Find Your Style
Women
Men
Accessories
Search for clothing, brands, styles...
×
Women
Men
Accessories
Summation Symbol In Math
Search
Loading...
No suggestions found
Summation Formula, Definition, Solved Examples
pw.live
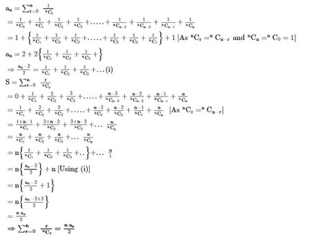
If an = Σ1/nCr , then Σr/nCr equals where summation is from r=0 to r=n ...
brainly.in
GP Formula- Sum of n Terms, Sum of Infinite GP
adda247.com
Sum of Infinite Terms of GP Formula Meaning and Examples
adda247.com
Mathematische Diagrammsymbole - Edraw
edrawsoft.com
If an = Σ1/nCr , then Σr/nCr equals where summation is from r=0 to r=n ...
brainly.in
How to evaluate the summation of r(r+1)(r+2)(r+3)? - Brainly.in
brainly.in
Sum To N Terms To A GP Formula: Definition, Solved Examples
pw.live
NOTES | Cambridge IGCSE® Mathematics
igcsemaths.in
Tutorial At Home
tutorialathome.in
Sum Of Cubes Formula, Definition, Proof, Examples
pw.live
Gp summation formula - Brainly.in
brainly.in
What is the Sum? - Maths Definition - Twinkl Teaching Wiki
twinkl.co.in
Summation of trigonometric series - Trigonometry And Differential ...
studocu.com
summation of (1/n) upto n terms - Brainly.in
brainly.in
Maths Symbols Cards
twinkl.co.in
What are the Meanings of All Math Symbols? - Twinkl
twinkl.co.in
If the sum of a1 + a10 = 50 for an A.P. Find the value of a1 + a2 ...
brainly.in
Maths Action Words PDF | Vocabulary Posters (teacher made)
twinkl.co.in
Find the summation formula for AGP - Brainly.in
brainly.in
let f(1)= 1 and f(n) 2 summation f(r) from r= 1 to n-1.find summation ...
brainly.in
Mathematical-symbols-479 - Creta Class
cretaclass.com
What is Set Mathematics? - Answered - Twinkl Teaching Wiki
twinkl.co.in
Sum To N Terms To A GP Formula: Definition, Solved Examples
pw.live
Maths Operations Symbols Flashcards
twinkl.co.in
In a class test, the sum of Moulika’s marks in Mathematics and English ...
brainly.in
Buy Methods for the Summation of Series (Discrete Mathematics and Its ...
amazon.in
Test the convergence of the infinite series summation n=1 to infinity ...
scoop.eduncle.com
Bounding Summations Formulas And Properties Related To Algorithms - A ...
studocu.com
Buy 12 Pieces Educational Math Symbols Bulletin Board Strips Set Math ...
desertcart.in
Buy 15 Pieces Educational Math s Set, 14×11 Inch Large Math Symbol s ...
desertcart.in
How to Add Sum Formula in MS-Word - MS-Word Tutorial
sitesbay.com
123 Images - Free Download on Freepik
freepik.com
What is an Addition Story? Sums for class 2 - Twinkl
twinkl.co.in
Maths-Addition and Subtraction-Cards:Repeated Addition to 20
twinkl.co.in
find compound interest paid when a sum is rupee 10000 is invested for 1 ...
brainly.in
Indian Currency Coins and Notes Word Mat (English/Hindi)
twinkl.co.in
Addition With Pictures Sum up to 20 Worksheets Adding Fish - Etsy India
etsy.com
Indian Money Recognition Matching Worksheets (English/Hindi)
twinkl.co.in
draw a complete flow chart of sum of two number - Brainly.in
brainly.in
AS & A LEVEL MATHEMATICS SYLLABUS (9709) | Cambridge IGCSE® Mathematics
igcsemaths.in
Pi Symbol SVG Pi Math Symbol SVG Greek Letter Pi Pi Symbol - Etsy India
etsy.com
Buy Dosmaxx 10 Large Educational Math s for Kids, Kindergarten ...
desertcart.in
maths addition sums sorry for giving questions so late ANY 5 SUMS SOLVE ...
brainly.in
What is the symbol of mean in statistics? - Brainly.in
brainly.in
A sum of rupees 8400 is made up of 50, 20, 10 and 5 rupee note. the ...
brainly.in
Mathematics in weaving- Pascal's triangle experiments! - Shuttles and ...
shuttlesandneedles.com
let f(1)= 1 and f(n) 2 summation f(r) from r= 1 to n-1.find summation ...
brainly.in
Circular Measure | Cambridge IGCSE® Mathematics
igcsemaths.in
Summation of Series (Dover Books on Mathematics) eBook : Jolley, L.B. W ...
amazon.in
Buy 12 Pieces Math Symbol s for Classroom,Laminted Math Keywords Math ...
desertcart.in
Buy 10 Sets Math s for Classroom, Educational Math s Laminated Math ...
desertcart.in
Algorithms: Bounding Summation
gateoverflow.in
Explain the significant of the Curl and state what exactly is the ...
brainly.in
Find the value of p3-q3,if p-q=5/7 and pq=7/3 - Brainly.in
brainly.in
Buy Hand Drawn Mathematics Clip Art/math Elements and Symbols/back ...
etsy.com
Buy JIACUO Montessori Math Materials Introduction to Decimal Symbols ...
desertcart.in
Trigonometry | Cambridge IGCSE® Mathematics
igcsemaths.in
TM vs R Symbol - Understanding the Key Differences
trademarkia.in
[Expert Answer] Develop an algorithm. flowchart and program to add two ...
brainly.in
Dr. Seuss math activity sheet by Learning Angels Resources | TPT
teacherspayteachers.com
Class 4 - Multiplication | Math Practice, Questions, Tests, Worksheets ...
in.edugain.com
IGCSE MATHEMATICS (0580) – VECTORS, MATRICES & TRANSFORMATIONS ...
igcsemaths.in
prove that 6+root 2 are irrational numbers - Brainly.in
brainly.in
A-LEVEL MATHEMATICS (9709) – TRIGONOMETRY | Cambridge IGCSE® Mathematics
igcsemaths.in
Q Method and Wahba's Problem - Satellite Wiki
aero.iitb.ac.in
Buy Summation of Infinitely Small Quantities Book Online at Low Prices ...
amazon.in
How-to turn off summarization on all table columns... - Microsoft ...
community.fabric.microsoft.com
13) sum of the first five natural numbers algorithm and flowchart ...
brainly.in
Find three consecutive odd integers whose sum is 87 - Brainly.in
brainly.in
Obtain all zeros of polynomial f(x) = 2 ⁴ + ³– 14 ² -19 -6 if two ...
brainly.in
Goyal ICSE Foundation Math for Class 8 - Latest for 2025-26 Session ...
thebookmasters.in
AS-LEVEL MATHEMATICS (9709) – TRIGONOMETRY | Cambridge IGCSE® Mathematics
igcsemaths.in
Acute angles Images - Free Download on Freepik
freepik.com
Draw a flowchart which computing sum average product of three numbers ...
brainly.in
IGCSE INTERNATIONAL MATHEMATICS (0607) – MENSURATION | Cambridge IGCSE ...
igcsemaths.in
Pasimy 15 Pcs Math Posters For Classroom Large Math Symbol | Desertcart ...
desertcart.in
Buy KANGneei Montessori Math Materials, Montessori Math Materials ...
desertcart.in
Buy Math Symbol Tree Watercolor Print Math Teacher Gift Math Art Gift ...
desertcart.in
Hess’s law of constant heat summation - THERMOCHEMISTRY Hess’s law of ...
studocu.com
cos (pi/4+theta)+cos(pi/4-theta)=√2cos theta - Brainly.in
brainly.in
LOGICAL REASONING (Revised Edition) By Dr.R.S.Aggarwal
bookspell.co.in
What is (6x10^2)/(3x10^-5) in standard form? - Brainly.in
brainly.in
write a algorithm and flowchart for factorial of a number - Brainly.in
brainly.in
Windows 7 ή 8.1 για TOSHIBA SATELLITE C75D-A7102 17.3'' AMD A6-5200M ...
adslgr.com
Sprite Memes - Worst Jokes Ever
worstjokesever.com
AS-LEVEL FURTHER MATHEMATICS (9231) – EQUILIBRIUM OF A RIGID BODY ...
igcsemaths.in
Home Tab in Excel - Excel Tutorial
sitesbay.com
Q1) Perimeter of an equlateral triangle is 60 cm . Find each side ...
brainly.in
GST Example Sum - 3 in Tally Prime Tamil
tutorjoes.in
50+ factoring worksheets for 11th Class on Quizizz | Free & Printable
quizizz.com
Indian institute of Technical Education
iite.in
Entity-Relationship (ER) Diagram Symbols and Notations | EdrawMax
edrawsoft.com
Maruti dealers and showrooms in Ahmedabad | Kiran Maruti
kiranmotors.co.in
the product of two consecutive positive integer is 306. We need to find ...
brainly.in
Buy 4 Pieces MATH s Teacher s For Classroom Math s For Middle and High ...
desertcart.in
Buy HELAKU Math Flash Cards - Multi Math Flashcards for Kids Set of 4 ...
desertcart.in
Maruti Wagon R Price, Specs, Images, Colours & Reviews
autovista.in
Bulk SMS for Schools | Bulk SMS Templates for Schools
smsgatewaycenter.com
Math Riddles: Find Missing Numbers in these Tricky Logic Math Puzzles
jagranjosh.com
Superior Hydraulic Construction Excavator EX200 Infra | Tata Hitachi
tatahitachi.co.in
Cos'è un diagramma di tubazioni e strumentazione (P&ID)
edrawsoft.com
Buy Kindergarten Math Activity Workbook: For Kindergarten and Preschool ...
desertcart.in
In the given figure, what is the measure of angle X - Brainly.in
brainly.in
solve this pls i need it for tomorrow - Brainly.in
brainly.in
A number consists of two digit number is 9 If 9 is subtracted from the ...
brainly.in
Exact Boundary Correction Methods for Multivariate Kernel Density ...
mdpi.com
A =90°, angle B=90°,OB=4.5cm,OA=6CM and AP=4cm.find theQB - Brainly.in
brainly.in
Buy Ramsons Imports U.S. Marine Corps Emblem 12" Round Metal Sign, Made ...
desertcart.in
Yourstudy
yourstudy.org.in
@ladyraeofsunshine Nude Updates To Private Media #768
superadmin.kalaignarcentenarylibrary.tn.gov.in
Absolute - bg3.wiki
bg3.wiki
solve this pls i need it for tomorrow - Brainly.in
brainly.in
The Magic of Math: Figure It Out
magicofmath.net
EX 200 Infra - Price & Specifications: Superior Hydraulic Construction ...
tatahitachi.co.in
The Rise of the BJP: Buy The Rise of the BJP by Yadav Bhupender at Low ...
flipkart.com
rent statement letter Forms and Templates - Fillable & Printable ...
pdffiller.com
Hero Honda Karizma R - JungleKey.in Image
junglekey.in
SFD BMD Problems ggg - Studocu
studocu.com
Adventures of a Java programmer in ChatGPT land (part 1) - TheJavaGuy ...
thejavaguy.org
Related Searches
Summation Sign
Total Sum Symbol
Mean Math Symbol
Symbol for Summation
Sum Greek Symbol
Summation Symbol in Word
Multiplication Summation Symbol
Vector Symbol Math
Sigma Summation Symbol
Summation Notation Symbol
Summation Logo
Opposite Math Symbol
Average Math Symbol
Summation Symbol PNG
Mode Symbol Math
Einstein Notation
E Sum Symbol
Summation Equation
Sigma Notation Worksheet
Operator Symbol Math
Summation Icon
Weird E Symbol in Math
Summation Symbol Handwritten
Summation Symbol Graphics
So Math Symbol
AutoSum Symbol
Z Symbol Math
Geometric Sequence Summation Formula
Sum of Numbers Symbol
Power Symbol Math
Summation Clip Art
Greek Alphabet Sigma
Summation Examples
Z Mathematical Symbol
Statistics Sum Symbol
Omni Symbol Math
Multiplication Symbol Like Summation
Math Function Symbols
Divide a Summation Symbol
Advanced Math Symbols
Partial Sum Equation
Logic Math Sum Symbol
Basic Math Symbols
Geometric Series Sigma Notation
Arithmetic Sequence Sigma Notation
Math Symbols Chart
Signs in Math
Sum of All Numbers Symbol
Mathematic Symbol for Total
Summation Symbol Teaching
Search
×
Search
Loading...
No suggestions found