Find Your Style
Women
Men
Accessories
Search for clothing, brands, styles...
×
Women
Men
Accessories
Teff Tpex And Tex
Search
Loading...
No suggestions found
Trident Aims for 3X Growth by 2027 with INR 1000 Crore CapEx Plan for ...
logicalindia.in
INR Full Form: What is full form of INR?
bankersadda.com
NIT Trichy Highest Package:INR 52.89 LPA & Average Package: INR 27.27 LPA
collegesearch.in
Cotton Fabric Starting INR 80, Kalanzian Tex | LBB, Chennai
lbb.in
The densities of two solid spheres [tex]A[/tex] and [tex]B[/tex] of the ...
brainly.in
TUFF TEX SPEAKER CABINET PAINT Paint Roller Price in India - Buy TUFF ...
flipkart.com
The ratio of the lengths of two wires [tex]A[/tex] and [tex]B[/tex] of ...
brainly.in
Two bodies of masses [tex]m₁[/tex] and [tex]m₂[/tex] are placed at a ...
brainly.in
Tuff Tex Eco Speaker Cabinet Paint - Water Resistant Semi Gloss ...
rajeshwaritools.com
Desafío Nacional: Operadores de Cosechadoras Inteligentes
deere.com
EA WITH TEF - Esophageal atresia with tracheo esophageal fistula ...
studocu.com
Consider the functions [tex]f(x)[/tex] and [tex]g(x)[/tex], both ...
brainly.in
TEF Canada Expression Ecrite - 600 Topics for Section A and B to ...
amazon.in
The complex numbers [tex]sinx+icosx[/tex] and [tex]cosx-isin2x[/tex ...
brainly.in
Probe'25
probe.nitt.edu
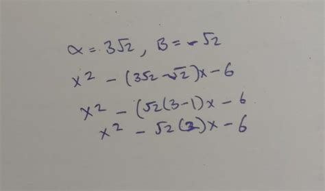
If [tex] \alpha [/tex] and [tex] \beta [/tex]are the zeroes of a ...
brainly.in
Hey. .....Let [tex]x = \sqrt{2 + \sqrt{2 + \sqrt{2 + .... \infty ...
brainly.in
Tuff Tex Eco Speaker Cabinet Paint - Water Resistant Semi Gloss ...
rajeshwaritools.com
Draw the graph of [tex]5x + 6y - 30 = 0[/tex] and use it to find the ...
brainly.in
Find a rational number between [tex]\sqrt\frac{1}{9}[/tex] and [tex ...
brainly.in
If [tex] \alpha [/tex] and [tex] \beta [/tex] are the zeroes of the ...
brainly.in
Two circles with centres O and O' of radii [tex]6 cm[/tex] and [tex]8 ...
brainly.in
Which is greater? [tex]\sqrt[3]{16}[/tex] and [tex]\sqrt[5]{8}[/tex ...
brainly.in
The points [tex](-4,0),(4,0)[/tex] and [tex](0,3)[/tex] are the ...
brainly.in
If [tex] \cos(\alpha) = \frac{4}{5} [/tex] and [tex] \alpha [/tex] is ...
brainly.in
If [tex] \alpha [/tex]and [tex] \beta [/tex] are different complex ...
brainly.in
Welcome to Screentex
screentex.in
Find three fractions between[tex] \frac{1}{7} [/tex]and [tex] \frac{2 ...
brainly.in
India To Host World's Largest Textiles Event, Bharat Tex 2024
currentaffairs.adda247.com
Rvp B Tex White Ointment 14 Gm - Uses, Side Effects, Dosage, Price ...
truemeds.in
Pex Tubing 2 Rolls Of Pex Tubing 1 2 Inch | Desertcart INDIA
desertcart.in
The area bounded by curves [tex]y=\cos x[/tex] and [tex]y=\sin x[/tex ...
brainly.in
The area bounded by [tex]y=-x^{2}+2 x+3[/tex] and [tex]y=0[/tex] is (1 ...
brainly.in
Lil'Goodness Assorted Supergrain Puffs - Tasty Teff & Quinoa Snack ...
amazon.in
In the given figure, [tex]\triangle \mathrm{ABC}[/tex] and [tex ...
brainly.in
The area bounded by the curve [tex]y=\cos x[/tex] and [tex]x[/tex]-axis ...
brainly.in
Indian Institute of Millets Research (IIMR)
millets.res.in
Nike Pegasus Trail 4 GORE-TEX Women's Waterproof Trail-Running Shoes ...
nike.com
Nike Pegasus Trail 5 GORE-TEX Men's Waterproof Trail-Running Shoes. Nike IN
nike.com
Super Tuff Tex 70 Upholstery Thrd Nylon Tex70 Natural : Amazon.in: Home ...
amazon.in
10 Excellent Vegan Protein Sources – gooddot
gooddot.in
Buy Brundo Spice Company | Gluten Free Teff Flour | Hand Picked ...
desertcart.in
In the given figure, AB is a tangent to the circle centered at O. If ...
brainly.in
Heya! If [tex]\alpha [/tex] and [tex]\beta [/tex] in the equation are ...
brainly.in
Solve the equation [tex] \frac{2}{3x} = 18[/tex]and check the result ...
brainly.in
Find the quadratic polynomial whose zeroes are[tex](5 + 2 \sqrt{3 ...
brainly.in
Find a real number between [tex]\frac{5}{9}[/tex] and [tex]\frac{6}{9 ...
brainly.in
Find the coordinates of the point which divides the join of [tex]A(-1,7 ...
brainly.in
find 9 rational number between [tex] \frac{3}{5} [/tex] and [tex] \frac ...
brainly.in
If [tex] \alpha [/tex] and [tex] \beta [/tex]are the roots of the ...
brainly.in
If two given APs are [tex]\tan \frac{\pi}{9}, x, \tan \frac{7 \pi}{18 ...
brainly.in
f if[tex]f'(x)=e ^{x} +20(1+ x^{2} ) {-1} [/tex]and[tex]f(0)=-2[/tex ...
brainly.in
If [tex] \alpha [/tex] and [tex] \beta [/tex]are the zeroes of a ...
brainly.in
Assume P lies outside circle O and [tex]\overline{\rm PA}[/tex] and ...
brainly.in
In Fig., if [tex] l\parallel m \parallel n [/tex] and [tex] \angle 1 ...
brainly.in
Using the division method, find the H.C.F. of the following: [tex]32 ...
brainly.in
Brundo Ethiopian Spices - Organic Ethiopian Teff India | Ubuy
ubuy.co.in
A quadratic polynomial, whose zeroes are [tex]-3[/tex] and [tex]4[/tex ...
brainly.in
There are three bags [tex]B_{1}, B_{2}[/tex] and [tex]B_{3}[/tex]. The ...
brainly.in
Suppose that the points [tex](h, k),(1,2)[/tex] and [tex](-3,4)[/tex ...
brainly.in
divide the sum of [tex]2 \times \frac{2}{5} [/tex]and [tex]1 \times ...
brainly.in
Buy Tef-Lube Aervoe 937 11oz. Rust Preventive Lubricant with PTFE ...
ubuy.co.in
Solve for x and y using cross multiplication method[tex]2x + 3y = 7 ...
brainly.in
If [tex]P[/tex] and [tex]Q[/tex] are the points on side [tex]C A[/tex ...
brainly.in
If [tex]\tan y=\frac{2 t}{1-t^{2}}[/tex] and [tex]\sin x=\frac{2 t}{1+t ...
brainly.in
if [tex] \alpha + \beta = \gamma [/tex]and [tex] \frac{ \tan( \alpha ...
brainly.in
If[tex] \sqrt{a \: } x \: - \sqrt{b} \: y = b - a[/tex]and [tex] \sqrt ...
brainly.in
If the sets [tex]A[/tex] and [tex]B[/tex] are defined as [tex] [tex ...
brainly.in
A consumer consumes only two goods [tex]X[/tex] and [tex]Y[/tex ...
brainly.in
If the area bounded by [tex]y=a x^{2}[/tex] and [tex]x=a y^{2} a ...
brainly.in
HOOR TEX HIT DESIGN HF-163 COLOURS BY HOOR TEX HF-163-A TO HF-163-C ...
fashidwholesale.in
Three vectors [tex]\vec{a}, \vec{b}[/tex] and [tex]\vec{c}[/tex ...
brainly.in
Réussir son examen d'expression orale du TEF - TEFAQ par une ...
amazon.in
Cayenne GTS | Porsche Car Configurator
configurator.porsche.com
Nike V2K Run GORE-TEX Women's Waterproof Shoes. Nike IN
nike.com
[tex]\huge{\mathcal{\underline{\boxed{\orange{ Question}}}}}[/tex]Let ...
brainly.in
Cayenne GTS | Porsche Car Configurator
configurator.porsche.com
Former boss of Diane McIver remembers her as a 'sassy, confident go ...
fox5atlanta.com
Nike Pegasus Trail 4 GORE-TEX Men's Waterproof Trail-Running Shoes. Nike IN
nike.com
pH values of [tex]\mathrm{HCl}[/tex] and [tex]\mathrm{NaOH}[/tex ...
brainly.in
Buy White and Grey Air Max 90 Shoes for Men Online | Superkicks
superkicks.in
Area inside the parabola [tex]y^{2}=4 a x[/tex], between the lines [tex ...
brainly.in
Both [tex]{[Co(NH3)6]}^{3+}[/tex] and [tex]{[CoF6]°{3-}[/tex] are ...
brainly.in
The equation of a circle which passes through the point [tex](1,-2 ...
brainly.in
Find five rational numbers between [tex] \frac{1}{2} [/tex]and [tex ...
brainly.in
Two circles with centres O and O' of radii [tex]6 cm[/tex] and [tex]8 ...
brainly.in
An equation of a tangent common to the parabolas [tex]y^{2}=4 x[/tex ...
brainly.in
if a/b +b/a = -1 then (a cube - b cube) = ? - Brainly.in
brainly.in
GST- Export to Nepal & Bhutan – Critical Questions Answered
taxguru.in
Form a polynomial whose zeroes are [tex]3\sqrt{2}[/tex] and [tex]-\sqrt ...
brainly.in
How many [tex]\sigma[/tex]-and [tex]\pi[/tex]-bonds are there in ...
brainly.in
Online Shopping Site for Women Western Wear in India – STREET NINE FASHIONS
street9.com
If[tex] \frac{2}{x} + 3y = 15[/tex]and [tex] \frac{5}{x} - 4y = 3[/tex ...
brainly.in
Nike Pegasus Trail 5 GORE-TEX Women's Waterproof Trail-Running Shoes ...
nike.com
In figure, if [tex]l1 \:parllel \: to \: l2[/tex]and [tex]l3 \:parllel ...
brainly.in
Kadamba Foundation - Teff Brochure
kadambafoundation.in
If [tex]\tan A + \tan B = a[/tex] and [tex]\cot A + \cot B = b[/tex ...
brainly.in
If [tex]A[/tex] and [tex]B[/tex] are two events such that [tex]P(A)=0.4 ...
brainly.in
Nike Pegasus Trail 5 GORE-TEX SP Men's Waterproof Trail-Running Shoes ...
nike.com
50,700 CHEAP FLIGHTS from Kolkata to Houston (CCU - HO1) | KAYAK
kayak.co.in
If [tex]a+b+c=0[/tex], and [tex]a, b, c \in R[/tex], then the roots of ...
brainly.in
Two concentric circles with center [tex]O[/tex] are of radii [tex]3 ...
brainly.in
the product of ([tex]\sqrt[5]{2} +3[/tex]) and ([tex]\sqrt[5]{2} -3 ...
brainly.in
OEKO-TEX® certificates and product labels for a sustainable future ...
hohenstein.in
Nike Pegasus 41 GORE-TEX Men's Waterproof Road Running Shoes. Nike IN
nike.com
Plz answer this fast - Brainly.in
brainly.in
Two particles of mass [tex]1 \mathrm{~kg}[/tex] and [tex]0.5 \mathrm ...
brainly.in
If cosec(alpha - beta)=2/√3 and sec(alpha + beta)=√2, find the least ...
brainly.in
form a polynomial whose zeroes are [tex]3\sqrt{2}[/tex] and [tex]-\sqrt ...
brainly.in
Determine the circle of curvature for the curve 2xy x y=4 at (1,1) and ...
brainly.in
find the quadratic polynomial whose sum and product of zeroes are [tex ...
brainly.in
General formula of alkene and alkane are (a) [tex]C_{n} H_{2 n}[/tex ...
brainly.in
please solve this question correctly - Brainly.in
brainly.in
Oeko-Tex Label - ENJO
enjo.com
Jeans – EPIC CLO OFFICIAL
epiccloofficial.com
What is the sum of the first 20 terms of an A. P., if a=4 and [tex] t ...
brainly.in
Q6 If [tex] \alpha [/tex] and [tex] \beta [/tex]are thee zeroes of the ...
brainly.in
Tangents are drawn to the hyperbola [tex]4 x^{2}-y^{2}=36[/tex] at the ...
brainly.in
India and Malaysia can now trade in Indian rupee
currentaffairs.adda247.com
Tex (Collezione) - index
texwillerrenger.altervista.org
Related Searches
Tpex
Tpex Progenitor Tex
Tpex Tex CD8 APD-1 Dc1
Tpex Tex CD8 APD-1 DC
APD-1 Mechanism Tex Tpex
TCF-1 Tpex
Tpex Texh Tme
Tmem Tpex
Tex Tpex T-cell Exhaustion Marker
Tpex Tex Cells
Tpex Tex CD8 APD-1
CD8 Tex Int Tpex
Tex Tpex T-cell Exhaustion
Tpex and T Tex
Search
×
Search
Loading...
No suggestions found