Find Your Style
Women
Men
Accessories
Search for clothing, brands, styles...
×
Women
Men
Accessories
Undertaking Draft
Search
Loading...
No suggestions found
INR Full Form: What is full form of INR?
bankersadda.com
Buy & Sell UAE Dirham Online at cheapest rate | INR to AED
orientexchange.in
Convert INR to AUD at best exchange rate | Buy Australian Dollar
orientexchange.in
Understanding the Saudi Riyal Currency | INR to SAR
orientexchange.in
Anand Kamalnayan Pandit — INR 8,660 Cr (Sri Lotus Developers & Realty ...
economictimes.indiatimes.com
SAHAS Scheme: Chandigarh's Acid Attack Survivors Get INR 10k Aid Approval
rozanaspokesman.com
Anand Kamalnayan Pandit — INR 8,660 Cr (Sri Lotus Developers & Realty ...
economictimes.indiatimes.com
ValueQuest Enters PE Segment With INR 1,000 Cr Fund
businessoutreach.in
Indian Rupee (₹) - Buy INR Currency Online at Best Rates
makemytrip.com
Undertaking Form | Bulletin of Pharmaceutical Research
journal.appconnect.in
Irrevocable Undertaking Letter - Fill Online, Printable, Fillable ...
pdffiller.com
3 Examples of Letter Of Undertaking Format
indifferentlanguages.in
How to view Submitted Letter of Undertaking (LUT)
taxguru.in
Undertaking under section 206AB 206CCA - Undertaking pursuant to ...
studocu.com
Undertaking Format By Employee - Fill and Sign Printable Template Online
uslegalforms.com
Undertaking Format - saqf - UNDERTAKING I ...
studocu.com
How to Claim Online Refund of ITC Accumulated Due to Inverted Tax Structure
cleartax.in
Furnishing of Letter of Undertaking
tutorial.gst.gov.in
Undertaking - UNDERTAKING BY THE STUDENT I, (full name of student with ...
studocu.com
Christ College, Irinjalakuda Autonomous
christcollegeijk.edu.in
Bank Undertaking - LETTER OF UNDERTAKING Date: // Applicant ...
studocu.com
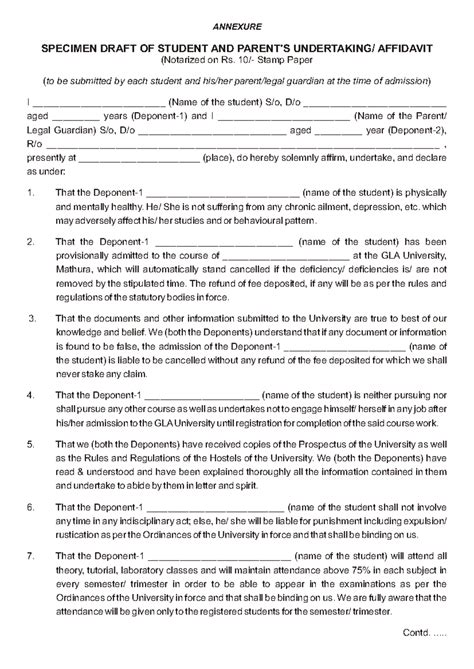
Undetaking - Nothing - ANNEXURE SPECIMEN DRAFT OF STUDENT AND PARENT'S ...
studocu.com
What is Letter of Undertaking: Meaning, Process, Sample, Format
cleartax.in
2 Examples of Sample Letter Of Undertaking Responsibility
indifferentlanguages.in
Undertaking Declaration 2021 Common for All Filled - Symbiosis Law ...
studocu.com
3 Examples of Letter Of Undertaking Format
indifferentlanguages.in
Laptop Undertaking Letter Format For Employee - Fill Online, Printable ...
pdffiller.com
RBI Overhauls Ombudsman Framework: Issues Draft Schemes for Banks ...
taxscan.in
Fillable Online Identification of the substance/mixture and of the ...
pdffiller.com
Letterof Undertaking-WFH Letter of Undertaking-WFH - Letter of ...
studocu.com
GST Registration | ITR Filings Services | GST Filing Services |Super CA
superca.in
GSTN enables online filing of letter of Undertaking
taxguru.in
Fillable Online DECLARATIONUNDERTAKING - FOR OBC Non Creamy Layer Fax ...
pdffiller.com
Declaration Undertaking Format - Fill and Sign Printable Template Online
uslegalforms.com
Undertaking performa Affidavit 2022-23 - AFFIDAVIT I(student name) S/o ...
studocu.com
What is Letter of Undertaking: Meaning, Process, Sample, Format
cleartax.in
भारतीय उच्चायोग के अधिकारियों ने 14 सितंबर क
hciabuja.gov.in
How Can Indians Get An OCI Card & What Are The Eligibility Criteria ...
indiatimes.com
Franking Charges: Meaning, Benefits and Difference 2025
nobroker.in
Procedure and Types of PF Claim Form Online - 2024
bankbazaar.com
An overview of GST Letter of Undertaking (LUT) - Enterslice
enterslice.com
Undertaking of the trip - UNDERTAKING FOR FIELD TRIP This is to certify ...
studocu.com
What is letter of undertaking: Guide to file and documents required
sell.amazon.in
Freelance Invoice Template | Invoice Generator - Wise
wise.com
3 Examples of Letter Of Undertaking Sample
indifferentlanguages.in
Draft 2 - WORD - IN THE SUPREME COURT OF INDIA ORIGINAL JURISDICTION ...
studocu.com
Eligibility, Documents Required, Process of Filing of Letter of ...
taxguru.in
Aviation Industry: AAI undertaking development projects at Kanpur ...
travel.economictimes.indiatimes.com
Form A2 Filled Sample - Fill Online, Printable, Fillable, Blank | pdfFiller
pdffiller.com
Undertaking Agreeing to refund excess pay and allowances - Time period ...
muralipanamanna.in
2025 NFL draft: Shavon Revel went from warehouse job to top prospect - ESPN
espn.in
Fillable Online BHU Undertaking Form For Transfer Certificate and ...
pdffiller.com
2 Examples of Sample Letter Of Undertaking Responsibility
indifferentlanguages.in
unclaimed dividend letter at Doc Template | pdfFiller
pdffiller.com
Free Purchase Order Template Download | Purchase Order Format for Small ...
stockregister.in
Anti Ragging How To Fill Undertaking - Step by Step Guide On How To ...
studocu.com
Indian Financial System, 5e by H R Machiraju
vikaspublishing.com
International Trade Settlement in Indian Rupee (INR)
taxguru.in
E-Stamp Paper In Bangalore | Know Everything about E-Stamp Paper
documentbazaar.in
Free Invoice Template Excel for download
zoho.com
Exports Under GST: How to Use Bond or LUT?
cleartax.in
Bot Verification
instapdf.in
Fillable Online PHOTOGRAPHERS UNDERTAKING FOR THE Fax Email Print ...
pdffiller.com
Buy Future Of Public Sector Undertaking Book Online at Low Prices in ...
amazon.in
Punjab Unveils Easy Registry System: Property Registration Now Faster ...
rozanaspokesman.com
Acharaya Prashant Books Gifting Undertaking – Acharya Prashant Books
apbooks.acharyaprashant.org
How To Draft Legal Notice for Recovery of Money?
ezylegal.in
BEST Online Payment
bestundertaking.net
Fillable Online Election Commission of India - forms.gov.in Fax Email ...
pdffiller.com
LETTER OF UNDERTAKING UNDER GST
legalmantra.net
RTI Application Form - Sample, Template - Word and PDF
wonder.legal
Draft Recruitment Rules | Chandigarh Transport Undertaking, Chandigarh ...
chdctu.gov.in
E સ્ટેમ્પ શું છે અને તમારે જે જાણવાની જરૂર છે તે બધું
magicbricks.com
Differentiate between a departmental undertaking - CBSE Class 11 ...
ask.learncbse.in
Section 180 | Companies Act 2013 | Meaning of Term Undertaking
taxguru.in
Form For Party | pdfFiller
pdffiller.com
2025 NFL Draft News - ESPN
espn.in
Church Photo Directory Templates Free Download - Page 2 | pdfFiller
pdffiller.com
CBIC collecting information on GST related issues for MSME
taxguru.in
Recruitment of various post in Navratna Public Sector Undertaking is ...
clysin.in
News Details - Delhi University
du.ac.in
Whether sale in cash or against cheque, draft etc is prohibited now ...
legalmantra.net
Acharaya Prashant Books Gifting Undertaking – Acharya Prashant Books
apbooks.acharyaprashant.org
Letter of Undertaking | LUT Registration/Update | Paper Tax
papertax.in
Budget 2023: Tax saving under new tax regime vs old tax regime for Rs 7 ...
businesstoday.in
Undertaking cum Indemnity Coin DCX.28 - UNDERTAKING-CUM-INDEMNITY L ...
studocu.com
India and Malaysia can now trade in Indian rupee
currentaffairs.adda247.com
Income Tax Deduction u/s 80IA of the Act available to Income from ...
taxscan.in
Bond Transfer Form Templates | pdfFiller
pdffiller.com
GST Export Invoice with Foreign Currency Billing
billingsoftware.in
Guiding Principles For Uniform National-Level Regulation of Online ...
taxguru.in
Name addition in birth certificate | Birth certificate name addition
itzeazy.in
Illegal Construction | Once Undertaking Given To Demolish, Offending ...
livelaw.in
Internal CUP is the most appropriate method for Undertaking the ...
taxscan.in
Letter of Undertaking (GST)
taxguru.in
Role of Public Sector Undertakings | IAS GYAN
iasgyan.in
Fillable Online Form - X Application Form for Membership of a Society ...
pdffiller.com
Trial Balance
vedcrm.vedantsoft.in
Coagulation Analyzer - Micropoint Q3 Pro Electrometer PT-INR Trader ...
r2healthcare.in
Buy Diamond Necklace Online | Diamond Set Online Manubhai Jewellers
manubhai.in
PSUs: Public Sector Undertakings | PSU Jobs through GATE
madeeasy.in
Buy Bird by Bird Book Online at Low Prices in India | Bird by Bird ...
amazon.in
**Page Title:** "Top 10 Saree Trends Every Woman Must Know in 2024 ...
sanjarcreation.com
Wedding Gifts Registry Templates | pdfFiller
pdffiller.com
Format of Rejoinder Affidavit against Counter Affidavit in Supreme ...
studocu.com
SK Drafts
skdrafts.com
Impact Of Demonetisation Of Rs 500 & 1000 Notes On Travel
traveltriangle.com
Maharaja Trophy KSCA T20 organises 'Maha Draft' to finalise coaches ...
ibtimes.co.in
Most expensive bottles of whiskey in India | Lifestyle Asia India
lifestyleasia.com
Buy Gold Pendant Set with Earrings Online India | Latest Gold Pendant ...
manubhai.in
SELF DECLARATION MODULE
undertaking.wb.gov.in
BEST Undertaking Office Photos
glassdoor.co.in
Buy Gold Pendant Set with Earrings Online India | Latest Gold Pendant ...
manubhai.in
INCOME TAX CALCULATOR FY 2022-23 AY 2023-24 - FULLY AUTOMATIC(Auto ...
dstf.in
Common issues related to addresses that can cause your passport ...
smotpro.in
India shining: Rupee inches closer to becoming international currency ...
timesnownews.com
Section 80IB deduction to industrial undertaking manufacturing at third ...
taxguru.in
Student Registration | LBS Institute of Technology for Women A ...
lbscentre.kerala.gov.in
Niti Aayog releases draft battery swapping policy for EVs: What's in it ...
techradar.com
Deadly Undertaking by Allen Gregory online @ Artsum India
artsum.in
Related Searches
Letter of Undertaking Draft
Sample Draft of Undertaking
Drafting an Undertaking
Letter for Undertaking
Deed of Undertaking Sample
Undertaking Acknowledgement Draft
Undertaking Agreement
Undertaking Template
Statement of Undertaking Draft Text
Affidavit of Undertaking Sample Format
Sworn Statement of Undertaking
Model Draft of Undertaking
Solicitor Undertaking
Affidavit of Undertaking Example
Undertaking Certificate
Cost Undertaking Draft
Undertaking Form
Undertaking Bond Format
Draft of Irrevocable Undertaking
Bank Letter of Undertaking
Undertaking Training
Draft Policy
Affidavit of Undertaking Editable
Affidavit of Undertaking Philippines
How to Write Undertaking Letter
Draft of Undertaking Responsibility Letter
Bank Proof of Funds Letter Sample
Deed of Joint Undertaking
Draft of Undertaking Against Proof of Delivery
Undertaking Precedent
Draft Undertaking Letter for Security Check Against Material Off-Site Payment
Draft Undertaking Template for Removal of Charge
Notification Letter
Insurance Draft
Draft Undertaking for Legal Costs Specimen
General Affidavit Undertaking Draft Sample
Solicitors Undertaking Template
Draft Order Re Undertaking Given in Face of the Court
Draft of Certification
Draft Wording for an Undertaking
Settlement Agreement
Example Memorandum of Understanding Template
Undertaking by Student Draft Filled
Draft for Undertaking of Iinternal Work Submittion Letter to University
Tupe Transfer Letter
What Is Deed of Undertaking
Draft Undertaking for Annual Turnover Declaration
Draft Undertaking to the Court in Family Matters
Affidavit of Undertaking About Future Land Development
Bank Account Verification Letter
Search
×
Search
Loading...
No suggestions found