Find Your Style
Women
Men
Accessories
Search for clothing, brands, styles...
×
Women
Men
Accessories
Temario De Algebra Lineal
Search
Loading...
No suggestions found
INR Full Form: What is full form of INR?
bankersadda.com
Hauz Rani Market Home Decor Haul Under INR 2000 | LBB
lbb.in
Things To Buy At Miniso Under INR 300 | LBB
lbb.in
Masala Oats+ | Tata Soulfull | INR 209/- only
soulfull.co.in
Resound Linx 3D Rechargeable in Ghatkopar Hearing Aids at price INR 0 ...
speechtherapyclinics.in
Things To Buy At Miniso Under INR 300 | LBB
lbb.in
Levosulpiride Products at price INR 7000 in Ahmedabad | RAJVI ENTERPRISE
rajvibiotech.in
Buy Palazzos Under INR 250 At T Nagar | LBB, Chennai
lbb.in
Jewellery Under INR 349 Sale
lbb.in
By selling 60 ball pens for INR 96, Tarun makes a loss of 20%. How many ...
brainly.in
Diamond Addigai necklace Our Collections at price INR 626382 in Chennai ...
brilliantcut.co.in
DHL Supply Chain to invest INR 4000 crore in India in the next 5 years
itln.in
Jeep India Launches Wrangler Willys ‘41 Special Edition at INR 1.51 ...
autocarpro.in
Cheap Restaurants In Mumbai Under INR 100 | LBB, Mumbai
lbb.in
2024 06 10 13 37 23 - bba - ACCOUNT STATEMENT Closing Balance - INR ...
studocu.com
Mast Masala Oats | TATA Soulfull | INR 209/- only
soulfull.co.in
How to Buy USDT With INR and Store it Safely [2024 Guide] - Material ...
materialbitcoin.com
Jaipur girl wins joint scholarship worth INR 6 million by Deakin ...
freepressjournal.in
Green Jamdani Saree With Allover Weaving - INR 4200/- Charukriti
charukriti.co.in
Should I Buy Crypto in USD or INR on Binance? | Voice Of Crypto on ...
binance.com
Shiba Inu price today, SHIB to INR live price, marketcap and chart ...
suncrypto.in
MICA Placement 2023: Highest CTC INR 35.50 LPA and Average CTC INR 19. ...
zollege.in
Inside Sachin Tendulkar’s House in BKC, Mumbai worth INR 7.15 Crore ...
architecturaldigest.in
Hyundai Commits INR 61.80 Bn Investment in Tamil Nadu
constructionworld.in
Tabel Top Spiral Machine Products at price INR 29500 in Amritsar ...
papercuttingmachine.in
Inside Sachin Tendulkar’s House in BKC, Mumbai worth INR 7.15 Crore ...
architecturaldigest.in
When In Thane, Head To Amaati For A Vegetarian Four-Course Meal At INR ...
lbb.in
Get A Satvik And Delicious Feast At Govinda's In Juhu For Only INR 450 ...
lbb.in
Cheap Restaurants In Mumbai Under INR 100 | LBB, Mumbai
lbb.in
ValueQuest Enters PE Segment With INR 1,000 Cr Fund
businessoutreach.in
ZEISS PROGRESSIVE LENSES Products at price INR 2100 in Mumbai | SHAH ...
shahoptical.in
Get Alia Bhatt's Stunning Wedding Dress Under INR 20,000 | LBB
lbb.in
Buy Introduction to Linear Algebra (Gilbert Strang, 5) Book Online at ...
amazon.in
Álgebra Lineal (Cálculo Ingeniería Book 4) eBook : Ketelaar, Christiaan ...
amazon.in
Buy FUNDAMENTOS DE ALGEBRA LINEAL Book Online at Low Prices in India ...
amazon.in
Exámenes de algebra lineal propuestos en las Facultades de Ciencia ...
laleonalibre.com
Buy 2000 Problemas De Algebra Lineal/ 2000 Problems in Linear Algebra ...
amazon.in
FUNDAMENTOS DE ALGEBRA LINEAL (6ª ED.) | Varios autores | Casa del Libro
casadellibro.com
PROBLEMAS DE ALGEBRA LINEAL Y GEOMETRIA : BLANCO MARTIN, M. FRANCISCA ...
amazon.in
Buy Algebra Lineal Y Sus Aplicaciones Book Online at Low Prices in ...
amazon.in
ALGEBRA LINEAL, VOL 1 | José F. Fernández | Casa del Libro
casadellibro.com
Buy Linear Algebra and Its Applications Book Online at Low Prices in ...
amazon.in
Introduction To Linear Algebra 4th Edition - Buy Introduction To Linear ...
flipkart.com
Linear Algebra AND Calculus Lecture Notes - LECTURE NOTES ON LINEAR ...
studocu.com
Buy Introduccion Al Algebra Lineal / Elementary Linear Algebra Book ...
amazon.in
TESTS DE ALGEBRA LINEAL | | Segunda mano | Casa del Libro
casadellibro.com
Buy Formulario de Algebra Book Online at Low Prices in India ...
amazon.in
Buy Algebra Lineal Book Online at Low Prices in India | Algebra Lineal ...
amazon.in
New Doc 2020-12-18 15 - Lecture note of LINEAR ALGEBRA (MG UNIVERSITY ...
studocu.com
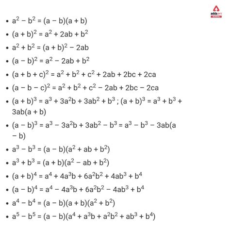
Algebra Formulas PDF, Get All Algebraic Identities Formula Chart for ...
adda247.com
Solve the following algebra questions for practice of SSC CGL
qmaths.in
Fundamentos de Algebra: Buy Fundamentos de Algebra by Zald-Var Felipe ...
flipkart.com
ALGEBRA LINEAL Y ECUACIONES DIFERENCIALES CON USO DE MATLAB | M ...
casadellibro.com
Álgebra com Múltipla Escolha - Lista de Exercícios
twinkl.co.in
Amazon.in: Buy Lecciones de matemática. Algebra lineal. Tomo 3 Book ...
amazon.in
BTC to INR: Convert Bitcoin (BTC) to Indian Rupee (INR) | Coinbase ...
coinbase.com
VWA to INR: Convert Virtual World Asses (VWA) to Indian Rupee (INR ...
coinbase.com
Usi ed effetti collaterali del warfarin: cosa devi sapere
medicoverhospitals.in
Venezuelan Bolivar Indian Rupee (VES INR) Converter - Investing.com India
in.investing.com
BMW Car Main Engine Pulley | BMW Crank Shaft Pulley Products at price ...
uniqueauto.in
OPERARIO/A DE LIMPIEZA EN EDIFICIOS PÚBLICOS. TEMARIO GENERAL Y TEST ...
casadellibro.com
Diagnóstico de inglés en secundaria - temario SEP
twinkl.co.in
Temario para diagnóstico inicial de inglés: Primer grado
twinkl.co.in
George Kennan, el ideólogo de la contención contra la Unión Soviética
lavanguardia.com
Estudios Fénix – Tu centro de confianza
estudiosfenix.com
Super Algebra: Aritmética y Algebra en pocas palabras y ejemplos ...
amazon.in
Álgebra com Multiplicação e Divisão - Lista de Exercícios
twinkl.co.in
Prueba de diagnóstico: Matemáticas 5º Básico
twinkl.co.in
Seguridad social. Temarios de gestión, estado, seguridad social, Inem ...
laleonalibre.com
Portadas de matemáticas | Materiales educativos Twinkl
twinkl.co.in
Must-Try: This King Circle Roadside Eatery Is Serving Pav Bhaji For ...
lbb.in
What is Algebra? Display Poster (teacher made)
twinkl.co.in
Financial Statements 1 - Particulars Debit Credit Equity Share Capital ...
studocu.com
Choose topic - Free business and finance icons
flaticon.com
Warfarin: Structure | Mode of Action | Uses | Synthesis
firsthope.co.in
Organización del estado y de la administración pública. Temarios de ...
laleonalibre.com
Logo कैसे बनाये और डिज़ाइन करें: बेहतरीन गाइड
visme.co
IIT Delhi | Application invited for Postdoc Position in Mathematics ...
edubard.in
Nissan Launches New Magnite KURO Special Edition – The Boldest Black ...
india.nissanmotornews.com
Make Way For Vitamin K To Boost Your Health | Grazia India
grazia.co.in
Solved: Una compañía fabrica y venden dos modelos de lámpara L1 y L2. 2 ...
gauthmath.com
50C to INR: Convert 50Cent (50C) to Indian Rupee (INR) | Coinbase India ...
coinbase.com
1 million dong in indian rupees - Brainly.in
brainly.in
Welingkar Institute of Management - NewsWire
newswire.nokomis.in
Top 10 most valuable currencies of Africa in 2022
currencyuniverse.in
India shining: Rupee inches closer to becoming international currency ...
timesnownews.com
Indonesian Rupiah - Buy IDR Currency Online in India
makemytrip.com
Bharati Bhawan Publishers & Distributors
bharatibhawan.in
This New Health Cafe In Vile Parle Is Offering A Three-In-One Meal For ...
lbb.in
Tally intoducion - +91 9902882559 tallybooks@sahajindia Home About us ...
studocu.com
Lodha Crown Khoni bypass Lodha Crown Taloja Rent - WITHOUT BROKERAGE ...
nobroker.in
14 लाख होम लोन ईएमआई कैलकुलेटर: सबसे सही कैलकुलेशन
rinkarj.com
Stand out navy blue corset top – Kostume County
kostumecounty.com
This Cafe On Golf Course Road Is Open 24-Hours & It Serves A Lunch ...
lbb.in
5 1 Puzzle Time Answer Key - Fill Online, Printable, Fillable, Blank ...
pdffiller.com
Warfarin Dose Adjustment Chart - Fill Online, Printable, Fillable ...
pdffiller.com
Forensic Science Salary 2025: Scope, Placements, and Government Jobs 2025
collegesearch.in
Diagnosis Atrial Fibrilasi - Alomedika
alomedika.com
Blood thinning Diet: Foods to eat and foods to avoid | Sprint Medical
sprintmedical.in
India@2047 - PwC India
pwc.in
RBI’s short USD/INR forward book remains stable- analysis By Investing.com
in.investing.com
Osteoporosis - patofisiologi, diagnosis, penatalaksanaan - Alomedika
alomedika.com
Shirt Up: The Classic Button-Downs Get A 2022 Update | Grazia India
grazia.co.in
IPL 2026: 5 franchises that can target Matheesha Pathirana in the ...
crickettimes.com
Discover The Best Brands & Recommendations For Basics | LBB
lbb.in
Puma Brand Mens Original Xetic Halflife Sports Shoes 195196 06 (Black ...
rajashoes.in
Related Searches
Algebra Lineal
Formulas De Algebra Lineal
Algebra Lineal Matrices
Libros De Algebra Lineal
Ejercicios De Algebra Lineal
Clases De Algebra Lineal
Temario
Algebra Lineal Ejemplos De Sel
Algebra Lineal Dibujo
Algebra Lineal Yachay
Tipos De Matrices Algebra Lineal
Algebra Lineal Atom
Matriz Algebra Lineal
Imagen De Algebra Lineal Para Portada
Algebra Lineal Xy
Ecuaciones De Algebra Lineal
Problemas De Algebra Lineal
Algebra Lineal Ingenieria Industrial
Problemas Faciles De Algebera Lineal
Algebra Lineal Matrices Operaciones
Libros De Algebra Lineal Universitaria
Algebra Lineal 8Va Ediciom Bernand Kolman
Formato Para Estudiar Algebra Lineal
Temas De Algebra
Ejemplos De Temarios
Temas De Álgebra Lineal
Algebra Lineal En Las Ingenierias
Algebra Lineal Ejercicios
Temario De Algebra
Algebra Lineal Grossman
Matrices Antihermiticas Algebra Lineal
Algebra Lineal Titulo
Algebra Lineal Libro Blanco
Algebra Lineal Arte
Algebra Lineal Portadas
Portada De Algrebra Lineal
Imagenes De Comprencion Algebra Lineal
Claudio Pita Algebra Lineal Libro
Formulas De Algebra 1
Imagen Representativa De Álgebra Lineal
Algebra/Linear Maurcio Zahn
Algebra Lineal Y Sus Aplicaciones
Álgebra Lineal Carteles Pinterest
Álgebra Lineal Semana 1
Algebra Lineal Y Ciencia De Datosilustracion
Conceptos fudamentale3s De3 Algebra Lineal
Problemas De Algebra 2
Álgebra Lineal MIT Libro
Probles De Algebra De Grado 7
Algebra Lineal App PNG Logo
Search
×
Search
Loading...
No suggestions found