Find Your Style
Women
Men
Accessories
Search for clothing, brands, styles...
×
Women
Men
Accessories
Unnanve In Math
Search
Loading...
No suggestions found
'You’re richer in INR but poorer in dollars': What an IIM alum's CAGR ...
businesstoday.in
INR Full Form: What is full form of INR?
bankersadda.com
Mr. Prince Dawra
uniquetutorialss.in
1The perimeter of rhombus is 20cm and the length of one diagonal is 6 ...
brainly.in
Goyal ICSE Foundation Math for Class 8 - Latest for 2025-26 Session ...
thebookmasters.in
Top 10 Indian Mathematicians & Their Inventions
aaaedu.in
Smart Academy LLP - Smart Academy
smartacademyonline.in
34+32+30+...+10 ( boro ) - Brainly.in
brainly.in
12. Bhavesh scrold 70% of 250 makkes in English 64% out of 150 in ...
brainly.in
A and B can do 4/5th and 3/5th of a piece of work in 5 5 15 days and 10 ...
brainly.in
please solve this problem in notebook - Brainly.in
brainly.in
Fundamentals and Branches of Mathematics [1 min read]
fairgaze.com
solution of this question - Brainly.in
brainly.in
45 is a term in the arithmetic sequence whose common difference is 2 ...
brainly.in
Statement A(Assertion): One solution of the quadratic equation (x-1)^2 ...
brainly.in
Conjugate in Math - Advance Learner Course: Mathematics (Maths) Class 8 ...
edurev.in
-4-4-8-2+4 please can u solve this equation step by step - Brainly.in
brainly.in
VSSUT::Veer Surendra Sai University of Technology
mathematics.vssut.ac.in
Archaeological Survey of India to Restore Ancient Maniyar Math in Bihar
sputniknews.in
Mr. Ankit Sharma
uniquetutorialss.in
Home - GOVERNMENT HIGHER PRIMARY SCHOOL, HINKAL
madhusudanks.in
K P S Teachers
kpsarjunpurpbh.in
Calculate x by Pythagoras theorem - Brainly.in
brainly.in
PM Modi addresses the 550th-year celebration of the Shree Samsthan ...
narendramodi.in
Algebra Suite - First in Math
explore.firstinmath.in
Quick Tricks by Sahil Sir
quicktricksbysahilsir.akamai.net.in
PM Modi addresses the 550th-year celebration of the Shree Samsthan ...
narendramodi.in
Montessori Math: The Addition Chart: A Foundation for Math Fluency ...
nestatoys.in
Math Symbols- All Mathematical Symbols with Examples
adda247.com
Nuances of the English language | Vocabulary Wiki for Educators
twinkl.co.in
PM Modi addresses the 550th-year celebration of the Shree Samsthan ...
narendramodi.in
National Mathematics Day 2022 celebrates on 22 December
currentaffairs.adda247.com
First in Math
doonpublicschool.in
Find the time in which a sum of ₹800 will amount to ₹920 at 6% per ...
brainly.in
IIM Rohtak | Indian Institute of Management Rohtak
iimrohtak.ac.in
Nuance Synonyms Word Mat (teacher made) - Twinkl
twinkl.co.in
Professional Gamified Math Lab | AI-Powered Learning Systems in ...
schoolmart.in
Mr. Sarabjeet Singh
uniquetutorialss.in
CBSE allows Class 10 basic math students to opt for standard math in ...
odishatv.in
6 Elon Musk Success Mantras for Students From His Social Media Posts
indiatoday.in
1) Sum of the first n terms of an arithmetic sequence is n² + n. a ...
brainly.in
Quick Tricks by Sahil Sir
quicktricksbysahilsir.akamai.net.in
create a bar graph showing the number of moons of each planet example ...
brainly.in
If ∠1, ∠2 and ∠3 are the interior angles of a triangle PQR,find the ...
brainly.in
Quantitative Aptitude
lakshyaeducation.in
23. Given below are the scores (out of 20) of 9 students in a test. 14 ...
brainly.in
Home - GOVERNMENT HIGHER PRIMARY SCHOOL, HINKAL
madhusudanks.in
Quick Tricks by Sahil Sir
quicktricksbysahilsir.akamai.net.in
Study in India shows children use different math skills at work vs ...
mieglobal.in
Find the area of the figure formed by joining by vertices- A(1,2) ,B(2 ...
brainly.in
9. Renu completed [tex]2/3[/tex] part of her homework in 2 hours. How ...
brainly.in
Indian school kids struggle to apply math in real-world scenarios: Study
educationpost.in
Top 5 Maths Teacher on Youtube for competitive exam [2024]
bloggamer.in
Smart Academy LLP - Smart Academy
smartacademyonline.in
PM Modi addresses the 550th-year celebration of the Shree Samsthan ...
narendramodi.in
Sketchub • Math View
web.sketchub.in
Amity International School | Best International School in Saket
amityschools.in
Go Smart Kids Education
gosmartkids.in
Add half of a number and one fourth of it and add 5 to it to get 75 ...
brainly.in
Monk | Ramakrishna Kutir, Almora
almora.rkmm.org
A certain sum amount to rs 8107 in 3 years and rs 8576 in 4 years. Find ...
brainly.in
Equity Math, Shshank Mehta
equitymath.in
School Math Vs Street Math
mieglobal.in
"This Math Has Been A Shining Centre Of Sanatan Dharma": Partagali Math ...
businesstoday.in
9. Show that the following repeating decimals are rational numbers. i ...
brainly.in
The figure shows a network in which the cell is ideal and it has an emf ...
tardigrade.in
By long division, find the quotient and remainder, when the polynomial ...
brainly.in
Quick Tricks by Sahil Sir
quicktricksbysahilsir.akamai.net.in
x = √(7 - 4√(3)) find the value of x³ + 1/x³ - 4(x² + 1/x²) + (x + 1/x ...
brainly.in
If tanx = 2 , find the quadrant in which x can lie . also find the ...
brainly.in
On dividing 7y^3 - 8y^2 - 4y +8 by y what will be remainder - Brainly.in
brainly.in
In a parallelogram ABCD AB=24cm, BC=10cm .if the corresponding height ...
brainly.in
Quick Tricks by Sahil Sir
quicktricksbysahilsir.akamai.net.in
In the given below figure, in ∆ABC, D and E are the midpoint of the ...
brainly.in
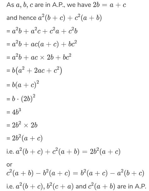
If a,b,c are in AP then show that a2(b+c)+b2(c+a)+c2(a+b) = 2/9(a+b+c)3 ...
brainly.in
Math Guru RD Sharma Stars in Flipkart Ad, Internet Says: ‘Never Knew He ...
newsd.in
Sketchub • Math View
web.sketchub.in
Quick Tricks by Sahil Sir
quickhjdbfhsjdfbh.akamai.net.in
Find the area of the grass in the below image. -A garden is in the ...
brainly.in
S G Public Sr Sec School | Center of Quality Education | Top Schools In ...
sgpublicschool.in
Pls answer my question!! - Brainly.in
brainly.in
In the given figure, O is the centre of the circle. Find the value of x ...
brainly.in
Bharati Bhawan Publishers & Distributors
bharatibhawan.in
Math Riddle with Answer: Can Solve This Tricky Math Puzzle in 5 minutes?
jagranjosh.com
CBSE Class 10 Math Basic Sample Paper 2023 with solutions and marking ...
indiatoday.in
Bharati Bhawan Publishers & Distributors
bharatibhawan.in
Quick Tricks by Sahil Sir
quickhjdbfhsjdfbh.akamai.net.in
264 3. The approximate population (in lac) based on 2011 census of 8 ...
brainly.in
CEMCA :: AI-powered adaptation of OER in Math Education
cemca.org
A Beginner's Guide to Engineering School: Tips for First-Year Students ...
mitaoe.ac.in
CBSE Class 10 Math Basic Sample Paper 2023 with solutions and marking ...
indiatoday.in
please answer fastly - Brainly.in
brainly.in
f alpha and beta are the zeros of the quadratic polynomial f(x) = x^2 ...
brainly.in
K P S Teachers
kpsarjunpurpbh.in
Buy Bloomingo 123 Ride with Animals Puzzle and Math Worksheets from ...
babyshop.in
Math - Competitive Examinations PDF Download
edurev.in
(3) m+1×(-3)5=(-3)7 then the value of m is - Brainly.in
brainly.in
The shadow of a 3 m long stick is 4 m long. At the same time of the day ...
brainly.in
A Factory produce 12,00,066 cycles in 3 years. How many cycles are ...
brainly.in
A diver was collecting water samples form a lake. He collected a sample ...
brainly.in
Sketchub • Math Quiz
web.sketchub.in
Mega Mind Abacus And Vedic Math Institution in Narayan Nagar | Phonics ...
planetspark.in
Quick Tricks by Sahil Sir
quicktricksbysahilsir.akamai.net.in
37 th question plsssss also 38 if possible with step by step now plsss ...
brainly.in
in the given figure line m and n intersect each other at point B. if BF ...
brainly.in
much did they spend in that year?Mr Balachandaran has 5,70,21,185 in ...
brainly.in
4. A, B and C can do a piece of work in 10, 9 and 15 days respectively ...
brainly.in
South Korean Actor Hwang Jung-eum Faces Backlash for Embezzling $3 ...
cryptopanic.com
(√3+7√5) and (4√3+6√5) add the following - Brainly.in
brainly.in
NOC:Soft Skill Development NPTEL Study Materials - Video Lectures ...
nptelprep.in
New Year, New Look — Trendy Blouse Stitching in Chennai for Party Wear ...
tailorkadai.in
math table please help guys - Brainly.in
brainly.in
With the help of scale and compasses draw the angles of following ...
brainly.in
Three Bells Ring At Intervals Of 30 Minutes, 40 Minutes and 60 Minutes ...
brainly.in
An article is both for rupees 1000 and soul for rupees 1100 then find ...
brainly.in
November nonfiction: Six recently published books about culture ...
scroll.in
Arjun Mandyam Dhati | ICTS
icts.res.in
determine the size, with reasons, of the angles marked with a variable ...
brainly.in
X can do a piece of work in 24 days. When he had worked for 4 days, Y ...
brainly.in
Mathematics Grade 3
edurev.in
Related Searches
Nuance Logo
Nuance Dragon Logo
Microsoft Nuance
Nuance Icon
Nuance Products
Nuance PDF Software
Define Nuance
Nuance Communications
Nuance Dax
Nuance PDF Reader
Example of Nuance
SW Nuance
Nuance Logo.png
Nuance Meaning
Nuance Definition
Nuance Power PDF
Nuance Color
What Is a Nuance
Nuance Power PDF Advanced
Nuance Portal
Word Nuances
Nuance PDF Viewer
Nuance Panels
Nuance Synonym
Nuance Editor
Nuance for PC
Nuance Health
Nuance HL7
Nuance PowerShare
Nuance Speech
Search
×
Search
Loading...
No suggestions found