Find Your Style
Women
Men
Accessories
Search for clothing, brands, styles...
×
Women
Men
Accessories
Thermochemistry Equations
Search
Loading...
No suggestions found
INR Frequently Asked Questions | RCS
remotecardiacservices.com
What is thermochemistry in chemistry || thermochemistry Equations ...
chemistrypage.in
Thermochemical equations - THERMOCHEMISTRY The branch of chemistry ...
studocu.com
based on the following thermochemical equation the value of x will be ...
brainly.in
Derivation Of NERNST Equation from Thermochemistry. - Brainly.in
brainly.in
What is thermochemical equation? Give two examples - Brainly.in
brainly.in
Kirchoff's equation - Grade: A - Thermochemistry Variation of enthalpy ...
studocu.com
What is thermochemistry in chemistry || thermochemistry Equations ...
chemistrypage.in
3.Calculate the standard enthalpy of formation of C2H4(g) from the ...
brainly.in
5 Calculate the standard enthalpy of formation of C4H8 (g) from the ...
brainly.in
Tools for Optimization of Biomass-to-Energy Conversion Processes ...
encyclopedia.pub
வெப்ப வேதிச்சமன்பாடுகள் (Thermochemical equations) | Thermochemical ...
brainkart.in
Thermochemistry, Class 11, Chemistry Detailed Chapter Notes PDF Download
edurev.in
வெப்ப வேதிச்சமன்பாடுகள் (Thermochemical equations) | Thermochemical ...
brainkart.in
வெப்ப வேதிச்சமன்பாடுகள் (Thermochemical equations) | Thermochemical ...
brainkart.in
Give the thermochemical equation,C2H2+5/2O2 gives 2CO2+H2O write ...
brainly.in
THERMODYNAMICS AND THERMOCHEMISTRY JEE MAINS PYQ
asiteformathematics.in
Important Thermodynamics Formulas for JEE and NEET
edurev.in
Thermodynamics and Thermochemistry - NEET Previous Year Questions with ...
esaral.com
Acetic acid (ethanoic acid) and hydrochloric acid react with KOH ...
ask.learncbse.in
The Clausius Clapeyron Equation - Thermochemistry Video Lecture ...
edurev.in
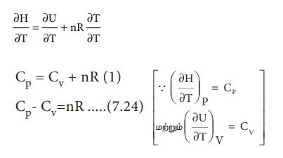
Relation Between Heat capacity at Constant Volume (CV) & Constant ...
aakash.ac.in
Calculate the enthalpy of the reaction 2NO(g)+O2(g)→2NO2(g) - Home Work ...
ask.learncbse.in
Enthalpy, Heat Capacities and Thermochemistry - Chemistry Class 11 ...
edurev.in
From the following thermochemical equation calculate the standard ...
brainly.in
வெப்ப வேதிச்சமன்பாடுகள் (Thermochemical equations) | Thermochemical ...
brainkart.in
Give chemical reaction when carbon dioxide reacts with water gives rise ...
brainly.in
why do thermochemical equations not determine spontaneity ? if in a ...
brainly.in
Buy Thermochemistry Book Online at Low Prices in India ...
amazon.in
Thermodynamics, Class 11 Chemistry NCERT Solutions
evidyarthi.in
The Concept Of Thermochemistry [1 min read]
fairgaze.com
Compute the enthalpy of hydrogenation of ethylene if the bond ...
zigya.com
Thermochemistry : Amazon.in: Books
amazon.in
Thermodynamics and Thermochemistry - NEET Previous Year Questions with ...
esaral.com
Calculate the enthalpy of the reaction 2NO(g)+O2(g)→2NO2(g) - Home Work ...
ask.learncbse.in
Enthalpy, Heat Capacities and Thermochemistry - Chemistry Class 11 ...
edurev.in
Abridged thermodynamic and thermochemical tables,: With charts (The ...
amazon.in
Enthalpy, Heat Capacities and Thermochemistry - Chemistry Class 11 ...
edurev.in
Write the chemical formula of hydrated copper sulphate and anhydrous ...
brainly.in
based on the following thermochemical equation the value of x will be ...
brainly.in
Calcium hydrogen carbonate decomposition equation - Brainly.in
brainly.in
CH 2= CH 2(g)+ H 2(g) arrow CH 3- CH 3(g) The heat of reaction is [bond ...
tardigrade.in
What is the main application of Hess's law? - Brainly.in
brainly.in
the element aluminnium is written by the symbole 27 13Al, write the no ...
brainly.in
9 8 Q.IV, Solve the following simultaneous equation. 1. 1-3 - y +2 = 1 ...
brainly.in
Thermochemistry, Tautomerism, and Thermal Stability of 5,7 ...
mdpi.com
EMF Equation Of The Transformer - Due to this, the current in the ...
studocu.com
What is the main application of Hess's law? - Brainly.in
brainly.in
The major product obtained in the following reaction is buok - Brainly.in
brainly.in
HESS'S LAW AND HEAT OF FORMATION, High School Science, Thermochemistry ...
treehut.in
ENDOTHERMIC VS EXOTHERMIC REACTIONS, High School Science ...
treehut.in
Fillable Online Experiment 8 HEAT OF SOLUTION OF UREA - CCBC Faculty ...
pdffiller.com
RELATIVE DENSITY TEST
home.iitk.ac.in
High school chemistry thermochemical equation: solve by drawing ...
amazon.in
when electric current is passed through acidulated water decomposition ...
brainly.in
How many grams of Na2SO4 will be produced from 4 moles of H2SO4 and 2 ...
brainly.in
iii) Complete the following chemical equation. C12 H22 O11 +Heat ...
brainly.in
Buy Thermochemistry Book Online at Low Prices in India ...
amazon.in
balance these following equations - Brainly.in
brainly.in
In a mixture of 28 litres, the ratio of milk and water is 5:2. Set up ...
philoid.in
What is the Golden Ratio? - Twinkl
twinkl.co.in
Derivation of equations and List of 3 equations of motion - Physics ...
aakash.ac.in
Thermochemistry, Class 11, Chemistry Detailed Chapter Notes PDF Download
edurev.in
Derivation of equations and List of 3 equations of motion - Physics ...
aakash.ac.in
How many grams of Na2SO4 will be produced from 4 moles of H2SO4 and 2 ...
brainly.in
Buy Optimal Control of Partial Differential Equations: Theory and ...
amazon.in
Differential Equations - Complementary Mathematics - Studocu
studocu.com
Thermochemistry - Introduction, Enthalpy and Internal Energy Changes ...
aakash.ac.in
Uniform Circular Motion Formula, Definition, Solved Examples
pw.live
Starting from the equation for the pressure exerted by a gas on the ...
brainly.in
What is the main application of Hess's law? - Brainly.in
brainly.in
Predict a and b in the following reaction - Brainly.in
brainly.in
Solve the following system of linear equations graphically. 3x+y-12=0 ...
brainly.in
Fe+O² Fe²O³ balance the chemical equation - Brainly.in
brainly.in
solve the chemical equation - Brainly.in
brainly.in
Derivation of equations and List of 3 equations of motion - Physics ...
aakash.ac.in
THERMOCHEMISTRY! High School Science, Thermochemistry Coloring Pages ...
treehut.in
14. let a bead slides on a wire in the shape of cycloid described by ...
scoop.eduncle.com
International Conference on Differential Equations eBook : Antosiewicz ...
amazon.in
Buy Equations of Motion in General Relativity: 148 (International ...
amazon.in
Derivation of equations and List of 3 equations of motion - Physics ...
aakash.ac.in
Buy Non-Classical Equations of Mixed Type and Their Applications in Gas ...
amazon.in
draw the lewis dot structure of C2H4,C2H2 and CO2 - Brainly.in
brainly.in
Write whether the following pair of equations are consistent ...
brainly.in
Accounting Equation: Definition and Formula with Example
navi.com
Chapter 2 Linear Equations in One Variable
manabadi.co.in
What a p-Value Tells You about Statistical Data - India Dictionary
1investing.in
Lewis dot structure for Ca(OH)2 - Brainly.in
brainly.in
Find the empirical formula of a compound containing 17.7% hydrogen and ...
brainly.in
3.Calculate the standard enthalpy of formation of C2H4(g) from the ...
brainly.in
Buy SIMULTANEOUS EQUATIONS ESTIMATION (The International Library of ...
amazon.in
Hamilton’s equation of motion in PB formulation | Poisson’s theorem ...
blog.sacademy.co.in
5 moles of glucose are dissolved in 1.1kg of water. If density of ...
brainly.in
By how much will the potential of zinc electrode change if the solution ...
brainly.in
Find the equation of the line so that the segment intercept between the ...
allen.in
Buy Applied Partial Differential Equations | Fourth Edition | By ...
amazon.in
give structural formula of two possible isomers of C⁴H¹⁰ - Brainly.in
brainly.in
Buy Linear Integral Equations: Theory and Technique Book Online at Low ...
amazon.in
50+ endothermic and exothermic processes worksheets for 12th Class on ...
quizizz.com
What is OHM'S LAW? Write the mathematical equation for V, I, R also ...
brainly.in
If the ratio of the roots of the equation 4x^(2)-6x+p=0 is 1:2 then the ...
brainly.in
define solute , solution and solvent - Brainly.in
brainly.in
2In the given molecule :31 2CH3 -C=C-CH2-C13-c=ć-ĆOH(a)Arrange the ...
brainly.in
👉 Solving One-Step Equations | KS3 Maths | Beyond
twinkl.co.in
PYROASIA 2024 : 4th International Symposium on Analytical and Applied ...
event.iitg.ac.in
Study of the Thermochemical Surface Treatment Effect on the Phase ...
mdpi.com
What is the formulae of nitric acid ? - Brainly.in
brainly.in
Page No:-The dissociation constant of weak monoba.sic acid is 3.2x10-4 ...
brainly.in
On a Generalization of the Jensen–Shannon Divergence and the Jensen ...
mdpi.com
Buy International Relations: New Horizons and Changing Equations: Vol ...
amazon.in
Draw the structure and molecular formula of the following compounds 1 ...
brainly.in
8. let a, b, and aa denote subsets of a space x. determine whether the ...
scoop.eduncle.com
Buy Differential Equations With Applications and Historical Notes ...
amazon.in
Balancing Equations Worksheet With Answers Pdf Grade 10 - Fill Online ...
pdffiller.com
Make a concept map on chapter Pair of Linear Equations in Two variables ...
brainly.in
When cl2 rects with excess of f2 .Clf3 is formed and not fcl3? - Brainly.in
brainly.in
Structural Equation Modeling (SEM) of Cysticercosis in School-Aged ...
mdpi.com
The ratio of number of electrons inN shell of A and M shell of B with ...
brainly.in
Fractional Fokker-Planck Equation
mdpi.com
what is gauss theorem .. drive an expression for it - Brainly.in
brainly.in
Related Searches
Endothermic Equation
Exothermic Equation
Thermochemistry Formula Sheet
Delta H Equation
Thermochemistry Graph
Chem Thermo Equations
Thermochemical Cycle
Heat of Reaction Equation
Thermochemistry Equations and Formulas
Equation for Enthalpy Change
Enthalpy of Combustion Equation
Chemical Change Equation
Thermochemistry Examples
Enthalpy Equation Chemistry
Balanced Thermochemical Equation
Combustion of Methane Equation
Thermochemistry Worksheet
General Chemistry Equation Sheet
One Step Equations
Butane Combustion Equation
Energy Equation Thermo
Formation of Water Equation
Thermochemistry Equations to Knowworksheet
Thermochemistry System
Standard Enthalpy of Formation Equation
Delta G Equation
Thermochemistry Formulas Cheat Sheet
Thermodynamics Equations
Thermochemistry Equations Chart
Thermochemistry Equations List
Thermodynamics First Law Equation
Calorimeter Equation
Thermal Chemical Equation
Thermo Quality Equation
Specific Heat Equation
Q Equation Thermochemistry
Calorimetry Equation
Equation for Heat Capacity
Equation for KJ
Equation Chimique
Work Equation Thermochemistry
Thermochemical State
Thermochemical Methods
Thermochemical Equation Definition
All Thermochemistry Formulas
What Is a Thermochemical Equation
Thermochemicl Equation
Define Thermochemical Equation
Thermochemically
Thermochemical Stoichiometry Equations
Search
×
Search
Loading...
No suggestions found