Find Your Style
Women
Men
Accessories
Search for clothing, brands, styles...
×
Women
Men
Accessories
Tailgating In Same Direction Warning Sign
Search
Loading...
No suggestions found
Buy INDIGOS UG - Sticker - Safety - Warning - Do not Tailgate Sign ...
ubuy.co.in
Road Markings and Signs in Road Safety
mdpi.com
Traffic Signs | Motor Vehicle Department
mvd.kerala.gov.in
Road Signs Activity I Resource I Twinkl
twinkl.co.in
Traffic Signs in India: List of All Signs in India, Meaning and Symbols
godigit.com
140 Traffic Signs In India Traffic Signs Road Signs Traffic, 51% OFF
aic-prestigeinspirefoundation.in
Rainfall Warning In Odisha For Nov 17-18 As Low Pressure To Turn Into ...
odishatv.in
Traffic Signs In India: List Of Road Safety Signs To Follow, 46% OFF
iiitl.ac.in
15 warning signs on your car dashboard that you should never ignore ...
timesofindia.indiatimes.com
Warning Signs in The Closing Process - 1 HR CE Course, 1515 13th Street ...
allevents.in
- Problems Involving Crossing Of Trains Moving In Same Direction
abhyasonline.in
Health And Safety Warning Labels For The Classroom | Primary
twinkl.co.in
Attention Images - Free Download on Freepik
freepik.com
Buy 10 in. x 14 in. Security Cameras In Use Sign Online in India. 304304543
ubuy.co.in
ZooLex Image - Mock Warning Sign
zoolex.org
three elephants A,B,C are moving along a straight line with constant ...
brainly.in
Two cars A and B are moving in same direction with velocities 30 m / s ...
tardigrade.in
5 Warning Signs In Your Legs Of Potential Kidney Damage
msn.com
Kürek Sporu 2025
bahcehavuz.com
Paradise Lost: why recent island wildfires across Hawaii, Spain, Greece ...
cntraveller.in
[Video] Two trains are traveling in opposite direction at uniform speed ...
cracku.in
Two Pointers Technique in Java DSA
smartprogramming.in
The distance-time graph of two trains is given below. The trains start ...
brainly.in
Forward Biased PN Junction - Reverse Biased P-N Junction, PN Diode Symbol
ece.poriyaan.in
in same direction’: BJP leader shares ‘mischievous’ post, Congress MP ...
msn.com
Working Principle of Three Phase Induction Motor
eee.poriyaan.in
7 running horses painting vastu direction left
crafttrip.in
Newborn Warning Signs Parents Should Never Ignore
cocoon.co.in
Buy Induna Arts South Africa African Shona Art Kissing Giraffes Stone ...
ubuy.co.in
Magnetic Circuits
eee.poriyaan.in
Working Principle of Three Phase Induction Motor
eee.poriyaan.in
Kinematics - Rectilinear Motion - with Solved Example Problems
mech.poriyaan.in
7 Horse Vastu Direction: Best Placement for Career Success and ...
artfactory.in
Buy Induna Arts South Africa African Shona Art Kissing Giraffes Stone ...
ubuy.co.in
Solved Examples Based on Momentum Equation - Fluid Mechanics
mech.poriyaan.in
Patrick Mahomes Shoes | adidas US
adidas.com
ABOUT ABHYAS
abhyasonline.in
REFLEXES OF NEWBORN ~ Nursing Path
nursingpath.in
ABOUT ABHYAS
abhyasonline.in
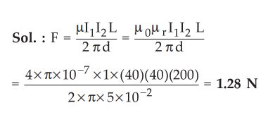
Force between Differential Current Elements - with Example Solved Problems
eee.poriyaan.in
Buy GLOBLELAND Pool Rules Swim at Your Own Risk No Exceptions Sign ...
desertcart.in
Stomach ulcers in children | BabyCenter
babycenter.com
[Video] What is the time difference between A and B? - Directions for ...
cracku.in
Class 8 Science Chapter 8 Question Answers - Force and Pressure
edurev.in
Warning Signs in your Routine. Spotting Mental Health Red Flags eBook ...
amazon.in
Kinematics - Rectilinear Motion - with Solved Example Problems
mech.poriyaan.in
Kinematics - Rectilinear Motion - with Solved Example Problems
mech.poriyaan.in
- Problems Involving Crossing Of Trains Moving In Opposite Direction
abhyasonline.in
Road markings
civil.iitb.ac.in
Warning Signs in Festive Season
artemishospitals.com
What does breast milk taste like? | BabyCenter
babycenter.com
Direction of force — lesson. Science CBSE, Class 9.
yaclass.in
World Suicide Prevention Day 2025: Psychiatrist Shares 5 Early Warning ...
thenationalbulletin.in
கூட்ட நெரிசல் மரணங்கள்: எச்சரிக்கை மணி! | stampede deaths giving a ...
hindutamil.in
Why do two wires with current flowing in the same direction attract ...
brainly.in
Force Systems - Engineering Mechanics
mech.poriyaan.in
Types of Rolling Mills
mech.poriyaan.in
Uniform Plane Waves in Lossy Dielectric - Electromagnetic Waves
eee.poriyaan.in
Sign Board - Industrial Emergency Light Trader - Wholesaler ...
vedantcorp.in
Two short bar magnets each of magnetic moment of 9 Am 2 are placed such ...
tardigrade.in
Buy Induna Arts South Africa African Shona Art Kissing Giraffes Stone ...
ubuy.co.in
Three coils are placed infront of each other as shown currents in 1 and ...
allen.in
Classification of Gears - Gears and Gear Trains - Theory of Machines
mech.poriyaan.in
Magnetic Circuits
eee.poriyaan.in
NCERT Exemplar: Motion in a Straight Line - Physics Class 11 - NEET PDF ...
edurev.in
Types of belt drives - Friction in Machine Elements - Theory of Machines
mech.poriyaan.in
Solved Examples Based on Momentum Equation - Fluid Mechanics
mech.poriyaan.in
A closed circuit is in the form of a regular hexagon of side r. If the ...
allen.in
Chapter 2: Problems On Trains
abhyasonline.in
A situation is shown in which two objects A and B start their motion ...
allen.in
if two forces of 150N and 250N applied on a block in same direction ...
brainly.in
Buy Safety Posters Online - Safety Signs, Informative Boards, Area ...
buysafetyposters.com
Three travelling waves in same direction are superimposed. The ...
tardigrade.in
નાના બાળકોમાં જો દેખાય આ લક્ષણો તો થઈ જાઓ સાવધાન, તરત જ બતાવો ડૉક્ટરને ...
gujarati.news18.com
Uniform Plane Waves in Lossy Dielectric - Electromagnetic Waves
eee.poriyaan.in
Stomach ulcers in children | BabyCenter
babycenter.com
Solved Example & Practice Problems: Magnitude of resultant
mech.poriyaan.in
Vernier Scale - Engineering Graphics (EG)
mech.poriyaan.in
Rainfall Warning In Odisha For Nov 17-18 As Low Pressure To Turn Into ...
odishatv.in
Buy SCP Foundation All Warning Signs Collection Digital Wall Art NFT ...
etsy.com
Magnetic Circuits
eee.poriyaan.in
[Solved] If both are moving in same direction and the submarine is ...
cracku.in
Force between Differential Current Elements - with Example Solved Problems
eee.poriyaan.in
SPONSORED The Place: Suicidal Warning Signs in Children
ky3.com
PSA: If you notice this subtle warning sign in your baby's photos, call ...
babycenter.com
Class 8 Science Chapter 8 Question Answers - Force and Pressure
edurev.in
Understanding Tetanus - Causes, Symptoms and Treatment
babymd.in
No jail for alcohol statutory warning violators in films
spiritz.in
Identifying Asthma Warning Signs in Adults and Children
tatvacare.in
Leading Direction Sign Boards Manufacturers in Delhi| Alpha Signs
alphasigns.in
Displacement Current Density and Displacement Current
eee.poriyaan.in
Two circular loops having same radius [ R = 10 cm] and same current `(7 ...
allen.in
When two act in same direction the net force acting two force - Brainly.in
brainly.in
Displacement Current Density and Displacement Current
eee.poriyaan.in
Speed Time and Distance Tips and Tricks for Government Exams
edurev.in
Autoglow Safety Signs - Mandatory Safety Signs Wholesale Trader from Mumbai
safenessquotient.in
Types of belt drives - Friction in Machine Elements - Theory of Machines
mech.poriyaan.in
SATHEE: Biomolecules
sathee.iitk.ac.in
Two trains each of length 50m. are running with constant speeds on ...
allen.in
two cars are moving in the same direction with the samevelocity of 30km ...
brainly.in
Uniform Plane Waves in Lossy Dielectric - Electromagnetic Waves
eee.poriyaan.in
Force between Differential Current Elements - with Example Solved Problems
eee.poriyaan.in
Fluid Dynamics - Mechanics and General Properties of Matter - Physics ...
edurev.in
Early Warning Signs in Complex Projects eBook : Klakegg, Ole Jonny ...
amazon.in
Buy Eaton 207312 Safety Switch 3P+N, 25 A, Emergency Stop Function ...
desertcart.in
Buy BIGGEST DCK IN THE BAND Warning Sign huge rock & roll music drum ...
ubuy.co.in
- Problems Involving Moving Train And Moving Person
abhyasonline.in
(a) Define torque acting on a dipole moment p Placed in a uniform ...
brainly.in
2 person are 16 km apart. they start walking at the same time towards ...
edurev.in
Types of Rolling Mills
mech.poriyaan.in
1) A man is facing West. He turns 450 in the clockwise direction and ...
brainly.in
Depict the magnetic field lines due to two straight, long parallel ...
wiredfaculty.com
If two parallel straight conductors P and Q carrying current of 5A and ...
brainly.in
A body is under the action of two forces 7N and 10N .find the resutant ...
brainly.in
- Problems Involving Train Crossing Bridge or Platform
abhyasonline.in
Kinematics - Rectilinear Motion - with Solved Example Problems
mech.poriyaan.in
Rahul kumar tailor
rahulkumartailor.in
Three travelling waves in same direction are superimposed. The ...
tardigrade.in
Introduction to Kinematics and Relative Velocity Class 11 Notes | EduRev
edurev.in
Force between Differential Current Elements - with Example Solved Problems
eee.poriyaan.in
Search
×
Search
Loading...
No suggestions found