Find Your Style
Women
Men
Accessories
Search for clothing, brands, styles...
×
Women
Men
Accessories
Unsur Oxygen
Search
Loading...
No suggestions found
vivo To Donate Oxygen Concentrators worth INR 6 Crores - Pledges Aid ...
vivonewsroom.in
vivo To Donate Oxygen Concentrators worth INR 6 Crores - Pledges Aid ...
vivonewsroom.in
INR Full Form: What is full form of INR?
bankersadda.com
Electron Affinity: Factors Affecting, Halogens, Periodic Trends, Metals ...
collegesearch.in
Concept Explanation
abhyasonline.in
Metrix Instruments - AR8406 Dissolved Oxygen Meter
metrixinstrument.in
Philips SimplyGo
medikonnect.in
x and y are the oxidation state of metal and oxygen in sodium peroxide ...
tardigrade.in
Reactive Oxygen Species/Salicylic Acid in Plant Immune Response ...
encyclopedia.pub
GISNPA Dissolved Oxygen Meter with ATC, 0-40.00 mg/L Measurement Range ...
amazon.in
The number of moles of oxygen in 1L of air containing 21% oxygen by ...
edurev.in
Stable Isotope Geochemistry of the Organic Elements within Shales and ...
mdpi.com
4. Determination of dissolved oxygen content of water sample by winkler ...
eee.poriyaan.in
draw the schematic atomic structure of oxygen and sodium - Brainly.in
brainly.in
What plant is used in an experiment commonly performed in laboratory to ...
tardigrade.in
What's Hyperbaric Oxygen Therapy? Crucial but depends on bringing ...
ibtimes.co.in
Q. Amount of oxygen in 32.2g Na2SO4. 10H2O ? - Brainly.in
brainly.in
Human Respiratory System: Definition, Diagram, Parts and Function
careerpower.in
Oxygen Hemoglobin dissociation curve
openmed.co.in
Persistence of Growth Enhancement Induced by Oxygen Plasma Irradiation ...
mdpi.com
Weight of oxygen in Fe2O3and FeO is in the simple ratio for the same ...
edurev.in
Manufacturing Processes-I
msvs-dei.vlabs.ac.in
Omron 5L Oxygen Concentrator with 96% purity, 4 alarms
nidhihealthcare.in
Guys explain me how is this about volume of hydrogen and oxygen in ...
brainly.in
Haemoglobin oxygen dissociation curve is - Brainly.in
brainly.in
Amigos Global AMONOY Oxygen Concentrator Machine for Home Use,1-7L ...
amazon.in
PSA Medical Oxygen Generator
kalyanicleantech.com
Explained: What are oxygen concentrators and when are they required
newsmeter.in
explanation with the well labelled diagram of preparation of oxygen ...
brainly.in
than 42 kg? Explain. 27. SECTION-C (7x3M-21M) Hydrogen and oxygen ...
brainly.in
Supplier of Healthshine Oxygen Medical Regulators in Pala & Kottayam
palasurgicals.com
Normal Oxygen Level: Range, Symptoms and Treatment
bajajfinservhealth.in
Oxygen cylinder HSN Code : Applicability, HSN Code and GST Rate on ...
pocketful.in
Astronomers Discover Oxygen In Most Distant Known Galaxy Over 13 ...
in.mashable.com
Astronomers Discover Oxygen In Most Distant Known Galaxy Over 13 ...
in.mashable.com
Chemical Oxygen Demand (COD) - Environment Notes
prepp.in
EverFlo | Philips
philips.co.in
Explained: What is liquid oxygen and how is it produced
newsmeter.in
Delhi’s first-ever oxygen bar gives you fresh air to breathe | Times of ...
timesofindia.indiatimes.com
Oxygen Cylinders in Dubai - Alcan International LLC
tradersfind.com
Hyperbaric Oxygen Therapy as adjunct has emerging role in Orthopaedics
medicaldialogues.in
Na+O2 overset text Burnt arrow 'P' The change in oxidation state of ...
tardigrade.in
Buy On The Densities Of Oxygen And Hydrogen And On The Ratio Of Their ...
amazon.in
Oxygen flasks Winkler pattern, with glass stopper | BRAND
shop.brand.co.in
Drag each tile to the correct box. The body monitors the levels of ...
brainly.in
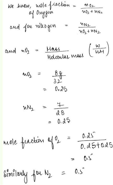
21. A room has oxygen and nitrogen in mass ratio of 8: 7. Find mole ...
brainly.in
Buy AGPTEK Oxygen Acetylene Flashback Arrestors Set Regulator End 9/16 ...
ubuy.co.in
2006 UK NHS Home Oxygen Order Form (HOOF) Fill Online, Printable ...
pdffiller.com
Determination of Krogh Coefficient for Oxygen Consumption Measurement ...
mdpi.com
Oxygene Health - Hyperbaric & Normobaric Oxygen Therapy
oxygenehealth.co.in
Solar-powered oxygen efficacious and cost-effective option for ...
medicaldialogues.in
OxyFlow 5 Oxygen Concentrator – 5L | Reliable & Quiet
nidhihealthcare.in
Buy LOOKEE Premium Black Fingertip Pulse Oximeter Blood Oxygen ...
ubuy.co.in
Which of the following is the correct observation of the reaction shown ...
brainly.in
Covid-19: Helpline for Oxygen in six states – The Softcopy
thesoftcopy.in
Law of Constant Proportions - Statement, Explanation, Exceptions, FAQs
mygurukulacademy.in
CPAP Machine Medicare International
medicareinternational.in
In Situ Raman Spectroscopy as a Tool for Discerning Subtle Structural ...
mdpi.com
9 Benefits of inhaling pure oxygen
mirchi.in
Oxygen Facials: Procedure, Efficacy, Side Effects, Cost - Blog
kaya.in
Explain oxygen dissociation curve. - Brainly.in
brainly.in
From 'No Breathing' To 'High Temperatures': Things To Keep In Mind ...
in.mashable.com
With the help of an activity show that electrolysis of water is the ...
brainly.in
High Oxygen Flow Neither Benefits Nor Harms Patients With Suspected ACS ...
medicaldialogues.in
How 5-Wire Sensors Work (Tech Edge)
wbo2.com
Denso 234 4359 Oxygen Sensor Air And Fuel Ratio Sensor | Desertcart INDIA
desertcart.in
7. If carbon and oxygen combine in a definite ratio of3:8 to form ...
brainly.in
Medical oxygen a luxury in much of the world | International - Times of ...
timesofindia.indiatimes.com
Chemetrics K-7540 Colorimetric Dissolved Oxygen Test Kit , 0 to 40 ppb ...
coleparmer.in
Calcium and oxygen combine in the ratio of 5:2 by mass to form calcium ...
brainly.in
Automotive-leader 234-9135 Air Fuel Ratio Oxygen Upstream O2 Sensor 1 ...
amazon.in
HITECH INSTRUMENT GALVANIC OXYGEN CELL TYPE N | United Marine Services
unitedmarineservices.in
Deck Mount Electronics - Largest Medical Equipment Manufacture
deckmount.in
4 Pack Comfortable Nasal Oxygen Cannula Ear Cushions Cannula Oxygen ...
desertcart.in
Book Prothrombin Time & International Normalized Ratio (PT-INR ...
pharmeasy.in
100 CC Oxygen Absorber – FreshPac
freshpac.in
Hydrogen City
hydrogencity.in
Hydrogen and oxygen combine in the ratio of 1:8 mass to form water what ...
brainly.in
Smart Oxygen Generator for Home : UrbOx Smart Oxygen Generator
urbox.in
Effects of oxygen scavengers (Sodium sulfite, sodium bisulfite, sodium ...
jabonline.in
New FDA rules to cut racial bias in some, but not all, devices to ...
icymi.in
Buy Air Fuel Ratio Lambda O2 Oxygen Sensor for Veracruz Sedona 2006-12 ...
ubuy.co.in
Sachin Tendulkar bats for Mission Oxygen
thebridge.in
Dropping Oxygen Levels In The Ocean Are Pushing Fishes To Shallow ...
in.mashable.com
Chest radiograph and AI may predict need for hospitalization ...
medicaldialogues.in
Buy Denso 234-5053 Oxygen Sensor Air and Fuel Ratio Sensor Online at ...
ubuy.co.in
4. Determination of dissolved oxygen content of water sample by winkler ...
eee.poriyaan.in
Harnessing the Power of Dissolved Oxygen in Agricultural Farming
krishibazaar.in
Units That Can Make Around 2,800 Oxygen Cylinders A Day Shut For The ...
indiatimes.com
Is There Oxygen On Hottest Planet Of Our Solar System? DaVinci Will ...
in.mashable.com
Apple Watch Series 6 delivers breakthrough wellness and fitness ...
apple.com
MOX Regulator- Oxygen - MOX Regulator- Oxygen Exporter, Manufacturer ...
hmp.org.in
Buy ANSNF 7Ft Oxygen Tubing, Crush Resistant High Flow Oxygen Tubing, 3 ...
desertcart.in
Oxygen cylinder HS Code for Export & Import | Oxygen cylinder Trade HS ...
seair.co.in
Benefits Of Hyperbaric Oxygen Therapy - Health, Beauty & Fitness ...
click.in
OxyWheel Mobile Oxygen Generation Plant in India | Healthtech
amtz.in
15. Carbon and oxygen combine in the ratio of 3:8 by mass to form ...
brainly.in
Cabin Crew - Air Hostess Courses in Pune -Training Institute
fusiontechnology.in
NASA Successfully Produces Oxygen On Mars, Paving Way For Human Exploration
indiatimes.com
Omron 5L Oxygen Concentrator with 96% purity, 4 alarms
nidhihealthcare.in
Supplemental Oxygen in the Newborn: Historical Perspective and Current ...
medtalks.in
India News | Latest India News Headlines | India Breaking News- The Week
theweek.in
Ilb Gold Replacement For Datex Ohmeda, Modulus Ii 7810 Oxygen Sensors ...
zoro.com
Buy Healva 2 Pack - Adult Venturi Oxygen - Oxygen with Adjustable ...
desertcart.in
Determination of Krogh Coefficient for Oxygen Consumption Measurement ...
mdpi.com
Buy LZQ-7 0.6MPa Flowmeter 1-10 LPM Flow Meter with Control Valve for ...
desertcart.in
Ilc Replacement for Nuova E-33/0 Oxygen Sensors E-33/0 OXYGEN SENSORS ...
zoro.com
Oxygen cylinder HS Code for Export & Import | Oxygen cylinder Trade HS ...
seair.co.in
Indian Researchers Develop Affordable Oxygen Concentrators For Rs 20,000
indiatimes.com
Moseley's Law: Statement, Analysis, Derivation, Application and ...
collegesearch.in
RNN Arts High concentration NON-REBREATHABLE Oxygen Masks for Medical ...
amazon.in
gram altında belirleyici seviye ve unsur 265''ler - Yorumlu grafik
yorum.altin.in
Hyperbaric oxygen therapy (HBOT)
nanohospitals.in
Deck Mount Electronics - Largest Medical Equipment Manufacture
deckmount.in
Hromee Oxygen Acetylene Hose 14-Inch × 25 Feet with | Ubuy India
ubuy.co.in
Oxygen Absorber Packets| Garg Chemical Company
idry.co.in
Medical DeVilbiss 10 LPM Oxygen Concentrator
medicareinternational.in
Objectives_template
archive.nptel.ac.in
COVID-19 Update: Lockdown, Weekend Curfew, Vaccination In Delhi, Mumbai ...
indiatimes.com
The sum of the total number of bonds between chromium and oxygen atoms ...
tardigrade.in
Related Searches
Atom Oksigen
Lambang Oksigen
Oxygen Symbol
Oxygen Form
Simbol Oksigen
Oxygen 17 Image
Molekul Oksigen
Struktur Oksigen
Oxygen Untuk Peternakan
Elemtn of Oxygen
Oxygen Eleemnt
Merk Oxygen
Representing Oxygen
Oxygen Elemebt
Flat Icon Oxygen
Ovygen Element Photo
Or Oxygen
Oxygen O2 Clip Art
Oxygen Elemengt
Pink Oxygen Element
Oxygen Combine to Make Oxygen Element
Oxygen 3D Image
A Real Photo of My Element Oxygen
Elements of Oxeygen
Oxygen in Table of Elements
Symbol Oxygene
Fad Oxygen-Oxygen
Oxygen Element Pretty
Oxigen Elemnt
Oxygen Molecule Logo Print Out
Oxygen Semprot
What Element Is Oxygen
Oxygen Fomula Background
Unsur Oksigen
Unsur Dan Senyawa
Nomor Atom Oksigen
Drawing Ofoxygen Circle
Oxygen Element in Portuges
What Is Oxygen Element
Oxigen Element Vhimc
Search
×
Search
Loading...
No suggestions found