Find Your Style
Women
Men
Accessories
Search for clothing, brands, styles...
×
Women
Men
Accessories
Unperturbed
Search
Loading...
No suggestions found
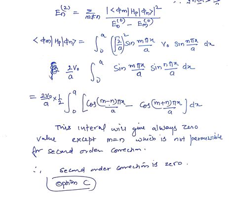
The unperturbed wave functions of a particle trapped in an infinite ...
scoop.eduncle.com
INR Full Form: What is full form of INR?
bankersadda.com
UNPERTURBED eBook : Akinsola, Timothy: Amazon.in: Kindle Store
amazon.in
Tanisha Crasto unperturbed by Paris Olympics 2024 expectations
insidesport.in
RBI Allows Overseas Banks to Open INR Accounts
currentaffairs.adda247.com
0.1 ETH to INR Converter, How much Convert Ethereum to Indian Rupee ...
exchanger24.org
Indian Rupee (₹) - Buy INR Currency Online at Best Rates
makemytrip.com
Understanding the Saudi Riyal Currency | INR to SAR
orientexchange.in
Facts about Indian businessman who is buying Lavasa city for INR 1814 ...
timesofindia.indiatimes.com
Best whiskey under INR 1500 for a pocket-friendly drinking experience
lifestyleasia.com
Anand Kamalnayan Pandit — INR 8,660 Cr (Sri Lotus Developers & Realty ...
economictimes.indiatimes.com
Pakistan's Azam Khan unperturbed by criticism on fitness, enjoys street ...
insidesport.in
Young GMs classified 'persona non grata', yet unperturbed
dtnext.in
33000 euro to inr - Claim a ₹300 Bonus Today! Android IOS V- 1.79
tax.lsgkerala.gov.in
BTC to INR Converter, Convert Bitcoin to INR Exchange 2022 - Exchanger24
exchanger24.org
BTC to INR Converter, Convert Bitcoin to INR Exchange 2022 - Exchanger24
exchanger24.org
Mbappe unperturbed by Pogba curse story, says PSG coach Galtier ...
timesofindia.indiatimes.com
Ugro Capital Crosses Inr 10000 crore aum milestone launches 10k ...
psuconnect.in
Philips Remote Inr Order Form - Fill Online, Printable, Fillable, Blank ...
pdffiller.com
usd to inr sbi rate: Latest News & Videos, Photos about usd to inr sbi ...
economictimes.indiatimes.com
ValueQuest Enters PE Segment With INR 1,000 Cr Fund
businessoutreach.in
Lava Yuva Pro is a new sub-8000 INR phone with triple cameras and a ...
digit.in
CA Fresher bags INR 49.20 Lakhs Package in 58th ICAI Campus Placement Event
taxscan.in
Tom Cruise's anti-ageing 'poop' facial costs INR 14,000 per sitting ...
timesofindia.indiatimes.com
SunRisers Hyderabad get Mohammad Shami for INR 10 crore at IPL 2025 auction
sportskeeda.com
INR extends winning streak
msn.com
Value 360 announces it closed Q1 2024-25 with INR 10… | PRmoment.in
prmoment.in
Kalki Koechlin Unperturbed By Trolls Questioning Her About Having A ...
indiatimes.com
Anticoagulation in Acute Pulmonary Embolism: Which Drug? How Long ...
universimed.com
International Trade Settlement in Indian Rupee (INR)
taxguru.in
India shining: Rupee inches closer to becoming international currency ...
timesnownews.com
India and Malaysia can now trade in Indian rupee
currentaffairs.adda247.com
Failed Startups - Startups That Could Not Taste Success in their Journey
businessoutreach.in
How Indian Rupee Stands Against Other Major Currencies
indiatimes.com
1 million dong in indian rupees - Brainly.in
brainly.in
USD/INR Cracks Big: Falls 2% in 4 Days! | Investing.com India
in.investing.com
Coagulation Analyzer - Micropoint Q3 Pro Electrometer PT-INR Trader ...
r2healthcare.in
Rupee Depreciation: Will India's Exports Stand To Gain? | Investing.com ...
in.investing.com
Uses and SideEffects of Warfarin: What You Need to Know
medicoverhospitals.in
International Trade Settlement in Indian Rupee (INR)
taxguru.in
Indian Financial System, 5e by H R Machiraju
vikaspublishing.com
USD/INR at Record High! Why RBI is Failing to Curb the Rupee’s Fall ...
in.investing.com
USD/INR Breaking Imp. Trendline; Is Nifty 50 Topping Out? | Investing ...
in.investing.com
How robots around the world are helping humans during the COVID-19 ...
economictimes.indiatimes.com
Sri Lanka and Russia in talks to use the rupee in foreign trade
currentaffairs.adda247.com
Canny Kat '˜unperturbed' by Ranbir-Deepika tales
bangaloremirror.indiatimes.com
Latest Car & Bike News & Reviews | BBC Topgear India Magazine
topgearmag.in
Gold Necklace Set for Women | Buy Gold Necklace Set Online India ...
manubhai.in
Gold Necklace Set for Women | Buy Gold Necklace Set Online India ...
manubhai.in
Buy Gold Pendant Set with Earrings Online India | Latest Gold Pendant ...
manubhai.in
Buy Gold Set Online | Gold Set by Manubhai.
manubhai.in
Cameras under 10000: Buy top digital cameras online in India (2024)
lifestyleasia.com
Buy Diamond Necklace Online | Diamond Set Online Manubhai Jewellers
manubhai.in
Gold Necklace Set with Price | Buy Gold Necklace Set Online
manubhai.in
Collections
svbventures.in
Hurun India 2025: 10 billionaire Indians who entered the rich list this ...
economictimes.indiatimes.com
Buy Diamond Necklace Online | Diamond Set Online Manubhai Jewellers
manubhai.in
Gold Necklace Set for Women | Buy Gold Necklace Set Online India ...
manubhai.in
Did You Know About India's Rs 10,000 Rupee Note
indiatimes.com
Tatcha Indigo Overnight Repair: Benefits & Full Review - Epicfashion
epicfashion.in
Next tranche of Bharat Bond ETF opens tomorrow: 10 things on NFO | Mint
livemint.com
Manur - Decannulation challenge
manurhospital.in
8 Obat Stroke yang Efektif dan Tersedia di Apotik - Alodokter
alodokter.com
Wen Price | WEN to USD Converter, Chart and News
binance.com
Hurun India 2025: 10 billionaire Indians who entered the rich list this ...
economictimes.indiatimes.com
Diamond Earrings Designs | Buy Diamond Earrings Online India - Manubhai ...
manubhai.in
Diamond Necklace Designs | Buy Diamond Necklace Set Online at Best ...
manubhai.in
Diamond Necklace Designs | Buy Diamond Necklace Set Online at Best ...
manubhai.in
International Trade Settlement in Indian Rupee (INR)
taxguru.in
Buy Absolute Anticoagulant Journal: A Comprehensive logbook for ...
desertcart.in
MGT-6 Form Filing Process and Key Requirements
taxguru.in
Hurun India 2025: 10 billionaire Indians who entered the rich list this ...
economictimes.indiatimes.com
Buy Antique Set Online | Antique Set by Manubhai.
manubhai.in
Diamond Necklace Designs | Buy Diamond Necklace Set Online at Best ...
manubhai.in
Gold Necklace Set for Women | Buy Gold Necklace Set Online India ...
manubhai.in
Wedding Gold & Diamond Jewellery set with Price | Buy Bridal Gold ...
manubhai.in
Buy Gold Ring Online | Gold Ring by Manubhai.
manubhai.in
Fed’s 75 bps Hike: Rupee Falls to Record Low, Sets Eye for ‘82 ...
in.investing.com
Back To Black: | Grazia India
grazia.co.in
How Indian Rupee Stands Against Other Major Currencies
indiatimes.com
Buy Antique Set Online | Antique Set by Manubhai.
manubhai.in
Did You Know About India's Rs 10,000 Rupee Note
indiatimes.com
Manubhai Jewellers | Gold & Diamond Jewellers in Borivali, Mumbai
manubhai.in
Gold Necklace Set with Price | Buy Gold Necklace Set Online
manubhai.in
Ayat Silver Nosepins
wizzowl.com
Buy Antique Set Online | Antique Set by Manubhai.
manubhai.in
**Page Title:** "Top 10 Saree Trends Every Woman Must Know in 2024 ...
sanjarcreation.com
Stand out navy blue corset top – Kostume County
kostumecounty.com
USD/INR declines as outflow of foreign funds from Indian equity markets ...
tmgm.com
Warfarin: View Uses, Side Effects and Medicines
truemeds.in
Buy Gold Pendant Set with Earrings Online India | Latest Gold Pendant ...
manubhai.in
Online Forex Trading And Currency Trading In India
samco.in
All about Bandarful coffee liqueur by Himmaleh spirits
lifestyleasia.com
RBI’s short USD/INR forward book remains stable- analysis By Investing.com
in.investing.com
Contact – valientecaps
valientecaps.com
Buy Gold Earrings Online | Gold Earrings by Manubhai.
manubhai.in
Buy Gold Bangles Online India with Latest Designs - Manubhai Jewellers
manubhai.in
Hurun India 2025: 10 billionaire Indians who entered the rich list this ...
economictimes.indiatimes.com
Thyrocare Founder Partners With YEA and Magnifiq Capital Trust to ...
businessoutreach.in
MI Squad WPL 2026: Complete Mumbai Indians Player List with Prices in ...
sportskeeda.com
Fake notes worth over Rs 14 lakh in Rs 500 denominations seized in Odisha
odishatv.in
Watch Khelna Bari TV Serial 27th October 2022 Full Episode 163 Online ...
zee5.com
Warfarin R-Isomer | CAS No- 5543-58-8 | NA
chemicea.com
Buy Real Diamond Set Online | Real Diamond Set by Manubhai.
manubhai.in
Certifications
pasteljade.com
Contact-us – Permanent Magnets Ltd
pmlindia.com
Will form govt, have development road map in place: Uttarakhand CM ...
hindustantimes.com
Taxila Business School Placements 2025 | Highest & Average Package
taxila.in
USD/INR remains firm despite weakened US Dollar
tmgm.com
LSG Squad IPL 2026: Complete Lucknow Super Giants Player List with ...
sportskeeda.com
Thalapathy Vijay net worth: Movie fee, properties & other luxury assets
lifestyleasia.com
Top 10 Best Colour Combinations for Sarees in 2024
hutsandlooms.com
Buy INR's Farm Fresh Premium Pellets Food for Rabbits | 1 KG Advanced ...
amazon.in
Manubhai Jewellers | Gold & Diamond Jewellers in Borivali, Mumbai
manubhai.in
Sell 1INCH for NZD | 1INCH to NZD Calculator
binance.com
Warfarin Impurity 1 | CAS No- 2514748-07-1 | Simson Pharma Limited
simsonpharma.com
Hurun India 2025: 10 billionaire Indians who entered the rich list this ...
economictimes.indiatimes.com
Decoding the shocking ending of 'Tumbbad' movie | Lifestyle Asia India
lifestyleasia.com
Get the Best Saudi Riyal to Indian Rupees Conversion Rates in India
orientexchange.in
Welingkar Institute of Management - NewsWire
newswire.nokomis.in
Related Searches
Unperturbed Meaning
Unperturbed Definition
Unperturbed Def
Unperturbed Level
Unperturbed Chain
A Dog Who Is Unperturbed
Unperturbed by Volatility
Unperturbed Love
Unperturbed Memes
Unperturbed Clip Art
Unperturbed Eternity
Unruffled
Unperturbed Success
Perturbed Meaning
Staid Meaning
Unperturbed Movements
Unperturbed Hamiltonian
Unperturbed Orbit Approximation
Obliging
Perturb Means
Plot for Perturbed and Unperturbed Wavefuntion of First Order
Undivulged
Perturbed Action
Perturbing Meaning
Unperterebed Dog Stance
Perturbed in Science
Perturbed STM
Perturbed Example
Intravenous Synonym
Unstaurated
What Is the Definition of Perturb
Exasperated Synonym
Unpeterbed Memes
Unceremonious
Perturbed Samples
Unperturbed RMS End to End Difference Equaiton
An Crocodile Jump a Fences
Heartwarming Synonym
Also-Ran
Monte Carlo Methods for Unpurturbed Polymer Chain
Crocodile Climb Fence
Underpractised
Crocodile Fence Australia
Sylvain Lecorné CTOS Data Systems
Simple Sentences of Ten Commandments for Kis
Megasierpe Imperturbable
Perturbed Equation of Motions On Keplerian Element Gauss
Define Unperturbed
Perturbed Definition
Unperturbed Density
Search
×
Search
Loading...
No suggestions found