Find Your Style
Women
Men
Accessories
Search for clothing, brands, styles...
×
Women
Men
Accessories
Summarizing Tools For Students
Search
Loading...
No suggestions found
সমাস অধ্যায় - LO:EL I LE Inr SSI3Z 109X OAIA - Studocu
studocu.com
Gilada Finance & Investments Limited announced that it has received INR ...
in.marketscreener.com
Summary Writing Frame
twinkl.co.in
Best summary generator for students - Bizglide.in
bizglide.in
Fourth Grade How To Summarize Writing Template - Twinkl
twinkl.co.in
Chapter Summary Worksheet | Reading Comprehension Strategies
twinkl.co.in
Summary Worksheet Worksheet | ELA | Twinkl USA - Twinkl
twinkl.co.in
Guide on How To Summarize Paragraphs Quickly
pdf.wondershare.com
How To Write A Summary Poster - Years 3-4 - English - Twinkl
twinkl.co.in
How Do We Summarize? Poster for 3rd-5th Grade (teacher made)
twinkl.co.in
Top 5 AI tools for learning maths effectively
digit.in
Student Self Assessment Sheets | Teaching Resources - Twinkl
twinkl.co.in
ESP32 3D Printed Robotic Arm Project | DIY Wireless Robotics Kit for S ...
kitkraft.in
An Automated Summarization Assessment Algorithm for Identifying ...
ai.updf.com
Class Observation Guide – How to Observe a Lesson – Template
twinkl.co.in
AI Tool to Summarize Scientific Articles & Research Papers in Seconds ...
lmssolution.net.in
50+ Making Inferences in Nonfiction worksheets for 8th Class on Quizizz ...
quizizz.com
ESL Student Self Assessment Forms [A1-C2]
twinkl.co.in
Guide on How To Summarize Paragraphs Quickly
pdf.wondershare.com
Top Tips for Succeeding at Middle School Poster - Twinkl
twinkl.co.in
Individual Work Self-Assessment Rubric (teacher made)
twinkl.co.in
Buy Copying and Summarizing: Possible Tools to Develop English Reading ...
amazon.in
Free Design and Presentation Tool for Students | Canva
canva.com
Identifying Literary Devices | Worksheet / Poster PDF
twinkl.co.in
Assessment Checklist for learning | Teacher Planning
twinkl.co.in
Self-Regulation Toolbox Worksheet (teacher made) - Twinkl
twinkl.co.in
+9 Best AI Tools For Thesis Writing in India for 2025
allaboutai.com
Tools Matching Activity, tools, builder, construction
twinkl.co.in
Seminar, Paper Presentation AND Discussion - 1.3 Seminar, Paper ...
studocu.com
macOS Sequoia takes productivity and intelligence on Mac to new heights ...
apple.com
Shape Your Business Acumen with BBA (Hons) | RV University
rvu.edu.in
Classroom Management Tools & Resources - Google for Education
edu.google.co.in
Microsoft Power Automate – Process Automation Platform | Microsoft
microsoft.com
Student Self-Reflection Sheet
twinkl.co.in
Holistic Progress Card Rubrics for Classes 1 to 10 | TLMWEB
tlmweb.in
Amazing uses and Benefits of Interactive Whiteboard for Education
promark.co.in
Bushfire Fact File
twinkl.co.in
Digital Times Worksheet / Worksheet (teacher made) - Twinkl
twinkl.co.in
Las mejores formas de gestión del tiempo para estudiantes
famisafe.wondershare.com
The Future of Learning: Top 5 AI Tools for Students in 2023
chitkara.edu.in
AI boost: 4 ways Copilot in Microsoft Teams improves meetings, hikes ...
tech.hindustantimes.com
Clinical Performance Evaluation Tool - Qsen - Fill and Sign Printable ...
uslegalforms.com
Buy Suture Practice Kit for Medical Students Suture Training Kit ...
ubuy.co.in
Self Regulation Free Printable Poster-1 - Practice self- reflection 1 2 ...
studocu.com
Pupil Progress Tracker Spreadsheet
twinkl.co.in
Effective Ways to Use Digital Smart Board for Teaching
promark.co.in
#summarizex #studysmarter #smartnotes #edtech #students | SummarizeX ...
linkedin.com
Supporting Pupils with Dyscalculia and Maths Difficulties
twinkl.co.in
Free Office 365 for Students and Educators | Microsoft Education
microsoft.com
Simplified Guide to Industrial Laws for Students: A Clear and Practica ...
commerciallawpublishers.com
Top AI tool for student career planning - Truscholar
truscholar.io
TEFCA Summary: Implications for Your Organization and Healthcare - Studocu
studocu.com
Dong-A Any Chalk Markers for Smooth Writing and Creative Displays ...
retailmaharaj.com
YPLUS All Surface Acrylic Marker Sets for Bold and Versatile Creations ...
retailmaharaj.com
Sharpie Glam Pop Permanent Markers Set of 12 for Vibrant and Bold ...
retailmaharaj.com
Dong-A Blackboard Marker Sets for Clear Writing and Classroom Use ...
retailmaharaj.com
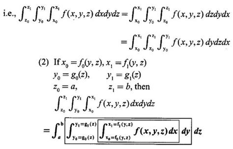
Triple Integral in Cartesian Coordinates - Worked Examples, Exercise ...
mech.poriyaan.in
Speech and Language Development Teacher Checklist - Twinkl
twinkl.co.in
Free Office 365 for Students and Educators | Microsoft Education
microsoft.com
Speedball Fabric Block Printing Inks for Vibrant and Lasting Fabric ...
retailmaharaj.com
Mont Marte Real Brush Pen Sets for Artistic Precision and Creative ...
retailmaharaj.com
DOMS Camo All in One Art Kit for Drawing Colouring and Creative ...
retailmaharaj.com
Speedball Acrylic Inks for Vibrant and Bold Artistic Creations | Retail ...
retailmaharaj.com
Mungyo Board and Glass Chalk Pens Pack of 12 for Clear Writing and ...
retailmaharaj.com
Card Board Scale Drafting Scale Paper Scale BY EFADECOR : Amazon.in ...
amazon.in
Dong-A Check Stick Red Marker for Clear Marking and Corrections ...
retailmaharaj.com
Buy How to Become a Cybersecurity Expert: Early Career Guide for Kids ...
amazon.in
Woodwork Word Cards (teacher made) - Twinkl
twinkl.co.in
Buy How to Become a Cybersecurity Expert: Early Career Guide for Kids ...
amazon.in
Mont Marte Acrylic Ink Sets for Vibrant and Professional Artwork ...
retailmaharaj.com
Online Switch 2 in 1 Starter Writing Sets for Smooth and Stylish ...
retailmaharaj.com
Buy How to Become a Cybersecurity Expert: Early Career Guide for Kids ...
amazon.in
Speedball Fabric Screen Printing Inks for Vibrant and Durable Prints ...
retailmaharaj.com
Still Life Painting Techniques Book by Sanjay Shelar for Art Students ...
retailmaharaj.com
Project – tagged "Robotics project for students" – Kitkraft
kitkraft.in
Using Kahoot! for Assessment: What Kahoot! can do for teachers and ...
amazon.in
Why Online Assessment is a great e-learning tool
iitms.co.in
MM Acrylic Paint Pens Broad Tip Marker Sets for Vibrant Art Creations ...
retailmaharaj.com
Mont Marte Artist Taklon Rigger Brushes for Fine Detail and Line Work ...
retailmaharaj.com
B.TECH (CSE) Student Result Summary - Roll No: 1783910023 - Studocu
studocu.com
30cm long cube rulers – Brainwave61
brainwave61.in
Alloy Resin Grip Cobra Design Laser Slingshot – TargetSlingshot
targetslingshot.com
What is a Classroom Interactive Board, and How Does it Work? – Smart ...
smartinfovision.shop
One-Size-Fits-All Education: A Critical Examination - 21K School India
21kschool.com
from the diary of anne frank throw a light on teacher student ...
brainly.in
Student's Life: Challenges, Opportunities, and Achievements
lingayasvidyapeeth.edu.in
DMS625: Summary of Introduction to Stochastic Processes - Studocu
studocu.com
How to Summarize Research Documents Instantly Using NotebookLM - Latest ...
newline.ng
Cleansing Action of Soaps and Detergents - Science Class 10 PDF Download
edurev.in
Angel Kiss Copper Tongue Cleaner for Adults & Kids | Fresh Breath Oral ...
amazon.in
ICT in Education: How it is Transforming Learning - LEAD School
leadschool.in
Transport System in India, Roadways in India, Indian Railways
indiaonline.in
Pathology Mnemonics: Key Concepts and Acronyms for Medical Studies ...
studocu.com
A TEXTBOOK OF PHARMACOLOGY FOR PHYSIOTHERAPY | Retail Maharaj
retailmaharaj.com
A TEXTBOOK OF MICROBIOLOGY FOR PHYSIOTHERAPY | Retail Maharaj
retailmaharaj.com
Maybelline SP Stay Vinyl Ink Hello Kitty Lipstick 130 Red Shade – WAFUU ...
wafuu.com
LLP Balance Sheet Format Free Download
vyaparapp.in
REALFORCE R4 Hybrid Tenkeyless Keyboard Variable Weight JP Layout Whit ...
wafuu.com
Xylem Notes - Key Functions and Components Summary - Studocu
studocu.com
REALFORCE R4 Hybrid Tenkeyless Keyboard Variable Weight JP Layout Whit ...
wafuu.com
About US – Whimzly
whimzly.com
Technology Uses Worksheet (teacher made) - Twinkl
twinkl.co.in
Final Project Summary - B.Tech in EEE at ABES Engineering College - Studocu
studocu.com
Mathematics II Course Summary - B. Tech. 1MH201 - Studocu
studocu.com
Maybelline SP Stay Vinyl Ink Hello Kitty Lipstick 130 Red Shade – WAFUU ...
wafuu.com
DHC Diamond Shape Facial Device D Moisture Gel 60g – WAFUU JAPAN
wafuu.com
Maybelline SP Stay Vinyl Ink Hello Kitty Lipstick 130 Red Shade – WAFUU ...
wafuu.com
Maybelline SP Stay Vinyl Ink Hello Kitty Lipstick 130 Red Shade – WAFUU ...
wafuu.com
FDP Summary Report: Key Learnings & Implementation Ideas - Studocu
studocu.com
Electric circuit and current - Summary Flashcards | Quizlet
quizlet.com
Gardening Tools Flashcards (teacher made) - Twinkl
twinkl.co.in
Revolutionise Your School with an Advanced School Management System
leadschool.in
DHC Diamond Shape Facial Device D-Clear Lotion 100mL – WAFUU JAPAN
wafuu.com
REALFORCE R4 Hybrid Full-Size Variable Weight Japanese Layout Keyboard ...
wafuu.com
REALFORCE R4 Hybrid Tenkeyless Keyboard 30g Japanese Layout Black R4HC ...
wafuu.com
Personal Hygiene Checklist for Students | PDF | Twinkl
twinkl.co.in
REALFORCE R4 Hybrid Full-Size Keyboard 45g US Layout Super White R4HB2 ...
wafuu.com
Aravali Securities & Finance Limited Announces Resignation of Ranjan ...
in.marketscreener.com
IIM Calcutta RTI Data 2024–26 | 92% CAT Cutoff Analysis
bschoolbuzz.in
ICT student textbook/Exploring symmetry with Geogebra - Open ...
teacher-network.in
Related Searches
Summarizing Tool
Summary Tool for Students
Summarizing Tool for University Students
Best Summarizing Tool
Summarizing Tool Online
Summarizing Document Tool
Comparison Tools for Students
Paraphrasing Summarizing Tool
Al Tools for Students
Summarizing Graphic Organizer
Summarizing Examples for Students
Summarizer Tool
Summarizing Tool Visual Highlighted Words
Summarizing Tool Io
Summarizing Tool Highlight Words
Paraphrasing Tool for Kids
Summarizing Tool PDF
Tools for Summarizing Research Paper
Importance of Summarizing for Students
Summarizing Rubric
Summarizing Tool Grade 7
Summarizing Techniques
What Is Summarizing for Students
How Does Summarizing Tool Work
Summarizing Template
Ways for Summarizing
Summarizing Activities for Students
Best RES Search Article Summarizing Tool
Types of Summarizing Techniques
Summarizing Units
Summary Tool Equipment
Summarizing Anchor Chart
Summary Graphic for Elementary Students
Summarizing Lesson for Elementary Students
Summarizing Instruction for Students
Summarizing Words for Essays
Rubric for Summarizing Text
5 Best Tools Graphic Tools
Summarize Visual for Students
Summarizing Activity
Summarizing Teaching Tools
Tagalog Summarizer Tool
Tool Making a Word Summary
Summarizing Tools for Kindergarten
Summarizing Strategy for Realisitic Fiction
Summarizing Exercises for College Students
Summarizing Activities for High School
Summarizing Methods for Kids
SAAC Summarizing Techniques for Students
Student Summarizing a Lesson
Search
×
Search
Loading...
No suggestions found