Find Your Style
Women
Men
Accessories
Search for clothing, brands, styles...
×
Women
Men
Accessories
Transversely Isotropic
Search
Loading...
No suggestions found
Top 10 Countries Where INR Has the Highest Value in 2025
currentaffairs.adda247.com
Indian Rupee (₹) - Buy INR Currency Online at Best Rates
makemytrip.com
usd to inr sbi rate: Latest News & Videos, Photos about usd to inr sbi ...
economictimes.indiatimes.com
Bitcoin price today, BTC to INR live price, marketcap and chart | Suncrypto
suncrypto.in
Ugro Capital Crosses Inr 10000 crore aum milestone launches 10k ...
psuconnect.in
33000 euro to inr - Claim a ₹300 Bonus Today! Android IOS V- 1.79
tax.lsgkerala.gov.in
ValueQuest Enters PE Segment With INR 1,000 Cr Fund
businessoutreach.in
BTC to INR Converter, Convert Bitcoin to INR Exchange 2022 - Exchanger24
exchanger24.org
WazirX to Partially Lift INR Withdrawal Suspension Starting August 26 ...
topnews.in
Mast Masala Oats | TATA Soulfull | INR 209/- only
soulfull.co.in
Numerical Investigation of the Failure Mechanism of Transversely ...
mdpi.com
Numerical Investigation of the Failure Mechanism of Transversely ...
mdpi.com
Numerical Investigation of the Failure Mechanism of Transversely ...
mdpi.com
Numerical Investigation of the Failure Mechanism of Transversely ...
mdpi.com
Numerical Investigation of the Failure Mechanism of Transversely ...
mdpi.com
Numerical Investigation of the Failure Mechanism of Transversely ...
mdpi.com
Numerical Investigation of the Failure Mechanism of Transversely ...
mdpi.com
Objectives_template
archive.nptel.ac.in
Numerical Investigation of the Failure Mechanism of Transversely ...
mdpi.com
Numerical Investigation of the Failure Mechanism of Transversely ...
mdpi.com
Numerical Investigation of the Failure Mechanism of Transversely ...
mdpi.com
Numerical Investigation of the Failure Mechanism of Transversely ...
mdpi.com
Second-Order Approximate Reflection Coefficient of Thin Interbeds with ...
mdpi.com
Objectives_template
archive.nptel.ac.in
Moisture-Dependent Transverse Isotropic Elastic Constants of Wood S2 ...
mdpi.com
Second-Order Approximate Reflection Coefficient of Thin Interbeds with ...
mdpi.com
6 Stress - Strain relation
web.iitd.ac.in
Second-Order Approximate Reflection Coefficient of Thin Interbeds with ...
mdpi.com
Numerical Investigation of the Failure Mechanism of Transversely ...
mdpi.com
Second-Order Approximate Reflection Coefficient of Thin Interbeds with ...
mdpi.com
Second-Order Approximate Reflection Coefficient of Thin Interbeds with ...
mdpi.com
Second-Order Approximate Reflection Coefficient of Thin Interbeds with ...
mdpi.com
Buy Elasticity of Transversely Isotropic Materials: 126 (Solid ...
amazon.in
Describe the stage in embryo development in a dicot plant.
allen.in
structure of skeletal muscle in biology: Definition, Types and ...
aakash.ac.in
An Analysis of Power Consumption of Fluid-Driven Robotic Arms Using ...
mdpi.com
Three-Dimensional Modelling of Heterogeneous Coastal Aquifer: Upscaling ...
mdpi.com
Fig. 1.8 (a) Isotropic aquifer (b) Anisotropic aquifer
archive.nptel.ac.in
Uses and SideEffects of Warfarin: What You Need to Know
medicoverhospitals.in
Buy Elastic wave propagation in transversely isotropic media: 4 ...
amazon.in
Elasticity of Transversely Isotropic Materials: Why Project Management ...
amazon.in
When a rectangular beam is loaded transversely, themaximum compressive ...
edurev.in
Basic difference between orthotropic and isotropic material - Brainly.in
brainly.in
Unraveling the Foot's Wonders: Medial, Lateral, and Transverse Arches ...
diabeticshoe.in
Learning Task 2: The illustration below shows a series of transverse ...
brainly.in
draw neat diagram showing the transverse and longitudinal section of ...
brainly.in
Buy Theory of Isotropic/Orthotropic Elasticity: An Introductory Primer ...
amazon.in
Transverse and Longitudinal Waves - Physics for GCSE/IGCSE - Year 11 ...
edurev.in
Introduction to Isotropy, Quasi-Isotropy and Anisotropy - NitProcomposites
nitprocomposites.com
Transverse Wave - Definition, Terminology & Speed of wave on String ...
aakash.ac.in
Objectives_template
archive.nptel.ac.in
Effect of Manufacturing on the Transverse Response of Polymer Matrix ...
mdpi.com
Velocity of Transverse Wave in String, longitudinal wave & Laplace’s ...
aakash.ac.in
India shining: Rupee inches closer to becoming international currency ...
timesnownews.com
dinoflagellates in biology: Definition, Types and Importance | AESL
aakash.ac.in
Second-Order Approximate Reflection Coefficient of Thin Interbeds with ...
mdpi.com
Flash Education - Exam Preparation App 🚀
flasheducation.co.in
Sound from a point isotropic source spreads equally in all directions ...
allen.in
An Analysis of Power Consumption of Fluid-Driven Robotic Arms Using ...
mdpi.com
Constitutive Equations for Anisotropic and Isotropic Materials (ISSN ...
amazon.in
How to differentiate between isotropic and anisotropic in simple way ...
ask.learncbse.in
Asymptotic Study of Longitudinal Velocity Influence and Nonlinear ...
mdpi.com
Antenna - Satellite Wiki
aero.iitb.ac.in
Which picture correctly shows the direction the particles in a medium ...
brainly.in
Isotrophic Finishing | Surface Innovation
surfaceinnovation.in
Practical Maintenance » Blog Archive » Structure of Atoms and Crystals
practicalmaintenance.net
The Macroscopic Stress–Macroscopic Strain Relationship of the ...
mdpi.com
Difference Between Longitudinal And Transverse Wave, Major Differences
pw.live
Isotrophic Finishing | Surface Innovation
surfaceinnovation.in
The Macroscopic Stress–Macroscopic Strain Relationship of the ...
mdpi.com
The Macroscopic Stress–Macroscopic Strain Relationship of the ...
mdpi.com
What is the difference between longitudinal waves and transverse waves ...
ask.learncbse.in
Construction
thenauticalsite.in
Write three differences between transverse waves and longitudinal waves ...
ask.learncbse.in
The Macroscopic Stress–Macroscopic Strain Relationship of the ...
mdpi.com
Types and Design of Staircases - Civil Engineering (CE) PDF Download
edurev.in
USD/INR Breaking Imp. Trendline; Is Nifty 50 Topping Out? | Investing ...
in.investing.com
An Analysis of Power Consumption of Fluid-Driven Robotic Arms Using ...
mdpi.com
Objectives_template
archive.nptel.ac.in
Handbook for Transversely Finned Tube Heat Exchanger Design: Buy ...
flipkart.com
Objectives_template
archive.nptel.ac.in
Buy Gold Bangles Online India with Latest Designs - Manubhai Jewellers
manubhai.in
Horticulture :: Plantation Crops :: Coconut-Botany
agritech.tnau.ac.in
Transversely Compact Single-Ended and Balanced Bandpass Filters with ...
mdpi.com
Duikgeneeskunde - Levensbedreigende duikerziekten | Duikplaats.net
duikplaats.net
Placement
placement.iitm.ac.in
Objectives_template
archive.nptel.ac.in
Write 2 differences between longitudinal wave and transverse wave ...
brainly.in
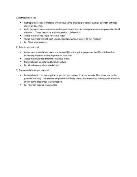
Isotropy and anisotropy - 1)Isotropic material; Isotropic material are ...
studocu.com
Recent Advances in Macroporous Hydrogels for Cell Behavior and Tissue ...
mdpi.com
Objectives_template
archive.nptel.ac.in
NitPro Composites | Blog
nitprocomposites.com
Post-Fertilisation Events in Plants and Animals, Practice Problems, and ...
aakash.ac.in
Warfarin Dose Adjustment Chart - Fill Online, Printable, Fillable ...
pdffiller.com
Latest Car & Bike News & Reviews | BBC Topgear India Magazine
topgearmag.in
Buy Gold Pendant Set with Earrings Online India | Latest Gold Pendant ...
manubhai.in
Transverse loading on beams and stresses in beam - Transverse Loading ...
mech.poriyaan.in
Dr. Santanu Manna's Group
people.iiti.ac.in
Dr. Santanu Manna's Group
people.iiti.ac.in
Draw a well labelled diagram of a longitudinal section of an orange ...
brainly.in
Diamond Necklace Designs | Buy Diamond Necklace Set Online at Best ...
manubhai.in
Light Weight & Daily Wear Gold Necklace Set Designs (2025) | Buy Gold ...
manubhai.in
Labelled diagram of the longitudinal section of a mango - Brainly.in
brainly.in
Wedding Gold & Diamond Jewellery set with Price | Buy Bridal Gold ...
manubhai.in
Objectives_template
archive.nptel.ac.in
Warfarin S-Isomer | CAS No- 5543-57-7 | NA
chemicea.com
DR. SITA RAM - Chitkara University - Himachal Pradesh
chitkarauniversity.edu.in
Warfarin Sodium | CAS No- 129-06-6 | Simson Pharma Limited
simsonpharma.com
FAQ
keydroid.in
Fed’s 75 bps Hike: Rupee Falls to Record Low, Sets Eye for ‘82 ...
in.investing.com
Diamond Earrings Designs | Buy Diamond Earrings Online India - Manubhai ...
manubhai.in
Buy INR's Farm Fresh Premium Pellets Food for Rabbits | 1 KG Advanced ...
amazon.in
Thyrocare Founder Partners With YEA and Magnifiq Capital Trust to ...
businessoutreach.in
Fillable Online eecs harvard isotropy reciprocity and the generalized ...
pdffiller.com
Accounting for Management: Text and Cases, 3e by S.K. Bhattacharyya ...
vikaspublishing.com
ZEITGEIST ADA 2026
zeitgeistconference.in
Buy Gold Earrings Online | Gold Earrings by Manubhai.
manubhai.in
Objectives_template
archive.nptel.ac.in
Rate (INR)
erp.kohinoorpune.com
Wedding Gold & Diamond Jewellery set with Price | Buy Bridal Gold ...
manubhai.in
Related Searches
Transversely Isotropic Material
Linear Elastic Isotropic
Transverse Isotropic Material
Isotropy
Isotropic Bridge
Isotropic Geology
Orthotropic
Isotropic Formula
Isotropic vs Homogeneous
Isotropic Tensor
Isotropic and Anisotropic
Transversely Isotropic Object
Isotropic Strain
What Is Isotropic
Isotropic Medium
Isotropic Matrix
Isotropic Space
Transversely Isotropic Body
Isotropic Direction
Isotropic Indicatrix
Isotropic Soil
Transversely Isotropic Stiffness Matrix
Transversely Isotropic Symmetry
Isotropic Solids
Isotropic Stress Tensor
Isotropic Behavior
Isotropic Dielectric
Tsai Hill Transversely Isotropic
Isotropic View
Vertical Transverse Isotropy
Isotropic Material Examples
Isotropic Source
Isotropic Rock
Geometric Isotropy
Isotropic Compliance Matrix
Isotropic Material Model
Transversely Isotropic Material Animation
Transversely Isotropic Material Example
Isotropic Material Properties
Isotropic Illustration
Transversely Isotropic Linear Elasticity
Isotropy and Anisotropy
Quasi Isotropic Material
Transversely Isotropic Body Diagram
Uniaxial Tension
Transversely Isotropic Material Composite
Isotropic Tracer
Viscoelastic Composite
Isotropic Composites
Horizontal Transverse Axis
Search
×
Search
Loading...
No suggestions found