Find Your Style
Women
Men
Accessories
Search for clothing, brands, styles...
×
Women
Men
Accessories
Swot Matrix 3x3
Search
Loading...
No suggestions found
INR Full Form: What is full form of INR?
bankersadda.com
Buy Matrix Gianni Double Bed Comforter from Home Centre at just INR 5999.0
homecentre.in
Buy Matrix Delano Cushion Cover- Set of 2 from Home Centre at just INR ...
homecentre.in
Buy Matrix Solid Bobble Trimmed Throw from Home Centre at just INR 1399.0
homecentre.in
Buy MATRIX Printed Single Bed Blanket from Home Centre at just INR 1999.0
homecentre.in
Buy Matrix Embellished Cushion Cover from Home Centre at just INR 800.0
homecentre.in
Masala Oats+ | Tata Soulfull | INR 209/- only
soulfull.co.in
Buy Matrix Flint Double Bed Comforter from Home Centre at just INR 5999.0
homecentre.in
Buy Matrix Flint Double Bed Comforter from Home Centre at just INR 5999.0
homecentre.in
Analysis: The INR Has Weakened Again. Good Or Bad?
freepressjournal.in
Buy Matrix Floral Print Double Blanket from Home Centre at just INR 2299.0
homecentre.in
Gensol and Matrix Win INR 164 Crore EPC Contract for India’s First ...
gleaf.in
SWOT Analysis Guide for Launching a Specialized Engineering Team ...
blog.digitalelectronics.co.in
SWOT Analysis: How To Do One [With Template & Examples] - Blog
appsmanager.in
SWOT Analysis: How To Do One [With Template & Examples] - Blog
appsmanager.in
How to Do a SWOT Analysis (2021 Playbook + Template) - Shopify India
shopify.com
Was ist eine persönliche SWOT-Analyse? | Lucidchart Blog
lucidchart.com
SWOT-Analyse einfach erstellen inkl. Vorlage kostenlos
magazine.zandura.com
Infrajob title
infrajob.in
Achieving a Sustainable Development Process by Deployment of Solar PV ...
mdpi.com
IPL 2026: SWOT analysis of Delhi Capitals - strengths, weaknesses ...
msn.com
Chennai Super Kings SWOT Analysis 2026 | IPL 2026 Chennai Super Kings ...
doonited.in
Are electric vehicles a sustainable & amp; disruptive business model?
taxguru.in
SWOT Analysis: How To Do One [With Template & Examples] - Blog
appsmanager.in
NIV SWOT
nivapps.com
SWOT Analysis Example for Small Business - Tips & Ideas | Edraw
edrawsoft.com
How to find the inverse for a 3x3 matrix? - Brainly.in
brainly.in
HarVa - Consultancy - Parallel Pyramid
harva.co.in
HCL Technologies Case Study: Financials, KPIs, And SWOT Analysis ...
pocketful.in
BSE Case Study: Business Model And SWOT Analysis - Pocketful
pocketful.in
Yes Bank Case Study: Business Model, and SWOT Analysis - Pocketful
pocketful.in
SWOT Analysis: The Guide to Doing It Right | Salesforce India
salesforce.com
Swot analysis Icons & Symbols
flaticon.com
Bikaji Foods Case Study – Financial Statements, and Swot Analysis
pocketful.in
How To Do 3x3 Cube Solve Reconstructions With Good Analysis
cubelelo.com
SWOT Analysis: The Guide to Doing It Right | Salesforce India
salesforce.com
Classic video on inverting a 3x3 matrix part 2 Video Lecture ...
edurev.in
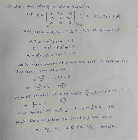
Let a be a 3x3 upper triangular matrix with real entries. if a,1 =1,a22 ...
scoop.eduncle.com
How To Do 3x3 Cube Solve Reconstructions With Good Analysis
cubelelo.com
Determinants Formula, Definition, Calculation, Properties, Rules, Notes
pw.live
Calculating Determinant for a 3x3 Matrix Video Lecture - Mathematics ...
edurev.in
How To Do 3x3 Cube Solve Reconstructions With Good Analysis
cubelelo.com
Write a Program to Add two 3x3 Matrix using C
blog.sumitkar.in
IPL 2026: SWOT analysis of Royal Challengers Bengaluru - strengths ...
msn.com
How To Do 3x3 Cube Solve Reconstructions With Good Analysis
cubelelo.com
How To Do 3x3 Cube Solve Reconstructions With Good Analysis
cubelelo.com
How to find eigenvalues and eigenvectors of a 3x3 matrix? - Brainly.in
brainly.in
IPL 2026: SWOT analysis of Lucknow Super Giants - strengths, weaknesses ...
msn.com
Bajaj Auto Case Study: Business Model, and SWOT Analysis - Pocketful
pocketful.in
Inverse Matrix Formula: Examples, Properties, Method
pw.live
Bajaj Auto Case Study: Business Model, and SWOT Analysis - Pocketful
pocketful.in
Bajaj Auto Case Study: Business Model, and SWOT Analysis - Pocketful
pocketful.in
Finding Adjoint of a 3x3 Matrix Video Lecture - Mathematics (Maths ...
edurev.in
What is a Competitor Analysis? How to Identify Competitors & Research ...
sitechecker.pro
Goal Setting करने के लिए SWOT Analysis कैसे करते है ?[ SWOT Analyses ...
moralmantra.in
Matrix Multiplication: Process, Properties & Calculator | AESL
aakash.ac.in
How To Do 3x3 Cube Solve Reconstructions With Good Analysis
cubelelo.com
Buy SWOT Powerpoint Fully Editable Templates Swot Charts Powerpoint ...
etsy.com
Online Engineering Videos for Design of Structural Analysis-II
magicmarks.in
Skills Matrix Template – ITSM Docs - ITSM Documents & Templates
itsm-docs.com
How to get Better at the Last layer in 3x3 (Using just OLL and PLL)
cubelelo.com
SWOT Analysis- A Strategic Management Tool
taxguru.in
How To Do 3x3 Cube Solve Reconstructions With Good Analysis
cubelelo.com
How To Do 3x3 Cube Solve Reconstructions With Good Analysis
cubelelo.com
How To Do 3x3 Cube Solve Reconstructions With Good Analysis
cubelelo.com
Pestle Analysis Examples Pestle Analysis, Pestel Analysis,, 53% OFF
rajatnayarastrologer.com
Buy GAN 12 MagLev UV Coated, GAN 12 M MagLev 2022 Flagship 3x3 Magnetic ...
ubuy.co.in
Palantir’s SWOT analysis: ai leader’s stock soars amid valuation ...
in.investing.com
SWOT analysis and no family interference, Sasi’s key strategies to ...
dtnext.in
GANZ LEBENDIG SEIN: Die 9-Felder-Matrix – Das 3x3 der Lebensenergie ...
amazon.in
Shopify analytics and reporting - Shopify India
shopify.com
Beginner's Method to Solve a 3x3 Cube
cubelelo.com
The Screen Print Man: SWOT analysis of industrial screen printing ...
printweek.in
How Much Has Indian Rich Donated? Top 10 Philanthropists With Most ...
zeenews.india.com
BREAK-EVEN ANALYSIS: Break-even point, Determinants of BEP, Break-even ...
amazon.in
Buy Matrix Embroidered Filled Cushion - 40x40 cm from Home Centre at ...
homecentre.in
Build An Epic Career
buildepiccareer.com
Buy Meadowas White Printed Melamine Serving Tray - 3.2x27.3x3.5cm from ...
homecentre.in
How To Do 3x3 Cube Solve Reconstructions With Good Analysis
cubelelo.com
Buy Matrix Floral Semi-Blackout Window Curtain - 135 x 160 cm from Home ...
homecentre.in
SWOT Analysis of Samsung (2019) — Teletype
teletype.in
Building Construction Rate Analysis Excel | Building Cost Estimating
constructioncivilengineering.com
Forex Trading in India: How To Trade Currencies Legally
daytrading.com
Buy Matrix Panama Cushion Cover- Set of 2 - 40 x 40 cm from Home Centre ...
homecentre.in
Let a and b be 2x2 matrices over the real field. let det a and det b ...
scoop.eduncle.com
RSPM - RSPM Manual - 276 Psychology—XII RAVEN'S STANDARD PROGRESSIVE ...
studocu.com
3BL acquires global exclusive rights of FIBA 3x3 Fantasy Games | More ...
timesofindia.indiatimes.com
Buy Matrix Panama Cushion Cover- Set of 2 - 40 x 40 cm from Home Centre ...
homecentre.in
Buy Matrix Abode Jacquard Door Curtain - 135 X 225 CM from Home Centre ...
homecentre.in
How to Memorize Speedcube Algorithms Faster - Cubelelo
cubelelo.com
USD/INR analysis as YES Bank analyst predicts Indian rupee rebound By ...
in.investing.com
IPS Salary: Detailed Analysis of Pay, Perks, and Growth in 2025
collegesearch.in
USDINR – Is It A Price Action Pullback Or Shakeout ? | Investing.com India
in.investing.com
Buy Roxenda Speed Cube Set, Speed Cube Pack of 2x2 3x3 4x4 5x5 Megaminx ...
ubuy.co.in
Convolutions: Image convolution examples - AI Shack
aishack.in
School of Stocks - Technical Analysis of Currencies
fyers.in
Buy Matrix Printed Cotton King Size Fitted Sheet-Set Of 3 Pcs. from ...
homecentre.in
International Trade Settlement in Indian Rupee (INR)
taxguru.in
Matrices Formula: Definition, Properties, Types, Solution, Examples
pw.live
Amdocs’s SWOT analysis: emerging tech firm’s stock shows resilience By ...
in.investing.com
Buy Matrix Blackout Door Curtain-Set Of 2 Pcs. from Home Centre at just ...
homecentre.in
Buy Matrix Embellished Cushion Cover- 40 x 40 cm from Home Centre at ...
homecentre.in
Buy Drift Gear 3x3 Cube | Unique Rugged Magic Puzzle | Cubelelo
cubelelo.com
ISO Tree
kunziteindia.com
Senzense Corporation - Matrix MLM Software Demo Plan
matrix.senzense.com
11 Cool 3x3 Speed Cube Patterns With Notations | Atharva Bhat
cubelelo.com
Buy Solving The 3x3 Rubik’s Cube: Rubik’s Cube 3x3 Solution Guide ...
desertcart.in
3. let v be the vector space of 2 x 2 matrices over k. let w be the ...
scoop.eduncle.com
Pestle Analysis: A Mechanism for Analysis of Businesses - Enterslice
enterslice.com
Buy Matrix Embellished Cushion Cover- 40 x 40 cm from Home Centre at ...
homecentre.in
Bar graph of education of nagaland and rajasthan for the past 5 years ...
brainly.in
Buy Matrix Embellished Cushion Cover- 40 x 40 cm from Home Centre at ...
homecentre.in
Buy Matrix Crystal Set of 2 Embroidered Semi-Sheer Window Curtains ...
homecentre.in
BlackRock Accumulates $518,000,000 in Bitcoin in One Day As BTC Tags ...
cryptopanic.com
RBI’s short USD/INR forward book remains stable- analysis By Investing.com
in.investing.com
Buy Bukefuno GAN 11 Air 3x3 Magic Speed Cube Puzzle Magic GAN11 Air 3x3 ...
ubuy.co.in
Load, Aim, Fire! Learn How To Shoot Like A Pro At Guns For Glory ...
lbb.in
Usi ed effetti collaterali del warfarin: cosa devi sapere
medicoverhospitals.in
Competitive Analysis With ChatGPT | RoyalBosS
courses.royalboss.in
Shengshou 3x3 Silver Mirror Cube - 3x3 Silver Mirror Cube . shop for ...
flipkart.com
Related Searches
SWOT and Matrix
SWOT Matrix Example
SWOT Confrontation Matrix
SWOT Matrix Table
SWOT Matrix Diagram
Contoh Matrix SWOT
Twiddle Matrix 3X3
Matrix Inverse for a 3X3
4 Matrix SWOT
Matrice SWOT
3X3 Projection Matrix
SWOT Matrix Template Free
Ajucate Matrix 3X3
SWOT Matrix Ombuigen
Wronskian of 3X3 Matrix
SWOT Matrix Hierarchy
3X3 Project Matrix
SWOT Bivariate Matrix
SWOT Matrix Quadranten
Disjoint of a 3X3 Matrix
Agile Matrix 3X3
Back Substitutions On a 3X3 Matrix
SWOT Prioritization Matrix
Matrix SWOT Bisnis Design
SWOT Matrix or Quadrant Diagram
Structure of the SWOT Matrix
3X3 Martix Box
Matrix Multiplication 3X2 2X3
3X3 Transition Matrix HIV
Capability Matrix Template
Ansoff Matrix 9
Matriz 3X3x3 WCM
Example of 3 Matrix Measurement Chart
Inverse of 3X3 Vector
Search
×
Search
Loading...
No suggestions found