Find Your Style
Women
Men
Accessories
Search for clothing, brands, styles...
×
Women
Men
Accessories
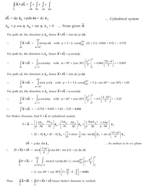
Theorem 3
Search
Loading...
No suggestions found
Basis, N(T), R(T), Span dimension theorem
ece.poriyaan.in
Partial Derivatives - Definition, Theorem, Worked Examples, Exercise ...
mech.poriyaan.in
Uniqueness Theorem
eee.poriyaan.in
Properties of Fourier Series - Parseval's Power Theorem
ece.poriyaan.in
Convolution Theorem - Definition
civil.poriyaan.in
Bayes Theorem - Explanation, Formula, Proof, Examples
adda247.com
Aronhold kennedy's theorem of three centres - Kinematics of Mechanisms ...
mech.poriyaan.in
Parseval 's Relation (or) Theorem (or) Identity - Examples
civil.poriyaan.in
Partial Derivatives - Definition, Theorem, Worked Examples, Exercise ...
mech.poriyaan.in
Basis, N(T), R(T), Span dimension theorem
ece.poriyaan.in
Cayley-Hamilton Theorem - Worked Example Problems
mech.poriyaan.in
Convolution Theorem - Definition
civil.poriyaan.in
Angular velocity ratio Theorem - Kinematics of Mechanisms - Theory of ...
mech.poriyaan.in
Partial Derivatives - Definition, Theorem, Worked Examples, Exercise ...
mech.poriyaan.in
Partial Derivatives - Definition, Theorem, Worked Examples, Exercise ...
mech.poriyaan.in
Partial Derivatives - Definition, Theorem, Worked Examples, Exercise ...
mech.poriyaan.in
Parallel Axis Theorem, Proof, Definition, Formula, Examples
adda247.com
Initial Value Theorem and Final Value Theorem
ece.poriyaan.in
Initial Value Theorem and Final Value Theorem
ece.poriyaan.in
Solved Example Problems - DC and AC Circuits Network Reduction Using ...
eee.poriyaan.in
Cayley-Hamilton Theorem - Worked Example Problems
mech.poriyaan.in
Axioms of probability - Theorem, Proof, Solved Example Problems
eee.poriyaan.in
Thevenin's Theorem - Statement, Proof, Circuit Diagram, Formula, Solved ...
eee.poriyaan.in
Initial Value Theorem and Final Value Theorem
ece.poriyaan.in
Cauchy's residue theorem - Statement, Proof, Formula, Solved Example ...
eee.poriyaan.in
Partial Derivatives - Definition, Theorem, Worked Examples, Exercise ...
mech.poriyaan.in
Divergence Theorem - Definition, Formula, Example Problems
eee.poriyaan.in
Boolean Algebra - Basic operations, Theorem, Formula, Truth Table ...
mech.poriyaan.in
Bernoulli's Theorem- Statement, Equation, Derivation, Applications
adda247.com
Convolution Theorem - Definition
civil.poriyaan.in
Solved Example & Practice Problems: Lami's theorem
mech.poriyaan.in
Convolution Theorem - Definition
civil.poriyaan.in
Pythagoras Theorem - Define, Formula and Solved Example
careerpower.in
Baye's Theorem - Solved Example Problems | Probability
eee.poriyaan.in
Principle of moments Varignons Theorem - 3 PRINCIPLE OF MOMENTS ...
studocu.com
Cayley-Hamilton Theorem - Worked Example Problems
mech.poriyaan.in
(a) statement of fixed point theorem lein- fixed point iteration fixed ...
eee.poriyaan.in
Milliman's Theorem - Statement, Circuit Diagram, Equation, Steps ...
eee.poriyaan.in
Convolution Theorem - Definition, Statement, Proof, Solved Example ...
mech.poriyaan.in
Printable Pythagorean Theorem Handout for Kids | Twinkl USA
twinkl.co.in
Binomial Theorem- Definition, Formula, Proof, Examples, PDF
adda247.com
Divergence Theorem - Definition, Formula, Example Problems
eee.poriyaan.in
Axioms of probability - Theorem, Proof, Solved Example Problems
eee.poriyaan.in
Axioms of probability - Theorem, Proof, Solved Example Problems
eee.poriyaan.in
Cayley-Hamilton Theorem - Worked Example Problems
mech.poriyaan.in
Convolution Theorem - Definition, Statement, Proof, Solved Example ...
mech.poriyaan.in
Parseval's relation (or) theorem (or) identity - Definition, Solved ...
mech.poriyaan.in
Partial Derivatives - Definition, Theorem, Worked Examples, Exercise ...
mech.poriyaan.in
Thevenin's Theorem - Statement, Proof, Circuit Diagram, Formula, Solved ...
eee.poriyaan.in
Convolution Theorem - Definition
civil.poriyaan.in
Central limit theorem: Example Solved Problems - Two dimensional random ...
eee.poriyaan.in
Convolution Theorem - Definition
civil.poriyaan.in
Milliman's Theorem - Statement, Circuit Diagram, Equation, Steps ...
eee.poriyaan.in
Partial Derivatives - Definition, Theorem, Worked Examples, Exercise ...
mech.poriyaan.in
Solved Example Problems - DC and AC Circuits Network Reduction Using ...
eee.poriyaan.in
Prove that a line joining the midpoints of any two sides of a triangle ...
brainly.in
Parseval 's Relation (or) Theorem (or) Identity - Examples
civil.poriyaan.in
Divergence Theorem - Statement, Proof, Equation, Solved Example Problems
eee.poriyaan.in
Cayley-Hamilton Theorem - Worked Example Problems
mech.poriyaan.in
Convolution Theorem - Definition, Statement, Proof, Solved Example ...
mech.poriyaan.in
Solved Example & Practice Problems: Lami's theorem
mech.poriyaan.in
Divergence Theorem - Statement, Proof, Equation, Solved Example Problems
eee.poriyaan.in
Superposition Theorem - Statement, Proof, Circuit Diagram, Formula ...
eee.poriyaan.in
Parseval's relation (or) theorem (or) identity - Definition, Solved ...
mech.poriyaan.in
Bloch's Theorem for Particles in a Periodic Potential - Statement ...
mech.poriyaan.in
class9 ICSE Maths ML AGGARWAL Chapter Midpoint Theorem
iqclasses.in
Lami's Theorem - with Solved Example Problems
mech.poriyaan.in
Stoke's Theorem - Definition, Formula, Proof, Example Problems
eee.poriyaan.in
Cauchy's residue theorem - Statement, Proof, Formula, Solved Example ...
eee.poriyaan.in
Convolution Theorem - Definition, Statement, Proof, Solved Example ...
mech.poriyaan.in
Angular velocity ratio Theorem - Kinematics of Mechanisms - Theory of ...
mech.poriyaan.in
Improper Integrals - Theorem, Worked Examples, Exercise with Answers ...
mech.poriyaan.in
Convolution Theorem - Definition
civil.poriyaan.in
Question BANK – 2(Part 08) - DFA to Regular Expression Using Ardens ...
studocu.com
Improper Integrals - Theorem, Worked Examples, Exercise with Answers ...
mech.poriyaan.in
Limit of a Function - Definition, Theorem, Solved Example Problems ...
mech.poriyaan.in
Solved Example Problems: Thevenin's, Norton's Theorem
eee.poriyaan.in
Partial Derivatives - Definition, Theorem, Worked Examples, Exercise ...
mech.poriyaan.in
Solved Example Problems: Thevenin's, Norton's Theorem
eee.poriyaan.in
Stoke's Theorem - Definition, Formula, Proof, Example Problems
eee.poriyaan.in
Cauchy's residue theorem - Statement, Proof, Formula, Solved Example ...
eee.poriyaan.in
basic proportionality theorem in maths: Definition, Types and ...
aakash.ac.in
Improper Integrals - Theorem, Worked Examples, Exercise with Answers ...
mech.poriyaan.in
Thevenin's Theorem - Statement, Proof, Circuit Diagram, Formula, Solved ...
eee.poriyaan.in
Vector calculus 07.16 7. use divergence theorem to evaluatexdydz+x ...
scoop.eduncle.com
Jacobi-Poisson theorem | Poisson’s second theorem | Classical mechanics
blog.sacademy.co.in
3. In triangle RST, Ð S = 90°, Ð T = 30°, RT = 12 cm then find RS and ...
brainly.in
Pythagoras Theorem, Formula, Proof for Class 10
adda247.com
Stoke's Theorem - Definition, Formula, Proof, Example Problems
eee.poriyaan.in
Boolean Algebra - Basic operations, Theorem, Formula, Truth Table ...
mech.poriyaan.in
Convolution Theorem - Definition
civil.poriyaan.in
Solved Example Problems: Thevenin's, Norton's Theorem
eee.poriyaan.in
Cayley-Hamilton Theorem - Worked Example Problems
mech.poriyaan.in
in : Definition, Types and Importance | AESL
aakash.ac.in
Axioms of Probability - Theorems of Axioms Probability
ece.poriyaan.in
Convolution Theorem - Definition, Statement, Proof, Solved Example ...
mech.poriyaan.in
Cayley-Hamilton Theorem - Worked Example Problems
mech.poriyaan.in
Divergence Theorem - Definition, Formula, Example Problems
eee.poriyaan.in
Milliman's Theorem - Statement, Circuit Diagram, Equation, Steps ...
eee.poriyaan.in
Millman's Theorem - Statement, Proof, Circuit Diagram, Formula, Solved ...
eee.poriyaan.in
Fourier Transform Pair - Definition, Properties, Proof Statement ...
mech.poriyaan.in
What is Gauss Divergence theorem State and Prove Gauss Divergence ...
studocu.com
Convolution Theorem - Definition, Statement, Proof, Solved Example ...
mech.poriyaan.in
Convolution Theorem - Definition
civil.poriyaan.in
Convolution Theorem - Definition
civil.poriyaan.in
Convolution Theorem - Definition, Statement, Proof, Solved Example ...
mech.poriyaan.in
Initial Value Theorem and Final Value Theorem
ece.poriyaan.in
Convolution Theorem - Definition
civil.poriyaan.in
AC-2 - Lecture notes 2 - 2 Application of superposition theorem Example ...
studocu.com
9.3 Chinese remainder theorem - Chinese Remainder Theorem We are given ...
studocu.com
Convolution Theorem - Definition, Statement, Proof, Solved Example ...
mech.poriyaan.in
Convolution Theorem - Definition
civil.poriyaan.in
Parallel and Perpendicular Axis Theorem of Moment of Inertia
esaral.com
Initial Value Theorem and Final Value Theorem
ece.poriyaan.in
Bloch's Theorem for Particles in a Periodic Potential - Statement ...
mech.poriyaan.in
Partial Derivatives - Definition, Theorem, Worked Examples, Exercise ...
mech.poriyaan.in
Partial Derivatives - Definition, Theorem, Worked Examples, Exercise ...
mech.poriyaan.in
Limit of a Function - Definition, Theorem, Solved Example Problems ...
mech.poriyaan.in
Improper Integrals - Theorem, Worked Examples, Exercise with Answers ...
mech.poriyaan.in
Superposition Theorem - Statement, Proof, Circuit Diagram, Formula ...
eee.poriyaan.in
Related Searches
PT/INR Test
INR Range
INR Levels
INR Values
INR 2
INR Form
INR 6
INR Formula
INR Pathway
Blood INR Levels
INR 5
Normal Range for INR
Coumadin INR Dosing Chart
3 Crore in INR
INR vs Isi
INR Over 3
Supratherapeutic INR
1 INR
Warfarin Inr Guidelines
INR Adjustment Chart
INR Calculation Formula
INR Ratio Normal Range
INR Rango
PT/INR Lab Values
INR Full Form
INR Quick
International Normalized Ratio Normal Range
Causes of High INR
Thromboplastine
Chest Guidelines Warfarin Reversal
Normal PT PTT and INR Levels
INR Blood Test Normal Range
Irn Test
International Normalized Ratio INR
Warfarin Inr Goal
10 INR
5 INR
INR Medicina
Search
×
Search
Loading...
No suggestions found