Find Your Style
Women
Men
Accessories
Search for clothing, brands, styles...
×
Women
Men
Accessories
Teco Machinery
Search
Loading...
No suggestions found
TEMICO MOTOR INDIA PVT. LTD : TEMICO Motor India was established in ...
temico.co.in
漏電遮断器 - TLB Series RCBOs - TECO ELECTRIC & MACHINERY Co., Ltd. - AC / 三 ...
directindustry.com
TECO T-VERTER INVERTER 0.75KW 1HP E2-201-H1F | United Marine Services
unitedmarineservices.in
TEMICO MOTOR INDIA PVT. LTD : TEMICO Motor India was established in ...
temico.co.in
TECO-Westinghouse Office Photos | Glassdoor
glassdoor.co.in
TEMICO MOTOR INDIA PVT. LTD : TEMICO Motor India was established in ...
temico.co.in
TECO - Automation Spares Surplus Inventory | United Marine Services
unitedmarineservices.in
TEMICO MOTOR INDIA PVT. LTD : TEMICO Motor India was established in ...
temico.co.in
TEMICO MOTOR INDIA PVT. LTD : TEMICO Motor India was established in ...
temico.co.in
TECO T-VERTER INVERTER 0.75KW 1HP E2-201-H1F | United Marine Services
unitedmarineservices.in
Teco
teco.g11.co.in
TECO RHN-10K RHN10K Thermal Overload Relay -New #TE India | Ubuy
ubuy.co.in
TEMICO MOTOR INDIA PVT. LTD : TEMICO Motor India was established in ...
temico.co.in
DIN Rail Manufacturing Process
sulochana.in
TEMICO MOTOR INDIA PVT. LTD : TEMICO Motor India was established in ...
temico.co.in
TEMICO MOTOR INDIA PVT. LTD : TEMICO Motor India was established in ...
temico.co.in
Vibration Measuring Equipment - Vibration Consultancy Services Service ...
onyxpdminstruments.in
Taiwan Smart Machinery | Your Intelligent Partner
industry.meettaiwan.com
Material Handling | Types of Material Handling Equipment - MasterMover
mastermover.com
TEMICO INDIA PVT. LTD
temico.co.in
Used Teco Generator for sale. Teco - Westinghouse equipment & more ...
machinio.com
Short-circuit circuit breaker - TMS Series - TECO ELECTRIC & MACHINERY ...
directindustry.com
TEMICO MOTOR INDIA PVT. LTD : TEMICO Motor India was established in ...
temico.co.in
Electric Machinery Company - Turbogeneradores | Electric Machinery ...
weg.net
TEMICO MOTOR INDIA PVT. LTD : TEMICO Motor India was established in ...
temico.co.in
Electric Machinery Fundamentals (Asia Higher Education Engineering ...
amazon.in
TEMICO INDIA PVT. LTD
temico.co.in
Analysis of Electric Machinery and Drive Systems
bookswagon.com
ITMA - Textile and Garment Machinery Exhibition
nstands.com
TEMICO MOTOR INDIA PVT. LTD : TEMICO Motor India was established in ...
temico.co.in
Used Cat Pumps 45 for sale. Bass Cat equipment & more | Machinio
machinio.com
Powerful Excavators at India Stonemart 2022 | Tata Hitachi
tatahitachi.co.in
Electric Machinery-91-100 - 76 CHAPTER 2 Transformers EXAMPLE 2.! The ...
studocu.com
Now Heavy Machinery Goes Electric, With Hyundai, Cummins Unveiling An ...
indiatimes.com
Buy Electric Machinery Fundamentals (Power & Energy) Book Online at Low ...
amazon.in
Electrical Machinery (Fully Revised Edition 2021) : Dr. P.S. Bimbhra ...
amazon.in
Buy Electric Machinery Book Online at Low Prices in India | Electric ...
amazon.in
Electrical Machinery : P. S. Bimbhra: Amazon.in: Books
amazon.in
Fitzgerald Electric Machinery 6th ed-10 - 622 CHAPTER 11 Speed and ...
studocu.com
DOM ix Teco® (7TE) double cylinder
sullus.com
Jual Teco induction Motor 15 hp 11 kw 3 phase dinamo Teco 11 kw 15 hp ...
tokopedia.com
Buy NEW Teco CN-125R Magnetic Contactor 220V Online at Lowest Price in ...
ubuy.co.in
TECO-Westinghouse Office Photos
glassdoor.co.in
Electric Machinery and Transformers : Guru, Bhag S., Hiziroglu, H^D ...
amazon.in
Electric Machinery-47 - 4 4 6 C H A P T E R 8 Variable-Reluctance ...
studocu.com
Energies | Special Issue : Electric Machinery and Transformers III
mdpi.com
Electric Machinery-29 - 266 CHAPTER 5 Synchronous Machines 5. 4 S T E A ...
studocu.com
Hydro Electric Machinery
hydraulicpresses.in
Buy Electric Machinery Fundamentals Book Online at Low Prices in India ...
amazon.in
Buy FITZGERALD & KINGSLEY'S ELECTRIC MACHINERY Book Online at Low ...
amazon.in
Electric Machinery Fundamentals (Asia Higher Education Engineering ...
amazon.in
Buy Principles of Electric Machines and Power Electronics Book Online ...
amazon.in
Electric Machinery & Transformers, 2/E : Kosow: Amazon.in: Books
amazon.in
Buy Electric Machinery Book Online at Low Prices in India | Electric ...
amazon.in
Analysis of Electric Machinery and Drive Systems, 2ed : Paul C. Krause ...
amazon.in
Fiber Optic Fiber Bragg Grating Sensing for Monitoring and Testing of ...
mdpi.com
Hydro Electric Machinery
hydraulicpresses.in
Electrical Machines II - EE3405 Machine 2 EM 2 4th Semester EEE Dept ...
poriyaan.in
How to Build Dynamo-Electric Machinery; Embracing Theory Designing and ...
amazon.in
Buy Electric Machinery and Power System Fundamentals (Int'l Ed) Book ...
amazon.in
600 per cent returns in a year: This multibagger electric equipment ...
insights.dsij.in
TECO T-VERTER INVERTER 0.75KW 1HP E2-201-H1F | United Marine Services
unitedmarineservices.in
Buy Electric Machinery Book Online at Low Prices in India | Electric ...
amazon.in
Electric Machinery (MCGRAW HILL SERIES IN ELECTRICAL AND COMPUTER ...
amazon.in
C&S Electric - Electrical Equipment Manufacturer & Exporter
cselectric.co.in
Electric Machinery - Parts & Service | Field Services | WEG
weg.net
Electric Machinery - Parts & Service | Field Services | WEG
weg.net
Industrial Machinery Manufacturing | Autodesk
autodesk.com
TECO T-VERTER INVERTER 0.75KW 1HP E2-201-H1F | United Marine Services
unitedmarineservices.in
H Frame - Deep Draw Cushion Cum EjectorOur Work | Shree Hydraulic Press
shreehydraulicpress.in
Fitzgerald Electric Machinery 6th Ed: Magnetic Circuits Overview - Studocu
studocu.com
Buy Laboratory Operations for Rotating Electric Machinery and ...
amazon.in
Buy Electric machinery;: The processes, devices, and systems of ...
desertcart.in
Diesel generator set - Fuzhou Jet Electric Machinery Co., Ltd. - three ...
directindustry.com
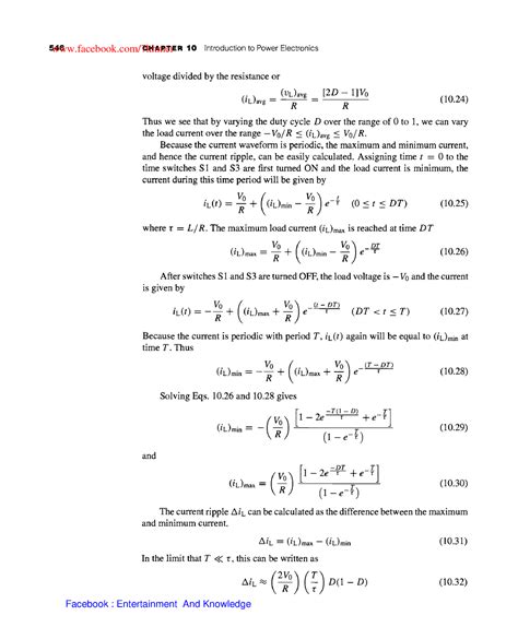
Electric Machinery-57 - 5 4 6 CHAPTER 10 Introduction to Power ...
studocu.com
ITL Presents New Tractor Range and Global Farm Solutions at ...
tractorguru.in
Electric Machinery-41 - 3 8 6 C H A P T E R 7 DC Machines Radially ...
studocu.com
Electric Machinery-13 - 1 0 6 C H A P T E R 2 Transformers 2 The ...
studocu.com
Machinery Breakdown Insurance(MBD) - EmedLife
emedlife.in
Buy Electric Machinery Book Online at Low Prices in India | Electric ...
amazon.in
4 electric machine prototypes to be unveiled by Caterpillar at Bauma
constructionworld.in
Electric Machinery-30 - 2 7 6 C H A P T E R 5 Synchronous Machines ...
studocu.com
Electric Machinery Company - Generadores Sincrónicos | Electric ...
weg.net
Analysis of Electric Machinery and Drive Systems, 2nd Ed: Buy Analysis ...
flipkart.com
Buy Dynamic Simulation of Electric Machinery: Using Matlab/Simulink ...
amazon.in
Electrical Grounding | CAG
cag.org.in
Electric Machinery-16 - 1 3 6 C H A P T E R 3 ElectromechanicaI-Energy ...
studocu.com
TECO T-VERTER INVERTER 0.75KW 1HP E2-201-H1F | United Marine Services
unitedmarineservices.in
Electrical engineering background Images - Free Download on Freepik
freepik.com
Project
web.iitd.ac.in
Electric Machinery-61-70 - 46 CHAPTER 1 Magnetic Circuits and Magnetic ...
studocu.com
Fiber Optic Fiber Bragg Grating Sensing for Monitoring and Testing of ...
mdpi.com
Buy Electric Machinery and Transformers Book Online at Low Prices in ...
amazon.in
Buy NIVOK Middle School Physics Experiment Box, Basic Electric Circuit ...
desertcart.in
Teco
whitecorals.com
TECO-Westinghouse Office Photos
glassdoor.co.in
Buy Electric Machinery and Transformers Book Online at Low Prices in ...
amazon.in
Buy Electric Machinery Fundamentals Book Online at Low Prices in India ...
amazon.in
Electrical Tools You Need for DIY Projects
prod.homeserve.com
Buy VEVOR 58 PCS Lockout Tagout Kits, Electrical Safety Loto Kit ...
desertcart.in
Our range of electric equipment will have a growing demand going ahead ...
constructiontimes.co.in
Buy Electric Machinery (McGraw-Hill Series in Electrical Engineering ...
amazon.in
Industrial Vacuum Cleaner - Wet & Dry Industrial Vacuum Cleaner ...
hafielektra.co.in
Home [www.patelems.co.in]
patelems.co.in
Water pumps with electric motor flat vector illustrations set ...
freepik.com
Electric Machinery-18 - 156 CHAPTER 3 ElectromechanicaI-Energy ...
studocu.com
New signal battalion uses expeditionary comms kit in first mission ...
army.mil
Buy Electric Machinery Fundamentals Book Online at Low Prices in India ...
amazon.in
MITSUBISHI EDM/LASER | MC Machinery systems India Private Limited
mcmachinery.in
Rotating Electric Machinery and Transformer Technology : Richardson ...
amazon.in
Automated Industrial Machinery Office Photos
glassdoor.co.in
Electric Machinery - Parts & Service | Field Services | WEG
weg.net
Material Handling-Equipment - Nilkamal Material Handling
nilkamalmaterialhandling.com
Buy K Gallery Electric Mixture Machine, 220-380 V (White) Online at Low ...
amazon.in
Justech 12v Heavy Duty Linear Actuator 330lbs 1500n 2inch 50mm ...
desertcart.in
Electric Machinery : Fitzgerald, A. E., etc.: Amazon.in: Books
amazon.in
Teco Authentication Form - Fill Online, Printable, Fillable, Blank ...
pdffiller.com
Electric Machinery - Parts & Service | Field Services | WEG
weg.net
Buy Metropolitan Vacuum Cleaner Datavac Esd Safe Electric Computer and ...
desertcart.in
Buy Electric Machinery Fundamentals (McGraw-Hill International Editions ...
amazon.in
Related Searches
Teco Energy Logo
Teco Motor
Peoples Gas
Tampa Electric
TECO Power
Teco Inverter
Teleco E Teco
Teco New Logo
Teco Air Conditioner
Teco Group
FPL Electric
Teco Logo.png
Teco Air Con
Teco Pottery
Teco Car
Teco Bill
Teco Plaza
Nameplate Teco
Teco Electric Motors
Teco SL
Manatee Viewing Center
TECO Line Editors
Teco Nails
TECO PGS
Teco service.Area Map
Teco Products
Teco Clean Energy
Teco Emblem
Teco USA
Teco Vase
Teco Logo Transparent
Teco Germany
Teco Authentication
Teco Bayside
Teco Teco Avião
Report Teco Power Outage
Teco 10
Teco Clips
Teco Chlor
Teco Address
Teco Polk Power Station
Teco Thermostat
Teco Asia
Teco Brackets
Teco 510
Brief Teco
Teco Pottery Marks
Teco Agency
Teco New Building
Teco Generator
Search
×
Search
Loading...
No suggestions found