Find Your Style
Women
Men
Accessories
Search for clothing, brands, styles...
×
Women
Men
Accessories
Tpm Steps
Search
Loading...
No suggestions found
1 LTC to INR Converter, 1 Litecoin to INR in 2022 - Exchanger24
exchanger24.org
First Time Employees Will Get INR 15000/- From Government: Step-by-Step ...
hrcalcy.in
0.1 ETH to INR Converter, How much Convert Ethereum to Indian Rupee ...
exchanger24.org
BTC to INR Converter, Convert Bitcoin to INR Exchange 2022 - Exchanger24
exchanger24.org
1 LTC to INR Converter, 1 Litecoin to INR in 2022 - Сryptocurrency-exchange
cryptocurrency-exchange.us.com
BTC to INR Converter, Convert Bitcoin to INR Exchange 2022 - Exchanger24
exchanger24.org
BharatBenz - Steps Products at price INR 0 in Madurai | N.Kannalagan ...
kannalagan.co.in
Sundar Pichai: Google unveils 4-step plan for 75,000 Cr INR digital ...
economictimes.indiatimes.com
Stake India Minimum Deposit in INR and Crypto (2025)
bettingguide.com
Stake India Minimum Deposit in INR and Crypto (2025)
bettingguide.com
Smartworld Developers marks 1st step with INR 2,000 Cr. worth sales of ...
aninews.in
Buy Orion Step Spice Rack from Home Centre at just INR 599.0
homecentre.in
Stake India Minimum Deposit in INR and Crypto (2025)
bettingguide.com
Stake India Minimum Deposit in INR and Crypto (2025)
bettingguide.com
buysafetyposters.com - 8 Steps of TPM Poster In English Sun Board A4 (8 ...
amazon.in
TPM in Process Industries (Step-By-Step Approach to TPM Implementation ...
amazon.in
Buy An lisis P-M: An Advanced Step in TPM Implementation Book Online at ...
amazon.in
Buy The TPM Playbook: A Step-by-Step Guideline for the Lean ...
desertcart.in
Autonomous Maintenance in Seven Steps: Implementing TPM on the Shop ...
amazon.in
AYT_TPM (Total Productive Maintenance) Poster in Hindi English : Amazon ...
amazon.in
Buy Implementing TPM: The North American Experience (Step-By-Step ...
desertcart.in
New Method of Degradation Process Identification for Reliability ...
mdpi.com
buysafetyposters.com - Goals Of TPM Poster In English Vinyl Sun Board ...
amazon.in
Lean Six Sigma Explained: Guides Through TPM, Flexibility, Organisation ...
amazon.in
Jual Buku Autonomous Maintenance in Seven Steps - Implementing TPM on ...
tokopedia.com
Signageshop Tpm Is Our Way Of Life Poster : Amazon.in: Industrial ...
amazon.in
Manufacturing Plants’ Machine Break Downs, Defects & Accidents May Tend ...
amazon.in
Autonmous-Maint-lec2a - Support fromSupport from Autonomous Maintenance ...
studocu.com
Autonomous Maintenance in Seven Steps: Implementing TPM on the Shop ...
topprice.in
Colon cancer treatment: surgery | Colectomy | Dr. Nikhil Agrawal
drnikhilagrawal.com
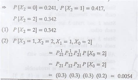
Problems under n-step tpm pn
ece.poriyaan.in
Problems under n-step tpm pn
ece.poriyaan.in
Thyroidectomy: Types, Procedure, Steps & Recovery
medicoverhospitals.in
Problems under n-step tpm pn
ece.poriyaan.in
Buy GIGABYTE GC-TPM2.0_S 2.0 TPM Module (12 Pin 12-1) LPC TPM Trusted 2 ...
ubuy.co.in
Rufus - बूट करने योग्य यूएसबी ड्राइव को आसान तरीके से बनाएं
rufus.ie
Shoulder Surgery Postoperative Immobilization: An International Survey ...
mdpi.com
Problems under n-step tpm pn
ece.poriyaan.in
Problems under n-step tpm pn
ece.poriyaan.in
Australia Subclass 190 Vs 491 Visas - Find Out Which Visa Suits You Best!
kansaz.in
Problems under n-step tpm pn
ece.poriyaan.in
Problems under n-step tpm pn
ece.poriyaan.in
Problems under n-step tpm pn
ece.poriyaan.in
Nirma University Library catalog
librarysearch.nirmauni.ac.in
Problems under n-step tpm pn
ece.poriyaan.in
Problems under n-step tpm pn
ece.poriyaan.in
Problems under n-step tpm pn
ece.poriyaan.in
Problems under n-step tpm pn
ece.poriyaan.in
Problems under n-step tpm pn
ece.poriyaan.in
RBI intervenes to stop rupee’s fall to 88 to a dollar
msn.com
Problems under n-step tpm pn
ece.poriyaan.in
Top 10 Proven Checklist for Successful Application Handover
1985.co.in
buysafetyposters.com - 7 Steps Autonomous Maintenance Poster In English ...
amazon.in
Provisions Relating To Nil Return Under GST
taxguru.in
Complete Guide to Vendor Management System & Processes | Amazon Business
business.amazon.in
Buy Thyroid Power: Ten Steps to Total Health Book Online at Low Prices ...
amazon.in
Buy Mechatron Robotics® 30+ DIY Electronics & Science Project Kit ...
amazon.in
Buy Third-Party Maintenance The Ultimate Step-By-Step Guide Book Online ...
amazon.in
Steps route to Tirumala via Srivarimettu - Reviews, Photos - Srivari ...
tripadvisor.in
ITC 01 - Step by Step Guide to File a form to claim ITC for New GST ...
cleartax.in
What a p-Value Tells You about Statistical Data - India Dictionary
1investing.in
A publishing platform for developers - Bufferwall
bufferwall.com
Total Station Setup and Operation | Survey and Total Station Instructions
constructioncivilengineering.com
Washing Face Step-by-Step Instructions
twinkl.co.in
Buy 7 Autonomous Maintenance Steps Poster Book Online at Low Prices in ...
amazon.in
buysafetyposters.com - Shine Hindi Poster In English Vinyl Sun Board (2 ...
amazon.in
Cropping Pattern, Agricultural Productivity, Agricultural Intensity ...
gktoday.in
Buy Kdqueery PVC Stair Step Anti-Slip Strip for Schools Kindergartens ...
ubuy.co.in
NOCTA HOT STEP 2 'TOTAL ORANGE' (DZ7293-800) release date. Nike SNKRS
nike.com
Buy Simple Steps To Total Health Book Online at Low Prices in India ...
amazon.in
Ladder A Frame 4 Step Ladder Extension 14 Ft Anti | Desertcart INDIA
desertcart.in
Blog
futech.co.in
NOCTA HOT STEP 2 'TOTAL ORANGE' (DZ7293-800) release date. Nike SNKRS
nike.com
Buy RYNOSKIN Running Boards Compatible with 2018-2022 Jeep Wrangler JL ...
ubuy.co.in
Buy TAC Side Steps Running Boards Fit 2019-2023 Chevy Silverado / GMC ...
ubuy.co.in
Reliability Centered Maintenance The Ultimate Step-By-Step Guide eBook ...
amazon.in
NOCTA HOT STEP 2 'TOTAL ORANGE' (DZ7293-800) release date. Nike SNKRS
nike.com
Low-Dose Colchicine Effective for Preventing Ischaemic Stroke and ...
medicaldialogues.in
Tutorial for beginners and advanced Cost Estimating professional
constructioncivilengineering.com
6E seat & Eat: Book a 6E seat and snack - IndiGo
goindigo.in
Buy TAC Side Steps Running Boards Fit 2019-2023 Chevy Silverado / GMC ...
ubuy.co.in
PSM57HS2A81-2P [Maxima Stepper Motor]
pbh.in
Five steps to service your washing machine amid lockdown
aninews.in
family trip to Tirumala - Reviews, Photos - Tirumala Tirupati ...
tripadvisor.in
Buy Laptops and Tablet PCs with Microsoft Windows XP Step by Step ...
amazon.in
NOCTA HOT STEP 2 'TOTAL ORANGE' (DZ7293-800) release date. Nike SNKRS
nike.com
Buy Proactive maintenance The Ultimate Step-By-Step Guide Book Online ...
amazon.in
Buy TAC Side Steps Running Boards Fit 2019-2023 Chevy Silverado / GMC ...
ubuy.co.in
Buy Manual of Chronic Total Occlusion Percutaneous Coronary ...
amazon.in
HOW TO STOP PROCRASTINATION: PRACTICAL STEPS TO A PRODUCTIVE LIFE eBook ...
amazon.in
Mastering SAP Plant Maintenance: A Comprehensive and Step by Step Guide ...
amazon.in
Buy Support and Maintenance The Ultimate Step-By-Step Guide Book Online ...
amazon.in
Solar Panel Maintenance: Key Steps for Maximum Efficiency
sunifysolar.in
Where Can I Find the Official Blue Star Air Cooler Customer Care Number ...
aircoolerclinic.in
Personal Care and Tractor Maintenance Step-by-Step Guide
tractornews.in
Draw a flowchart for a program which asks the user to enter a password ...
brainly.in
筆文字デザイン 毎日一歩一歩 Step by step every day | 筆文字市場
fudeichiba.thebase.in
NPS: National Pension Schemes Eligibility, Types, Calculator
paisabazaar.com
Seven Steps To Be More Productive eBook : Thomas, Steve: Amazon.in ...
amazon.in
Flight Cancellation, Charges & FAQs - IndiGo
goindigo.in
Buy Decathlon Quechua, 3 Peron 2 Second Pop Up Camping Tent, with ...
ubuy.co.in
How to Become an AWS Solution Architect – Step-by-Step Guide – Eduyush
eduyush.com
Buy Fast-Acting Wart Remover - Plantar and Genital Wart Treatment ...
ubuy.co.in
Here are Some Simple Steps for Garage Door Maintenance
wd40.in
6E seat & Eat: Book a 6E seat and snack - IndiGo
goindigo.in
Installing a Load Cell
in.omega.com
Buy MICROSOFT ONENOTE FOR BEGINNERS: Get Organized and More Productive ...
desertcart.in
50+ Money Word Problems worksheets for 2nd Class on Quizizz | Free ...
wayground.com
Buy CNCEST 3000w Step Up and Down Electrical Power Voltage Converter ...
ubuy.co.in
Is The Indian Rupee’s Fall Connected To Chinese Yuan’s Movement ...
goodreturns.in
Buy Manual of Coronary Chronic Total Occlusion Interventions: A Step-by ...
amazon.in
Buy Aparecium Work Platform Height Adjustable, Portable Step Stool ...
desertcart.in
Flight Cancellation, Charges & FAQs - IndiGo
goindigo.in
3DM783 | Precision Bearing House
pbh.in
Startup India-Definition, Recognition, Benefits and FAQs
taxguru.in
Related Searches
TPM 7 Steps
TPM 12 Steps
TPM Concept
TPM PPT
TPM Level
TPM Goals
TPM AM Steps
TPM Process Map
Autonomous Maintenance 7 Steps
TPM Machine
TPM Road Map
5 Pillars of TPM
TPM Implementation Steps
TPM Schedule
TPM Activities
5S TPM
TPM Master Plan
TPM Lean
Total Productive Maintenance Template
Total Productive Maintenance Checklist
TPM Japanese
TPM Step 4
TPM Lean Tool
TPM Activity Board
TPM Slides
TPM Costing
TPM Sheet
TPM Meaning
What Is TPM in Manufacturing
TPM Visual Management
TPM Kick Off
TPM Cost
TPM Solutions
TPM Handbook
TPM Start Up
TPM Newsletter
TPM 8 Pillars
TPM Examples
TPM Model
TPM Step 2
TPM Industry
TPM Logo
QM Steps in TPM
TPM Implemenation Steps
TPM Pm 7 Steps
TPM Slogan
TPM Software
Implementing TPM
TPM Phases
Steps in a 5 Day TPM Event
Search
×
Search
Loading...
No suggestions found