Find Your Style
Women
Men
Accessories
Search for clothing, brands, styles...
×
Women
Men
Accessories
Tardigrade Hand
Search
Loading...
No suggestions found
Nita Ambani's pricey Birkin bag is worth INR 3.2 crore
lifestyleasia.com
Uttarakhand: INR 100 crore rafting base station to be developed in ...
travel.economictimes.indiatimes.com
In the given figure of human hand pedigree analysis is given In the ...
tardigrade.in
Science and Technology: December 2024 UPSC Current Affairs PDF Download
edurev.in
'3 Body Problem': What do the aliens actually look like? - Blog
appsmanager.in
Isro is sending water bears to Space Station with Axiom-4 mission: What ...
msn.com
Equation of the hour hand at 4 O' clock is - Tardigrade
tardigrade.in
Identify the figures.
tardigrade.in
What Humans Need To Learn From The Animal That Survived All 5 Mass ...
indiatimes.com
Refer to the diagram given below and identify A and B.
tardigrade.in
Meet the Tardigrade – Earth’s Toughest Micro-Animal | JAIN College Blog
jaincollege.ac.in
These 'indestructible' tardigrades may be alive on the Moon ...
economictimes.indiatimes.com
Filiform apparatus - Tardigrade
tardigrade.in
Tardigrades
studyiq.com
Shubhanshu Shukla to take tardigrades on ISS mission; what are they ...
msn.com
Select the incorrect option after identifying the figure.
tardigrade.in
Identify A to D given in the figure - Tardigrade
tardigrade.in
Recognise the figure and find out the correct matching
tardigrade.in
Tardigrades : Owen, Ruth: Amazon.in: Books
amazon.in
Recognise the figure and find out the correct matching
tardigrade.in
Buy Tardigrade Plush Ugly Water Bear Stuffed Animal Plush Doll Weird ...
ubuy.co.in
- Tardigrade
tardigrade.in
What Humans Need To Learn From The Animal That Survived All 5 Mass ...
indiatimes.com
- Tardigrade
tardigrade.in
- Tardigrade
tardigrade.in
- Tardigrade
tardigrade.in
In the F2 generation of a Mendelian dihybrid cross, the number of ...
tardigrade.in
- Tardigrade
tardigrade.in
- Tardigrade
tardigrade.in
- Tardigrade
tardigrade.in
- Tardigrade
tardigrade.in
- Tardigrade
tardigrade.in
- Tardigrade
tardigrade.in
- Tardigrade
tardigrade.in
- Tardigrade
tardigrade.in
Science Penguin / A Different Kind of Giant / Tardigrade / Small Talk ...
allevents.in
tardigrade Kurs: Cena TARDI na żywo dzisiaj | Analiza kapitalizacji ...
bybit.com
- Tardigrade
tardigrade.in
- Tardigrade
tardigrade.in
If frictional force is neglected and girl bends her hand, then ...
tardigrade.in
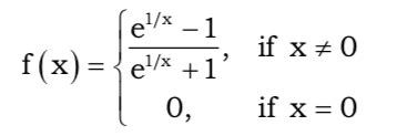
The right hand and left hand limit of the function are respectively
tardigrade.in
Tardigrades
tardigrades.co.in
What Humans Need To Learn From The Animal That Survived All 5 Mass ...
indiatimes.com
- Tardigrade
tardigrade.in
- Tardigrade
tardigrade.in
- Tardigrade
tardigrade.in
What is the function of germ pore? - Tardigrade
tardigrade.in
Tardigrades—The most robust organisms on Earth | Research Matters
researchmatters.in
- Tardigrade
tardigrade.in
- Tardigrade
tardigrade.in
- Tardigrade
tardigrade.in
For the solenoids shown in the diagram (which are assumed to be close ...
tardigrade.in
- Tardigrade
tardigrade.in
Su Ayıları (Tardigrada)
msxlabs.org
- Tardigrade
tardigrade.in
- Tardigrade
tardigrade.in
- Tardigrade
tardigrade.in
- Tardigrade
tardigrade.in
- Tardigrade
tardigrade.in
The correct stability order, of the anions above, is:
tardigrade.in
- Tardigrade
tardigrade.in
- Tardigrade
tardigrade.in
- Tardigrade
tardigrade.in
- Tardigrade
tardigrade.in
- Tardigrade
tardigrade.in
- Tardigrade
tardigrade.in
- Tardigrade
tardigrade.in
The number of 4-digit integers in the closed interval [2022,4482 ...
tardigrade.in
Which compound has 3 chiral centres? - Tardigrade
tardigrade.in
In the given figure, identify the parts labelled A, B and C and select ...
tardigrade.in
- Tardigrade
tardigrade.in
- Tardigrade
tardigrade.in
- Tardigrade
tardigrade.in
- Tardigrade
tardigrade.in
- Tardigrade
tardigrade.in
- Tardigrade
tardigrade.in
- Tardigrade
tardigrade.in
- Tardigrade
tardigrade.in
Find the correct option
tardigrade.in
Limno-Terrestrial Tardigrada of Sub-Antarctic Islands—An Annotated Review
mdpi.com
Identify A to D in the following diagram. - Tardigrade
tardigrade.in
The given figure shows T.S. of:
tardigrade.in
When two resistances X and Y are put in the left hand and right hand ...
tardigrade.in
- Tardigrade
tardigrade.in
Which of the following is not applicable to the given figure?
tardigrade.in
- Tardigrade
tardigrade.in
In the given reaction, equilibrium lies largely to the right hand side ...
tardigrade.in
- Tardigrade
tardigrade.in
- Tardigrade
tardigrade.in
- Tardigrade
tardigrade.in
Compound (F) is
tardigrade.in
- Tardigrade
tardigrade.in
How Did The Tardigrades Survive The Crash Landing Of Beresheet ...
in.mashable.com
Compound (D) is:
tardigrade.in
- Tardigrade
tardigrade.in
What can be concluded from the given graph? - Tardigrade
tardigrade.in
- Tardigrade
tardigrade.in
Following diagrams (A) (B) represent
tardigrade.in
- Tardigrade
tardigrade.in
See the pBR322 diagram below to describe 'a' to 'b' Plasmid vector.
tardigrade.in
Compound (A) on reaction with NH 2 NH 2+ overset ominus OH is:
tardigrade.in
- Tardigrade
tardigrade.in
Given below is the diagrammatic section view of the ovary. Identify ...
tardigrade.in
In the given reaction sequence The product textC is
tardigrade.in
Four charges are placed at the circumference of the dial of a clock as ...
tardigrade.in
What will be the inhand salary for 25 lpa fixed pay? | Glassdoor Forum
glassdoor.co.in
Charming Blue And White Hand Embroidered Hairband
littlemuffet.in
In Dioscorea - Tardigrade
tardigrade.in
Figure ' B ' represents
tardigrade.in
Products | KGM Stone, India
kgmstone.in
जब तक सूरज रहेगा, तब तक जीवित रहेगा आठ पैरों वाला यह जीव... | Earth’s ...
ndtv.in
In the figure shown, a balloon is pressed against a wall. It is in ...
tardigrade.in
Equivalent capacitance between x and y is
tardigrade.in
Consider the function f(x)= begincases1, x ≤ 0 2, x>0 endcases Then ...
tardigrade.in
Number of nodes in above plot is
tardigrade.in
Identify 'X' from the diagram below.
tardigrade.in
The Three Little Tardigrades: A Slightly Scientific Fairy Tale : Fay ...
amazon.in
HAND WORKED GEORGETTE UNSTITCHED SALWAR SUITS - IHA 29992 – Iha Designs ...
ihadesigns.in
The intermediate (.A.) and product (.B.) are: (I)
tardigrade.in
Related Searches
Baby Tardigrade
Tardigrade Fan Art
Tardigrade Face
Tardigrade Tattoo
Tardigrade Mouth
Tardigrade On Finger
Tardigrade Animal
Tardigrade Brain
Tardigrade to the Human Eye
Tardigrade Diagram
Tardigrade Scary
Tardigrade Cute
Tardigrade Internal Anatomy
Tardigrade Habitat
Tardigrade Drawing
Tardigrade Sketch
Tardigrade Chinese
Tardigrade Family Guy
Tardigrade Tun State
Tardigrade Violin
Tardigrade Clip Art
Tardigrade Body
Tardigrade NASA
Tardigrade Ceramic
Tardigrade Eggs
Gordon Tardigrade
Tardigrade Stuffed Animal
Dead Tardigrade
Tardigrade with Bow
Person Holding a Tardigrade in Their Hand
Tardigrade Tie
Tardigrade Logo.png
Tardigrade Eyespot
Tardigrade Character
Tardigrade Arte
Tardigrade Sculpture
Tardigrade Broom
Tardigrade Pritnable
Tardigrade Insecte
Tardigrade Vision
Tardigrade Poem
Tardigrade House
Tardigrade Tatoos
Tardigrade Kawaii
Tardigrade Decoration
DIY Tardigrade Costume
Tardigrade Handicapped
Tardigrade Wallpaper
Biggest Tardigrade
Captain Tardigrade
Search
×
Search
Loading...
No suggestions found