Find Your Style
Women
Men
Accessories
Search for clothing, brands, styles...
×
Women
Men
Accessories
Tf2 Factories
Search
Loading...
No suggestions found
Simple Energy To Invest INR 2500 Crores In Tamil Nadu For Its Second E ...
businessworld.in
Samsung Reaffirms Commitment to India with INR 1588 Crore Investment to ...
news.samsung.com
INR Full Form: What is full form of INR?
bankersadda.com
Sell Old Silver Coins Delhi Best Rate Products at price INR 3500 in New ...
labdiamondfactory.in
QP CMA 14 - Q Direct Wages INR 2,05,000 and Factory Cost INR 5,60,000 ...
studocu.com
IIT Madras MTech Placements: Highest Package- INR 54.21 LPA, Average ...
collegesearch.in
3F Oil Palm invest INR 250 CR in state-of-the-art integrated oil palm ...
agritimes.co.in
indian cricket team new zealand tour - 500 INR Instant Bonus Cash ...
meg-ifms.nic.in
OpenAI Launches Local ChatGPT Pricing in India: INR Rates for Plus, Pro ...
techlusive.in
Decision to Withdraw 2,000 INR Note Won't Have Any Impact: Economist
sputniknews.in
Build Your Kinda Fries, Add Insane Toppings & Sauces All For INR 100 At ...
lbb.in
Strategy & Performance Highlights FY 2022 - 23 | Hindustan Unilever ...
hul-performance-highlights.hul.co.in
Pure Silver Kalash - Silver Chambu With Weights (30 - 500 gms) | Custom ...
puresilver.io
Factories Act 1948: An Act Focussing on Labour and Employment ...
getlegalindia.com
CT Toys Mess Toys Symbiote Spider-Man Black Spider Action Figure ...
inaboxstore.com
Advanced Factories 2026
ntradeshows.com
CT Toys Mess Toys Symbiote Spider-Man Black Spider Action Figure ...
inaboxstore.com
Best Team Fortress 2 Server Hosting: Top Providers for 2022-2023
sitechecker.pro
CT Toys Mess Toys Symbiote Spider-Man Black Spider Action Figure ...
inaboxstore.com
Re-imagining HUL | Hindustan Unilever Limited (HUL)
hul-performance-highlights.hul.co.in
Aston Martin Cognizant Aramco F1 Team New Factory McLaren, 41% OFF
iiitl.ac.in
Top 10 Crane Manufacturers in India
constructionworld.in
CT Toys Mess Toys Symbiote Spider-Man Black Spider Action Figure ...
inaboxstore.com
Best restaurants near Delhi airport to visit
lifestyleasia.com
DRS, November 4: KL Rahul's IPL trade all rumours, Team India to ...
insidesport.in
Dutch East India Company, History, Establishments, Factories & Decline
studyiq.com
Tesla to Start its Indian Innings with Rs 20 Lakh Model 2 » Car Blog India
carblogindia.com
Advanced Factories 2026
nfeiras.com
India's Ordnance Factories Day 2023: 18th March
currentaffairs.adda247.com
Ordnance Factories Day 2024 in India
currentaffairs.adda247.com
CT Toys Mess Toys Symbiote Spider-Man Black Spider Action Figure ...
inaboxstore.com
India shining: Rupee inches closer to becoming international currency ...
timesnownews.com
IT raids Congress ex-MLA’s factories in Chhatarpur: Team from Indore ...
bhaskarenglish.in
Factories and agencies of european companies in india during 1705 on ...
brainly.in
Chemical emergency mock drill organised in Andhra factories
aninews.in
Duties of Welfare Officer under Factories Act - Enterslice
enterslice.com
Shop Pagers Online | Ubuy India
ubuy.co.in
Duties of Occupier under Factories Act 1948 - Enterslice
enterslice.com
Definition of Factory under Factories Act 1948 - Enterslice
enterslice.com
Shop Pagers Online | Ubuy India
ubuy.co.in
Buy Lifelong 750 Watt Juicer Mixer Grinder, 4 Jars for Grinding, Mixing ...
amazon.in
Independence Day Special: All The Homegrown Brands We’re Loving Right ...
grazia.co.in
Gold Drop Cooking Oil - Sunflower, 1L Pouch : Amazon.in: Grocery ...
amazon.in
Latest Mobiles Online on Ubuy India - Best Prices
ubuy.co.in
Steam Community Market :: Listings for Warhawk Rocket Launcher (Factory ...
steamcommunity.com
Jehovah Jireh Constructions
jehovahjirehconstruction.in
OnePlus to power Gods Reign's quest for glory at BMPS 2025 featuring ...
aninews.in
Decked up in Team India colour, Rohit Sharma buys ultra-expensive ...
timesnownews.com
Buy Factory Style Spoiler made for the 2011-2018 Nissan Juke Painted in ...
ubuy.co.in
Buy 1999 Topps Pokemon Factory Sealed Vintage Pack Merlin Stickers Box ...
ubuy.co.in
Buy FACTORIES ACT 1948 WITH FACTORIES RULES 1969 IN ENGLISH, EDITION ...
amazon.in
Bank Auction Land & Factory Building in Vembakottai, Virudhunagar ...
findauction.in
Uniform Tailor Industrial Uniforms | Custom Workwear for Factories ...
uniformtailor.in
These companies are changing the way labour is hired (and fired) in India
scroll.in
Walmart FCCA, SCS audit, Factory Ethical & Quality audit consultant in ...
4bconsultancy.in
Unit-7 - Legal - The Factories Act, 1948 UNIT 7 THE FACTORIES ACT, 1948 ...
studocu.com
On an outline map of India mark the trading centers established by the ...
brainly.in
Factories Act 1948and Tamil Nadu Factories Rules - 2 Address of the ...
studocu.com
Buy Tokusou Sentai Dekaranger Complete Series Products Online | Ubuy India
ubuy.co.in
Toxic Gases: The Inhalable Poison | Its Sources, Causes & Effects | AQI
aqi.in
Textile Industry in India: An Overview of the Garment Industry | IIAD
iiad.edu.in
Shop Pagers Online | Ubuy India
ubuy.co.in
Latest Mobiles Online on Ubuy India - Best Prices
ubuy.co.in
This Is Why Shenzhen Is Known As The World's Factory - MobyGeek.com
mobygeek.com
Objective of Factories Act, 1948
legalmantra.net
Fashion Factory Store | LBB
lbb.in
Buy ACANII - For [Factory Halogen Model] 2006-2008 Audi A4 S4 Black OE ...
ubuy.co.in
Procam Logistics
procamlogistics.com
Buy FOX 3.0 FACTORY INTERNAL BYPASS COIL-OVER RESERVOIR SHOCK SET FRONT ...
ubuy.co.in
Shop Pagers Online | Ubuy India
ubuy.co.in
Current Transformer Manufacturers, Suppliers in India
erevatransformer.in
Buy Hershey’s Factory Favorites Chocolate and Creme Assortment - Reeses ...
ubuy.co.in
Todywalla
todywallaauctions.com
Nike Factory Store - Orlando Vineland. Orlando, USA. Nike.com IN
nike.com
Latest Mobiles Online on Ubuy India - Best Prices
ubuy.co.in
Alok Suit Shazana Fancy Silk Designer Suit Catalog Wholesalers
wholesalefactory.in
Engineer checking machine maintenance service with team working ...
freepik.com
Buy Floating Fortress Battle Map, Dnd Battle Map, D&D, Battlemap ...
etsy.com
Kadlee Blue Bell Fancy Casual Wear Kurti Bottom Pair Catalog Suppliers
wholesalefactory.in
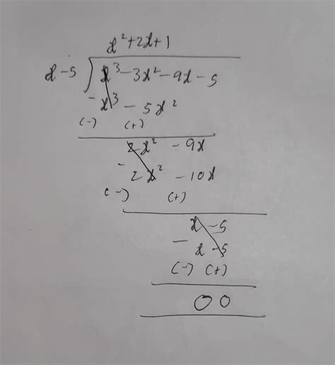
x^3-3x^2-9x-5 factories by long division method class 9please - Brainly.in
brainly.in
Wooglee Rangveli Rayon Kurti Combo 4 pcs Catalogue
wholesalefactory.in
Mishri Aarzu Vol 1 Printed Karachi Cotton Suit Catalog Wholesalers
wholesalefactory.in
Zulfat Kiyara Cotton Dress Material 6 pcs Catalogue
wholesalefactory.in
MFC Simran Vol 1 Cotton Dress Material 12 pcs Catalogue
wholesalefactory.in
Currency Today: Euro Finds Footing, Dollar Whipsaws, Rupee Tanks | India
btcc.com
nike factory shop johannesburg 2191 south africa,www.npssonipat.com
npssonipat.com
Prefabricated Structure Manufacturers in Delhi - Delhi | SecondHandBazaar
secondhandbazaar.in
Aritzia Office Photos
glassdoor.co.in
Latest Mobiles Online on Ubuy India - Best Prices
ubuy.co.in
Arvind Factory Outlet, Mysore Road | LBB, Bangalore
lbb.in
Van Heusen Factory Outlet | LBB
lbb.in
Car Companies that Drive the World
finshots.in
Abandoned: Iconic Car Factories - Team-BHP
team-bhp.com
Scope of India's Food Processing Industry
ficsi.in
deepsy-suits-ombre-starlet-hit-design-1611-cotton-dress-material-4-pcs ...
wholesalefactory.in
Woodee Diana Vol 2 Viscose Kurti Combo 6 pcs atalogue
wholesalefactory.in
Riaz Arts Farah Exclusive Design Cotton Ladies Dress Catalog Wholesale
wholesalefactory.in
Alok Khadiza Cambric Cotton Dress Material 6 pcs Catalogue
wholesalefactory.in
Baalar Pashmina Vol 6 Lawn Cotton Dress Material 12 pcs Catalogue
wholesalefactory.in
Riaz Arts Naksh Lawn Cotton Dress Material 6 pcs Catalogue
wholesalefactory.in
International Trade Settlement in Indian Rupee (INR)
taxguru.in
Next tranche of Bharat Bond ETF opens tomorrow: 10 things on NFO | Mint
livemint.com
Nike Factory Outlet For Great Deals | LBB, Hyderabad
lbb.in
How Indian Rupee Stands Against Other Major Currencies
indiatimes.com
Ganga Giselle 3705 Cotton Satin Dress Material 4 pcs Catalogue
wholesalefactory.in
Shop Pagers Online | Ubuy India
ubuy.co.in
Shop Pagers Online | Ubuy India
ubuy.co.in
The 'Noonee' Chairless Chair - Ergonomics at Automotive Factories ...
team-bhp.com
Buy Carlinkit Products Online at Best Prices in India | Ubuy
ubuy.co.in
Shop Pagers Online | Ubuy India
ubuy.co.in
Joytop Sanrio Marshmallow Dual-Color Pen
bearhugs.in
प्लाईवुड फैक्ट्रियों में फर्टिलाइजर मिनिस्ट्री की टीमों की रेड, यूरिया ...
jagran.com
Karissa Orion Readymade Premium Style 3 Pec Sets Catalog Dealers
wholesalefactory.in
Formals And Innerwear For A Steal At Fashion Factory | LBB, Bangalore
lbb.in
Maryam Hussain Gulaab Vol 5 Cotton Karachi Suit Catalog Wholesalers
wholesalefactory.in
Bosch Tools – Page 2 – UdrCrafts.com
udrcrafts.com
USD/INR Cracks Big: Falls 2% in 4 Days! | Investing.com India
in.investing.com
Jt All Black Vol 37 Unstitch Fancy Rayon Dress Material Surat Wholesaler
wholesalefactory.in
Shop Pagers Online | Ubuy India
ubuy.co.in
Related Searches
Spy Tf2
TF2 Taunts
TF2 Team
TF2 Logo
Sniper TF2
Soldier TF2
Valve TF2
TF2 Class
TF2 Fan Art
TF2 Robots
Engineer TF2
TF2 HUD
TF2 Wallpaper
TF2 Tank
TF2 Background
TF2 Funny
Scout Tf2
Demoman TF2
TF2 Symbol
TF2 Payload
TF2 PNG
TF2 Maps
TF2 Guns
Red Sniper TF2
TF2 Shotgun
TF2 Sentry
Buff TF2
MGE TF2
TF2 Weapons
TF2 Cast
Pyro Tf2
Cursed TF2
Heavy Tf2
TF2 Wallpaper PC
TF2 Memes
TF2 MvM
TF2 PFP
Medic Tf2
TF2 Pyro Anime
TF2 Items
All TF2 Characters
TF2 Cat
TF2 Steam Profile
TF2 Cover
TF2 Gmod
TF2 Classic
TF2 Doctor
TF2 Art
TF2 Avatars
Roblox TF2
Search
×
Search
Loading...
No suggestions found