRATA+HYALURONIC ACID+VITAMI
company.pharmahopers.com
Health Supplements - Liposomal Glutathione Grape Seed Extract Acido ...
medicantnutrients.in
Amazon.in Bestsellers: The most popular items in Chondroitin & Glucosamine
amazon.in
USD/INR Cracks Big: Falls 2% in 4 Days! | Investing.com India
in.investing.com
Thyrocare Founder Partners With YEA and Magnifiq Capital Trust to ...
businessoutreach.in
Buy Gold Earrings Online | Gold Earrings by Manubhai.
manubhai.in
Rate (INR)
erp.kohinoorpune.com
Sri Lanka and Russia in talks to use the rupee in foreign trade
currentaffairs.adda247.com
International Trade Settlement in Indian Rupee (INR)
taxguru.in
Warfarin EP Impurity C | CAS No- 122-57-6 | Simson Pharma Limited
simsonpharma.com
Coagulation Analyzer - Micropoint Q3 Pro Electrometer PT-INR Trader ...
r2healthcare.in
A Composition Comprising Sulfonyl Urea And Chloroacetanilide
quickcompany.in
Orcerin GM Tablet Bulk supplier in India - Jindal Medical Store
jindalmedicalstore.in
Buy Absolute Anticoagulant Journal: A Comprehensive logbook for ...
desertcart.in
High Quality Aari work blouse in Chennai that doesn't burn a hole in y ...
tailorkadai.in
Fit-Produkte-Gall-Pharma GmbH-Online-Shop
gall-shop.com
Plus Size Wine Cotton Linen Kurta Coord Set
amydus.com
Almond Skin Inhibits HSV-2 Replication in Peripheral Blood Mononuclear ...
mdpi.com
Indian Financial System, 5e by H R Machiraju
vikaspublishing.com
India shining: Rupee inches closer to becoming international currency ...
timesnownews.com
Buy INR's Farm Fresh Premium Pellets Food for Rabbits | 1 KG Advanced ...
amazon.in
How Indian Rupee Stands Against Other Major Currencies
indiatimes.com
IMPPAT | IMPPAT: Indian Medicinal Plants, Phytochemistry And Therapeutics
cb.imsc.res.in
Baricitinib Sulfonyl Impurity | CAS No- 1187594-13-3 | NA
chemicea.com
Novel Structures of Functionalized Graphene Oxide with Hydrazide ...
mdpi.com
Zen Publications
zenpublications.com
Joint-Fit Powder [4271954]-Gall-Pharma GmbH-Online-Shop
gall-shop.com
4-Methoxyphenylhydrazine hydrochloride - ChemicalBook India
chemicalbook.in
Orcerin GM Tablet Bulk supplier in India - Jindal Medical Store
jindalmedicalstore.in
Certifications
pasteljade.com
Gelenk-Fit Pulver [4271931]-Gall-Pharma GmbH-Online-Shop
gall-shop.com
Custom Jewellery
thewyw.com
smlab_iitism
people.iitism.ac.in
Get the Best Saudi Riyal to Indian Rupees Conversion Rates in India
orientexchange.in
Call for Reservation
apps.roseatehotels.com
Die wichtigsten Abstracts vom ISTH 2017 - Hämatologie - Universimed ...
universimed.com
Final Estimate & BOQ for Proposed 6-Storey Res. Bldg with Basement ...
studocu.com
Ducati – Motoaggrandize
motoaggrandize.in
USD/INR forecast: Indian rupee analysis ahead of RBI decision By Invezz
in.investing.com
All about Bandarful coffee liqueur by Himmaleh spirits
lifestyleasia.com
Warfarin Dose Adjustment Chart - Fill Online, Printable, Fillable ...
pdffiller.com
MGT-6 Form Filing Process and Key Requirements
taxguru.in
Related Searches
Toluene Sulfonyl
Benzoic Hydrazide
Sulfonyl Hydrazide Hydrogenation
Reaction of Hydrazide
Neutral Hydrazide Compound
Sulfonyl Hydrazide as a Redux
P-Toluene Sulfonate
Sulfonyl Hydrazide with Iodine
P-Toluenesulfonamide
Sulfonylation
P-Methoxyphenol
Benzenesulfonyl Hydrazide
Dansyl Acid
Camphor Sulfonyl Hydrazine
Benzenesulfonyl Hydrazide Derivative
Nono Hydrazide
Phenyl Toluene
P Toluenesulfate
Para Toluene Sulfonyl Hydrazide Mechanism
Keto Hydrazide
Sulfonyl Amino
Para Toluene Sulfonyl Hydrazide
Sulfonyl Hydroxide Group
Cytiva Cy3 Hydrazide
Methanesulfonyl Hydrazide
Chiral Sulfonyl Hydazide
Hydrazide Propylamine
Aryl Hydrazide
Sulphonic Ester
Sulfonyl Azide Synthesis
Sulfonyl Alkynes
Sulfonic Ester
Atropic Acid
Cyclopentyl Methylamine
Toluene Sulfonyl Ureas
Types of Toluenesulfonyl Hydrazide
Hydrazone Derivatives
Sulfonylation of Amines
Oxidation of Hydrazides
Dansyl Structure
Pyridine Sulfonyl Derivatization
Para Toluene Sulphonyl Hydrazide
Lactone Hydrazide
Foto De Hydrazide
Allyl Sulfonyl
AF488 Hydrazide Esi
Thienyl Hydrazine
Sulfonamide Hydrolysis
Sulfur Hydrolysis
Benzoyl Hydrazin
Search
×
Search
Loading...
No suggestions found