Find Your Style
Women
Men
Accessories
Search for clothing, brands, styles...
×
Women
Men
Accessories
Thematic Analysis Initial Code Examples
Search
Loading...
No suggestions found
IIT Indore Opening for JRF Position, INR 31,000 per month; Apply by ...
edubard.in
Apw lab thematic analysis / - Themes Sub-Themes Codes Verbatim Personal ...
studocu.com
Example of Thematic Analysis - Thematic Analysis: Motivation for ...
studocu.com
What are the stages in grounded theory analysis for qualitative data?
projectguru.in
Buy Transforming Qualitative Information: Thematic Analysis and Code ...
amazon.in
Thematic Analysis: A Practical Guide eBook : Braun, Virginia, Clarke ...
amazon.in
What are the stages in grounded theory analysis for qualitative data?
projectguru.in
Buy Essentials of Thematic Analysis (Essentials of Qualitative Methods ...
amazon.in
Types of research strategy
projectguru.in
MELBOURNE: Qualitative Thematic Analysis MasterClass, Melbourne ...
allevents.in
Source Code Analysis Training | SCA Courses
iisecurity.in
What is Static Code Analysis? | Linode Docs
linode.com
Grounded theory analysis using axial and selective coding
projectguru.in
The Top Types of AI-Generated Content in Marketing [New Data, Examples ...
appsmanager.in
Prothrombin time, PT/INR Report Format | MS Word & Pdf
labsmartlis.com
What is 525 Status Code đź“– How to Fix Issue
sitechecker.pro
Create a thematic map in 60 minutes: Examples with QGIS eBook ...
amazon.in
QRM UNIT II - Grounded Theory Approach History 1. Grounded theory is an ...
studocu.com
Buy R Data Analysis Projects Book Online at Low Prices in India | R ...
amazon.in
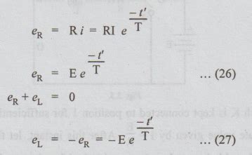
Solved Example Problems: DC Transients in RL, RC, RLC Circuit
eee.poriyaan.in
SOP for Nursing: How to Write sample SOP for MSc nursing?
yocket.com
Buy Applied Thematic Analysis Book Online at Low Prices in India ...
amazon.in
Buy Regression Analysis By Example Using R Book Online at Low Prices in ...
amazon.in
Buy Statistical Analysis Using R Software Book Online at Low Prices in ...
amazon.in
Buy Multivariate Data Analysis, 8th Edition Book Online at Low Prices ...
amazon.in
How to write the scope of the study?
projectguru.in
SBI BANK CODE SBCHQ-GEN-PUB-IND-INR MEANING.SBI DIFFERENT TYPES OF ...
digitalhelper.in
Buy ANALYSIS OF CATEGORICAL DATA WITH R Book Online at Low Prices in ...
amazon.in
Initial Sounds A-Z Assessment Sheet
twinkl.co.in
Sample motivation letter for international business management - Sample ...
studocu.com
Swift Message vs Purpose codes
taxguru.in
The School Aistear Overview
twinkl.co.in
9 sectoral/thematic mutual funds deliver over 35% return in first half ...
economictimes.indiatimes.com
SBI BANK CODE SBCHQ-GEN-PUB-IND-INR MEANING.SBI DIFFERENT TYPES OF ...
digitalhelper.in
Poetry Analysis DIY Poster
twinkl.co.in
6 Thematic Unit Lesson Plans To Use In The Classroom
twinkl.co.in
GST Export Invoice and Foreign Currency Billing | Sleek Bill
sleekbill.in
Stamps-Hobby: Tuva 1997 Famous Actress Cinema Movie Stars | 8v Mint ...
amazon.in
Buy Chitralekha Book Online at Low Prices in India | Chitralekha ...
amazon.in
Buy Schaum's Outline of Vector Analysis, 2ed (Schaums' Outline Series ...
amazon.in
Short a Words With Four Letters Worksheets for K-1st Grade
twinkl.co.in
Lodha Crown Khoni bypass Lodha Crown Taloja Rent - WITHOUT BROKERAGE ...
nobroker.in
EPCG Scheme – Complete Analysis
taxguru.in
Buy Data Analysis and Graphics Using R Book Online at Low Prices in ...
amazon.in
7 SSB TAT Pictures with Stories
defenceguru.co.in
Interpretation of results of meta analysis on different types of plot
projectguru.in
Determination of initial conditions - Transient Response Analysis
eee.poriyaan.in
Buy Morse Code: Morse Code Practice Book Learn International Morse Code ...
desertcart.in
Initial r monogram in simple line flower frame | Premium Vector
freepik.com
Top 3 Letter of Recommendation Formats to Study Abroad
kansaz.in
Buy INTRODUCTORY MATHEMATICAL ANALYSIS FOR BUSINESS, ECONOMICS, AND THE ...
amazon.in
Mother of 1084 - Thematic Summary and Character Analysis - Studocu
studocu.com
Initial Sounds Worksheet | Twinkl
twinkl.co.in
Effect of switching on resistor
eee.poriyaan.in
Patient Assessment Form Example - Fill Online, Printable, Fillable ...
pdffiller.com
Please help with in-hand salary calculation Deloitte India Deloitte ...
glassdoor.co.in
Problems on vibrating string with non-zero initial velocity - Examples
civil.poriyaan.in
Buy Numerical Analysis Book Online at Low Prices in India | Numerical ...
amazon.in
Buy Multivariate Data Analysis, 7e Book Online at Low Prices in India ...
amazon.in
Consonant Blends – How to Teach Consonant Blends - Wiki
twinkl.co.in
What Are Thematic Mutual Funds? Meaning, Examples & Benefits
fibe.in
Vogel's Quantitative Chemical Analysis 6th Edition 6th Edition (English ...
amazon.in
Integrating Industry 4.0 in Higher Education Using Challenge-Based ...
mdpi.com
what thematic map shows give examples - Brainly.in
brainly.in
Buy Performing Data Analysis Using IBM SPSS(R) Book Online at Low ...
amazon.in
What Are Thematic Funds - Meaning, Advantages and Taxation
bajajbroking.in
Disaster Management — lesson. Social Science, Class 7.
yaclass.in
SWOT Analysis: How To Do One [With Template & Examples] - Blog
appsmanager.in
Buy R COMPANION TO POLITICAL ANALYSIS Book Online at Low Prices in ...
amazon.in
Yuge Yugeen Bharat National Museum & Thematic Segment
studyiq.com
Buy Microarray Data: Statistical Analysis Using R Book Online at Low ...
amazon.in
difference between physical map and thematic map Related: Maps:Overview ...
edurev.in
Buy Exploratory Data Analysis with R Book Online at Low Prices in India ...
amazon.in
DC transients - Transient Response Analysis
eee.poriyaan.in
SWOT Analysis Example for Small Business - Tips & Ideas | Edraw
edrawsoft.com
Thematic Scrapbook & Journaling Sticker Pack – Inkarto
inkarto.com
DC transients - Transient Response Analysis
eee.poriyaan.in
Initial (boundary) conditions for inductance - Transient Response Analysis
eee.poriyaan.in
Yuge Yugeen Bharat National Museum & Thematic Segment
studyiq.com
US-00467BG Form - Fill Online, Printable, Fillable, Blank - pdfFiller
travel-consent-form-canada.pdffiller.com
Building Code Analysis Checklist - Fill Online, Printable, Fillable ...
pdffiller.com
Array Related Scenarios and There Solutions with Example - Basico ...
basicoservicenowlearning.in
Problem On Vibrating String With Initial Velocity And Initial ...
civil.poriyaan.in
Buy Financial Statement Analysis (IRWIN ACCOUNTING) Book Online at Low ...
amazon.in
Limestone HS Code for Export & Import | Limestone Trade HS Codes
seair.co.in
Buy Aoshima Super Car 1/24 Initial D No 7 Ryosuke Takahashi FC3S RX-7 ...
desertcart.in
Buy A Guide to the Business Analysis Body of Knowledge (Babok Guide ...
amazon.in
34+ Free Editable Travel Letter Templates in MS Word [DOC] | pdfFiller
pdffiller.com
DC transients - Transient Response Analysis
eee.poriyaan.in
The Ultimate Guide to Competitor Analysis: Best Practices and Examples
aadityasudra.in
Buy formal wedding outfit - In stock
sunelectrodevices.co.in
Yuge Yugeen Bharat National Museum & Thematic Segment
studyiq.com
Persönliche SWOT-Analyse Vollständiger Leitfaden | EdrawMax
edrawsoft.com
How to Solve Guesstimates. A semi-guide to solving these engaging… | by ...
soumyagupta.in
Getting Started: Cloud Assembly Code Examples [CB10094] | Cloud Blogger
cloudblogger.co.in
Buy R Companion for Sampling: Design and Analysis, Third Edition Book ...
amazon.in
Scheme for Hillslope Analysis: Initial Considerations and Calculations ...
amazon.in
2006 UK NHS Home Oxygen Order Form (HOOF) Fill Online, Printable ...
pdffiller.com
Understanding Skewness in Machine Learning: A Beginner’s Guide with ...
cwpc.in
Herd Mentality
finoak.in
Fillable Online 8+ Initial Investigation Report Examples in ...
pdffiller.com
Yuge Yugeen Bharat National Museum & Thematic Segment
studyiq.com
Buy Introduction to Real Analysis Book Online at Low Prices in India ...
amazon.in
3 Amazing Structural Analysis Examples for Engineers | Ansys
ansys.com
Instrumental Methods Of Chemical Analysis 2018 Edition: Buy ...
flipkart.com
Decoding Water Sigbin's Latest Obfuscation Tricks | Trend Micro (IN)
trendmicro.com
3
innovareacademics.in
Technical Analysis Courses in Novocherkassk
ruchirgupta.co.in
D.C. Transients in RL Circuit - Worked Example Solved Problems
eee.poriyaan.in
Problems on vibrating string with non-zero initial velocity - Examples
civil.poriyaan.in
18 Printable Psychological Assessment Forms and Templates - Fillable ...
pdffiller.com
Buy The Hitchhiker's Guide to Responsible Machine Learning ...
desertcart.in
What is 407 “Proxy Authentication Required” 📖 How to Identify & Fix
sitechecker.pro
Best HR Interview Questions for Freshers: 2025 Guide
cheggindia.com
27 of the Best Professional Bio Examples I've Ever Seen [+ Templates ...
appsmanager.in
Sieve Analysis और Fineness Modulus of Coarse Aggregate चेक करें एक ...
avsahpaathi.in
How to Write a Cover Letter for an Internship [Examples & Template] - Blog
appsmanager.in
Persönliche SWOT-Analyse Vollständiger Leitfaden | EdrawMax
edrawsoft.com
Exercise - Electric Circuit Analysis | Transient Response Analysis
eee.poriyaan.in
Buy Scuba Dive Logbook: Diving Log Journal. Includes most used hands ...
desertcart.in
Related Searches
Thematic Anysis Code Table Example
Quantitative Thematic Map Examples
Inductive Thematic Approach
Examples of Thematic Anaysis
Thematic Anaylsis Code Tables
Thematic Analysis Codes and Themes Examples
Code Analysis
Theme Analysis Essay Examples
Thematic Analysis Table with Codes
Thematic Analysis Map Template
How to Do Thematic Analysis
6 Phases of Thematic Analysis
Thematic Analysis Framework
Thematic Network Analysis
Thametic Analysis Code
Thematic Analysis Using Codes
Thematic Analysis Steps
Thematic Analysis Question Code Theme
Codes for Early Childhood Education Thematic Analysis
Thematic Analysis Categorize Codes
Braun and Clarke Thematic Analysis Steps
Category Cod in Thematic Analysis
Presentation of Themes in Thematic Analysis
Example of Thematuc Analysis Coding
Simple Thematic Analysis Code
How Do You Present a Thematic Analysis Network
Newsletter Layout Examples
Contract to Sell Example
Examples of Causal Analysis
Data Analysis Coding Examples
What Is Code in Thematic Analysis
Site Analysis Examples
Story Analysis Example
Initial Codes in Thematic Analysis
Thematic Code Mapping
Commercial Documents Examples
Work Journal Examples
Sales Team Dashboard Examples
Visual Examples of Thematic Analysis Coding
Example of Code Matrix Thematic Analysis
Review Analysis Example
Content Analysis and Thematic Analysis
Overarching Theme Examples
Thematic Anaylsis Tables Examples
Thematic Analysis Generating Codes Example
What Are Codes in Thematic Analysis
Analysis of Learning Examples
Search
×
Search
Loading...
No suggestions found