Find Your Style
Women
Men
Accessories
Search for clothing, brands, styles...
×
Women
Men
Accessories
Transistor Explain
Search
Loading...
No suggestions found
CM150RX1-24A Insulated Gate Bipolar Transistor Products at price INR ...
rkcomp.in
Understanding the Saudi Riyal Currency | INR to SAR
orientexchange.in
Understanding the Saudi Riyal Currency | INR to SAR
orientexchange.in
Basic Electronics - Transistor Configurations | PadaKuu.com
padakuu.com
Basic Electronics - Transistor Configurations | PadaKuu.com
padakuu.com
UNIT 3 BEE TRANSISTORS: Understanding Transistor Circuits and Types ...
studocu.com
BJT GOLD - UNIT-I BIPOLAR JUNCTION TRANSISTOR (BJT) TRANSISTOR ...
studocu.com
Basic Electronics
vlabs.iitkgp.ac.in
(a)With the proper diagram, explain the movement of charge carriers ...
philoid.in
BC547 Transistor: An In-Depth Guide – ThinkRobotics.com
thinkrobotics.com
Pass transistor Logic - NMOS as Pass Transistor Logic- Transfer: Logic ...
studocu.com
Explain the working of NPN transistor. - Brainly.in
brainly.in
Introduction to Linear Voltage Regulators
digikey.in
Consider the transistor circuit shown in below figure. The average ...
edurev.in
with the help of neat circuit diagram, explain the transistor and ...
brainly.in
The h-parameters for the transistor shown below are given as:hie = 10 ...
edurev.in
When is a transistor said to be in active state? Draw a circuit diagram ...
philoid.in
In the current mirror circuit shown below, the transistor parameters ...
edurev.in
A transistor having andalpha; = 0.99 andamp; VBE = 0.7V is used in the ...
edurev.in
If cross-sectional area of base-emitter junction of transistor is 2 ...
edurev.in
a) Draw the circuit diagram to determine the characteristics of a p- n ...
philoid.in
What is the total anode current of SCR in the equivalent circuit from ...
edurev.in
When a transistor is used in common emitter mode as an amplifier a)Base ...
edurev.in
BC547 Transistor Pinout And Guide For Beginners NerdyTechy, 41% OFF
elevate.in
Explain working of a transistor as an amplifier in detail with the help ...
brainly.in
Understanding PMOS Transistor Behavior In Triode Region - GATE ...
edurev.in
Explain the working of a common base transistor amplifier with the help ...
brainly.in
In the circuit shown in figure, a Silicon transistor with VBE = 0.7 V ...
edurev.in
Calculate the collector voltage (Vc) of the transistor circuit shown in ...
edurev.in
explain with the help of a labelled diagram the working of a transistor ...
brainly.in
In the figure shown, the npn transistor acts as a switch For the input ...
edurev.in
For the transistor M1 in the circuit shown in the figure, andmu;nCox ...
edurev.in
Draw and explain common Emitter transistor as amplifier. - Brainly.in
brainly.in
with proper diagrams, explain the movement of charge carriers through ...
brainly.in
Draw a labelled circuit diagram of npn germanium transistor in common ...
brainly.in
The circuit diagram of a common emitter amplifier using a silicon ...
edurev.in
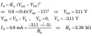
In the circuit of fig. the transistor parameters are VTN= 1.7 V and Kn ...
edurev.in
draw a neat diagram circuit diagram of a transistor CE amplifier ND ...
brainly.in
Draw circuit diagram of n-p-n transistor amplifier in CE configuration ...
ask.learncbse.in
Explain diode switching times and transistor switching times. - Brainly.in
brainly.in
The 3-terminal linear voltage regulator is connected to a 10 ohm load ...
edurev.in
In the following circuit, Tr1 andTr2 are identical transistors having ...
edurev.in
The transistor in the amplifier shown has the following parameters:hfe ...
edurev.in
draw a neat diagram circuit diagram of a transistor CE amplifier ND ...
brainly.in
With neat diagram and waveforms explain the working principle of a ...
brainly.in
The transconductance of a transistor as shown in figure is 10 mS. The ...
edurev.in
Draw a circuit diagram of n-p-n transistor amplifier in CE ...
ask.learncbse.in
For the circuit shown, assume that the NMOS transistor is in saturation ...
edurev.in
Consider the circuit shown in the figure Assume base-to-emitter voltage ...
edurev.in
What is biasing a transistor? Explain the voltage divider bias ...
brainly.in
A small signal source V(t)=Acos20t+Bsin10000t, is applied to a ...
edurev.in
explain with the help of a labelled diagram the working of a transistor ...
brainly.in
draw a neat diagram circuit diagram of a transistor CE amplifier ND ...
brainly.in
Inthe circuit shown below, the op-amp is ideal, the transistor has VBE ...
edurev.in
Explain diode switching times and transistor switching times. - Brainly.in
brainly.in
In the BJT circuit shown, beta of the PNP transistor is 100. Assume VBE ...
edurev.in
Timer IC 555 - Operating working principle, Block Diagram, Pin Diagram ...
eee.poriyaan.in
What is an oscillator ? With the help of a circuit diagram explain the ...
brainly.in
A power transistor has its switching waveforms as shown in fig. If the ...
edurev.in
Going Beyond the Datasheet LDO Parameters | DigiKey
digikey.in
Assuming VCE,sat= 0.2V andamp; andbeta; = 50, the minimum base current ...
edurev.in
A common emitter amplifier with an external capacitor Cc connected ...
edurev.in
The circuit diagram of a common emitter amplifier using a silicon ...
edurev.in
For a power transistor typical switching waveform shown in Fig. the ...
edurev.in
with the help of circuit diagram explain how transistor can be used as ...
brainly.in
current amplifier transistor | - Claim Your Bonus of ₹200 Today ...
meeting.lsgkerala.gov.in
ZMPT101B – wirelays.com
wirelays.com
While a collector emitter voltage is constant in a transistor, the ...
edurev.in
Wt ia a transistor ? Mention its kinds and explain them - Brainly.in
brainly.in
Depletion Region: definition, process formation, depletion width ...
allen.in
For a Si transistor connected as shown in the fig. VBE = 0.7V. Given ...
edurev.in
Comparison between BJT and MOSFET
eee.poriyaan.in
Assume that all inputs in the open-collector TTL gate shown below are ...
edurev.in
Vlsi assignment 1 - asignment - Assignment 1a 1. explain MOS transistor ...
studocu.com
If cross-sectional area of base-emitter junction of transistor is 2 ...
edurev.in
Understanding BJT Q Point and Stability - Bipolar Junction Transistor ...
edurev.in
The following CMOS transistor based circuit with A, B, C as input and X ...
edurev.in
In the BJT circuit shown, beta of the PNP transistor is 100. Assume VBE ...
edurev.in
8051 Timer Modes and Programming
eee.poriyaan.in
A transistor can be made to operate as a switch by operating it in ...
edurev.in
Determine the maximum value of so that transistor remains in saturation ...
edurev.in
Chapter 11: The Current Mirror [Analog Devices Wiki]
wiki.analog.com
Consider the circuit shown in the figure Assume base-to-emitter voltage ...
edurev.in
Understanding the RS-232 Standard
digikey.in
Stability Factor - Bipolar Junction Transistors (BJT)
eee.poriyaan.in
The h-parameters for the transistor shown below are given as:hie = 10 ...
edurev.in
MOSFET Characteristics - Analog and Digital Electronics - Electrical ...
edurev.in
Understanding And Mapping Sensitivity In MoS2, 45% OFF
elevate.in
Understanding And Mapping Sensitivity In MoS2, 45% OFF
elevate.in
A power transistor has its switching, waveforms as shown in figure. If ...
edurev.in
C1815 NPN Audio Amplifier Transistor – QuartzComponents
quartzcomponents.com
For the pnp transistor shown, the collector current ICis_______ mA ...
edurev.in
Consider the transistor circuit shown in below figure. The average ...
edurev.in
Explain the working of transistor as an oscillator - Brainly.in
brainly.in
For the circuit shown, assume that the NMOS transistor is in saturation ...
edurev.in
Molicel INR-21700-P45B 3.6V 4500mAh 10C Li-ion Battery – Hi Tech xyz
hitechxyz.in
Inkfonts How to Read A Safety Data Sheet SDS/MSDS Poster 2024 India | Ubuy
ubuy.co.in
Understanding and Using the Most Common Datasheet Diagrams
digikey.in
Understanding MOSFET datasheet parameters | DigiKey
digikey.in
In the circuit of fig. the transistor parameters are VTN= 1.7 V and Kn ...
edurev.in
Use Case of TIP31C and TIP32C
hnhcart.com
Explain diode switching times and transistor switching times. - Brainly.in
brainly.in
C1815 NPN Audio Amplifier Transistor – QuartzComponents
quartzcomponents.com
Using a circuit diagram, explain how a transistor works as an ...
brainly.in
The full forms of the abbreviations TTL and CMOS in reference to logic ...
edurev.in
For a narrow base PNP BJT, the excess minority carrier concentration ...
edurev.in
Biocompatible Potato-Starch Electrolyte-Based Coplanar Gate-Type ...
mdpi.com
A silicon npn bipolar transistor has doping concentration of NE= 2 x ...
edurev.in
Vlsi - QUESTION BANK (CBCS FORMAT) Module 1 Q. NO. Questions CO RBT ...
studocu.com
2N3904S ट्रांजिस्टर को समझना: सुविधाएँ और उपयोग
allelcoelec.in
Understanding and Using the Most Common Datasheet Diagrams
digikey.in
Understanding the Role of the HSM as the Root of Trust - Utimaco
utimaco.com
A uniformly doped silicon epitaxial npn bipolar transistor is ...
edurev.in
CTC Calculator | Salary Breakdown for Indian Employees
ctccalculator.in
- (A) Explain the following statement with the help of a diagram.In a ...
brainly.in
Understanding and Using the Most Common Datasheet Diagrams
digikey.in
7805 Voltage Regulator Pinout, Circuit, Datasheet, And, 60% OFF
iiitl.ac.in
Probots GA12-N20 12V 30RPM Micro DC Reducer Motor Encoder with Wire Buy ...
probots.co.in
Code: AE26
iete-elan.ac.in
Understanding the Role of the HSM as the Root of Trust - Utimaco
utimaco.com
Related Searches
NPN Transistor Switch Circuit
Transistor as Switch
Transistor Inside
PNP Transistor Switch Circuit
Transistor Board
First Transistor Computer
Transistor Definition
Transistor Function
Transistor Component
Transistor Switch Circuit Diagram
Transistor Working
Transistor Types
Transistor Work
Transistor Wikipedia
Current Flow in Transistor
Transistor Equivalent Circuit
What Does a Transistor Look Like
Transistor Case Types
Terminals of a Transistor
Transistor Working Principle
How Does Transistor Work
Transistor Purpose
Transistor Anatomy
How to Turn On a Transistor
How a Transistor Works
Transistor Synonym
Transistor Process
NPN vs PNP Transistor
How a Transistor Circuits Works
What Do Transistors Do
Meaning of Transistors
Transistor Def
Transistor as a Switch PDF
Biasing
Evolution of Transistors
Vacuum Tubes vs Transistors
BJT Pin Diagram
Transistor Application
PowerPoint Transistor
What Is a Transistor
PNP Transistor Symbol
Bipolar Junction Transistor
Introduction to Transistors
How Current Flows through Transistor
Transistor 2nd Generation Computer
Transistors How They Work
Transistor Engineering
Explain Transistor Diagram
Transistor Explained for Kids
How Is a Transistor Made
Search
×
Search
Loading...
No suggestions found