Find Your Style
Women
Men
Accessories
Search for clothing, brands, styles...
×
Women
Men
Accessories
Teva Original Sol Gradient
Search
Loading...
No suggestions found
DOCETAXEL TEVA Concentrate and solvent for solution Pharmacology - MPI ...
rxreasoner.com
Teva Original Universal Metallic Girls Sandal, Metallic Clay Multi, 22. ...
amazon.in
Teva Original Universal Sandalen Herren black im Online Shop von ...
sportscheck.com
تامسولوسين هيدروكلوريد: الفوائد والجرعة والآثار الجانبية
medicoverhospitals.in
DOCETAXEL TEVA Concentrate and solvent for solution Pharmacology - MPI ...
rxreasoner.com
DOCETAXEL TEVA Concentrate and solvent for solution Pharmacology - MPI ...
rxreasoner.com
DOCETAXEL TEVA Concentrate and solvent for solution Pharmacology - MPI ...
rxreasoner.com
DOCETAXEL TEVA Concentrate and solvent for solution Pharmacology - MPI ...
rxreasoner.com
DOCETAXEL TEVA Concentrate and solvent for solution Pharmacology - MPI ...
rxreasoner.com
Teva Womens Hurricane Xlt2 Sandal | Desertcart INDIA
desertcart.in
Teriparatide Injection Exporter from New Delhi
lancerhealthcare.co.in
Teva Pharmaceuticals Careers | Apply Now for R&D Intern & Clinic Staff ...
hitechplus.in
Teva Mens Men's M Omnium 2 Sport Sandal: Buy Online at Low Prices in ...
amazon.in
U.S. appeals court again invalidates Teva MS drug patent By Reuters
in.investing.com
Teva Logo Pharmaceutical Industries - Pngsource
pngsource.in
Teva Pharmaceuticals Reviews | Glassdoor
glassdoor.co.in
Deep Deterministic Policy Gradient Algorithm Based on Convolutional ...
mdpi.com
Pine-Sol Multi-Surface Cleaner Bottle (Original Scent, Two Count , 80 ...
amazon.in
Strain and Dislocation Gradients from Diffraction: Spatially-Resolved ...
flipkart.com
New Arrivals - Women
siddarthatytler.com
SOL'S Jet Women - 03809 kaufen im Großhandel Shop
groener-schulze.com
thank u so muchdefine potential gradient. - Brainly.in
brainly.in
Prix ray on sale ban aviator
metrorailnews.in
Create gradients in Illustrator
helpx.adobe.com
Persol PO0714 Folding Polarized 24/S3 Sunglasses Havana ...
smartbuyglasses.co.in
Piptaz 4.5gmdry Vial Of 1 Powder For Injection: Uses, Side Effects ...
pharmeasy.in
Railway Train Braking Concepts - Railway Signalling Concepts
railwaysignallingconcepts.in
Result ba - 3/20/22, 1:24 PM Marksheet web.sol.du.ac/info/marksheet 1 ...
studocu.com
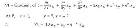
Gradient of a Scalar - Definition, Formula, Properties, Example Problems
eee.poriyaan.in
Electric Potential Energy : Electric Dipole, Potential Gradient ...
chemistrypage.in
Gradient of a Scalar - Definition, Formula, Properties, Example Problems
eee.poriyaan.in
iCopertina Pack Of 4 Color Gradients Mobile Holder Price in India - Buy ...
flipkart.com
Gradients in a Tropical Mountain Ecosystem of Ecuador: Buy Gradients in ...
flipkart.com
Gradients and Fervours: Buy Gradients and Fervours by Anil Amulya at ...
flipkart.com
Vertical Gradients of Temperature, Humidity, and Wind Direction: A ...
flipkart.com
Think you know our Sun? Check out THESE 5 stunning facts | Photos (HT Tech)
tech.hindustantimes.com
Buy Pine-Sol Multi-Surface Cleaner, Original, 144 Oz. Bottle Online at ...
ubuy.co.in
Gradient of a Scalar - Definition, Formula, Properties, Example Problems
eee.poriyaan.in
Gradients of Vital Staining and Susceptibility in Planaria and Other ...
flipkart.com
Fatimah - The Princess Of Jannah - Hardbound (Board Book) – The Islamic ...
theislamickidstore.com
Teva Pharmaceuticals Office Photos
glassdoor.co.in
Этап 3. Ассеты — Teletype
teletype.in
Colors, Backgrounds and Gradients: Buy Colors, Backgrounds and ...
flipkart.com
Download wallpaper texture, squares, layers, gradients, section ...
goodfon.com
Popular Analyst Warns Steep Correction in Sight for Solana, Says SOL ...
cryptopanic.com
Past Year Questions: Pavement Design - Transportation Engineering ...
edurev.in
Reserve Bank of India - Homepage
paisaboltahai.rbi.org.in
Shop Fabrics At Kairasi, T Nagar | LBB, Chennai
lbb.in
realme 8 ( 128 GB Storage, 4 GB RAM ) Online at Best Price On Flipkart.com
flipkart.com
Second Order Low Pass Butterworth Filter using Op-amp - Operational ...
eee.poriyaan.in
Login - GenMed
genmed.co.in
Past Year Questions: Pavement Design - Transportation Engineering ...
edurev.in
RBI Introduces Fluorescent Blue New 50 Rupee Note | BOOM
boomlive.in
Teva Pharmaceuticals Office Photos
glassdoor.co.in
Rosuvas 5 MG Tablet (10): Uses, Side Effects, Price & Dosage | PharmEasy
pharmeasy.in
Teva Pharmaceuticals Office Photos
glassdoor.co.in
Greening of the Qinghai–Tibet Plateau and Its Response to Climate ...
mdpi.com
New Arrivals - Men
siddarthatytler.com
Login - GenMed
genmed.co.in
Download wallpaper background, dark, figure, gradients, section ...
goodfon.com
Is your Rs 500 note real or fake? RBI suggests how to check - Real or ...
economictimes.indiatimes.com
Fascinating History Of The Indian Rupee And It’s Evolution
indiatimes.com
Realme C15 ( 32 GB Storage, 3 GB RAM ) Online at Best Price On Flipkart.com
flipkart.com
Buy Nike Air Force 1 07 UV Reactive Color Changing Womens Shoes Online ...
ubuy.co.in
How are currency notes issued in India
theweek.in
Buy Squishmallows Original 14-Inch Brinkley Peach Gradient Bunny ...
desertcart.in
realme 6 Pro ( 64 GB GB Storage, 6 GB RAM ) Online at Best Price On ...
flipkart.com
Trulli
niser.ac.in
THE 10 BEST North Goa District Holiday Rentals, Villas of 2022 ...
tripadvisor.in
Socrates7x's Profile | Binance Square
binance.com
find the gradients of line A and B - Brainly.in
brainly.in
China Flex Digital Oneprint Vinil Adesivo máquina de impressão a jato ...
pt.made-in-china.com
Affiche sur les sols (teacher made) - Twinkl
twinkl.co.in
SAMSUNG Galaxy A32 ( 128 GB Storage, 6 GB RAM ) Online at Best Price On ...
flipkart.com
realme 6 Pro ( 64 GB GB Storage, 6 GB RAM ) Online at Best Price On ...
flipkart.com
Gradient Sommerhintergrund | Kostenlose Vektor
de.freepik.com
R logo Images - Free Download on Freepik
freepik.com
New 100 Rupee Note 2018: Here is first-look at lavender-coloured ...
zeebiz.com
Anti Asthma Drug - Spacer For Aerosol Manufacturer from Ahmedabad
divinesavior.co.in
realme 8 ( 128 GB Storage, 4 GB RAM ) Online at Best Price On Flipkart.com
flipkart.com
R logo Images - Free Download on Freepik
freepik.com
Images de Couleur Rouge – Téléchargement gratuit sur Freepik
fr.freepik.com
Takopi's Original Sin | Book by Taizan5 | Official Publisher Page ...
simonandschuster.co.in
Atheist Centre - Dr. B. R. Ambedkar
atheistcentre.in
Przedszkole Publiczne w Nowej Wsi
zspmierzecice.edupage.org
THE PROBLEM OF THE RUPEE: ITS ORIGIN AND ITS SOLUTION eBook : B. R ...
amazon.in
Bmw Kleinanzeigen
fast-alles.net
Boult Audio ProBass Q Bluetooth Headset Price in India - Buy Boult ...
flipkart.com
Bmw Kleinanzeigen
fast-alles.net
Buy Cap for key GTD / GTI / r Original VW Chrome / Black cap Car key ...
desertcart.in
Maruti Suzuki Wagon R VXI price, specs, mileage, colours, photos and ...
carz4sale.in
Say Goodbye To Old Rs 500 Notes For Good From Friday + 5 More Stories ...
indiatimes.com
Silk Worm Boutique | LBB
lbb.in
if there are so rupees with you and to people you have to divide to ...
brainly.in
OPPO F11 Pro: prezzo, caratteristiche, uscita e notizie in Italia
tuttoandroid.net
Ojos de nuestros bebés 🥰 | BabyCenter
espanol.babycenter.com
A number is decreased by 15% and then decreased by 10% find the net ...
brainly.in
Samsung India Launches #FullOnFab Galaxy F12 with True 48MP Quad Camera ...
news.samsung.com
Skiing in Manali Vs. Skiing in Gulmarg
traveltriangle.com
5 Spots For Mountaineering In Philippines To Satiate The Thrill Seeker ...
traveltriangle.com
Lake Como In Italy: Here’s Everything You Should About It
traveltriangle.com
Hunabku
hunabku.me
Related Searches
Teva Original Sandals
Teva Flip Flops
Teva Shoes
Teva Hurricane Sandals Women
White Teva Sandals
Tevas for Women
Teva Brand
Brown Teva Sandals
Teva Footwear
Teva Sale Sandals Women
Tevas for Girls
Teva Men's Sandals
Teva Original Style
Men's Teva Leather Sandals
Teva Original Slim
Teva Shoes Logo
Teva Slides
Teva Universal Sandals
Teva Walking Sandals
Tivas Shoes
Teva Slippers
Teva Дмитро Спіцин
Teva Original Trail
Teva Orange Sandals
Teva Sports Sandals
Teva Sandals Blue
Teva Original Sandals Leather Diamonds
Teva Rope Sandals
Teva Pink
Teva Brand Clothing
Boys Teva Sandals
Teva Woman
Sandali Teva
Teva Original Universal Multicolor
Teva Wide Men's Sandal
Teva Original Universal W
Red Teva Sandals
Waterproof Tevas
Teva Classic
Teva Convertible Sandal
Teva Original Universal Wildflower
Gray Teva Sandals
Teva Original Universal Hombre
Teva Black Sandals
Teva صندل
Teva Sandal Fitting
Teva Original Rainbow Black
Teva Sandals Beige
Teva Universal Original Water Shoe
Teva Original Universal 1169377
Search
×
Search
Loading...
No suggestions found