Find Your Style
Women
Men
Accessories
Search for clothing, brands, styles...
×
Women
Men
Accessories
Unta Vektor
Search
Loading...
No suggestions found
INR Full Form: What is full form of INR?
bankersadda.com
33000 euro to inr - Claim a ₹300 Bonus Today! Android IOS V- 1.79
tax.lsgkerala.gov.in
BTC to INR Converter, Convert Bitcoin to INR Exchange 2022 - Exchanger24
exchanger24.org
0.1 ETH to INR Converter, How much Convert Ethereum to Indian Rupee ...
exchanger24.org
Top 10 Countries Where INR Has the Highest Value in 2025
currentaffairs.adda247.com
Explore the smoothest whiskey collection: Best Scotch under INR 2000
lifestyleasia.com
Philips Remote Inr Order Form - Fill Online, Printable, Fillable, Blank ...
pdffiller.com
BTC to INR Converter, Convert Bitcoin to INR Exchange 2022 - Exchanger24
exchanger24.org
INR extends winning streak
msn.com
usd to inr sbi rate: Latest News & Videos, Photos about usd to inr sbi ...
economictimes.indiatimes.com
ValueQuest Enters PE Segment With INR 1,000 Cr Fund
businessoutreach.in
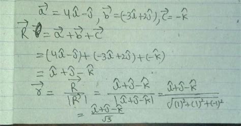
If a=4i-j,b= -3i+2j and c=-k there is a unit vector r along the ...
brainly.in
If a=4i-j,b= -3i+2j and c=-k there is a unit vector r along the ...
brainly.in
Find a unit vector that is orthogonal to both i + j and i + k - Home ...
ask.learncbse.in
Convert the vector r = 3i + 2j into a unit vector. - Brainly.in
brainly.in
Gauss Law or Gauss Theorem : Solid Angle and Electric Flux|Chemistry Page
chemistrypage.in
Convert the vector r vector = 3 i cap +2 j cap into a unit vector ...
brainly.in
Virtual Labs
he-coep.vlabs.ac.in
unit vector parallel to the resultant of vector 8i+8j will be - Brainly.in
brainly.in
Camel clipart Vectors - Download Free High-Quality Vectors from Freepik ...
freepik.com
Hexagonal close-packed (HCP) Structure - Atoms per unit cell ...
mech.poriyaan.in
Basic Crystal Concepts
home.iitk.ac.in
What must be added to the resultant of the force to get unit vector ...
brainly.in
First Core with RISC-V Vector Instruction Extension Delivered - EE ...
eetindia.co.in
Define unit vector.. - Brainly.in
brainly.in
Torque: Meaning, Formula, Directions & Applications | AESL
aakash.ac.in
find a unit vector parallel to the resultant of the vectors A= i +4j-2k ...
brainly.in
International Trade Settlement in Indian Rupee (INR)
taxguru.in
find a unit vector in the direction of vector 3i^ + 4j^ - Brainly.in
brainly.in
SI Unit of Impulse: Examples & Real Life Examples
collegesearch.in
Uses and SideEffects of Warfarin: What You Need to Know
medicoverhospitals.in
International Trade Settlement in Indian Rupee (INR)
taxguru.in
Types of Vector - What is a Vector, Unit & Position - Physics - Aakash ...
aakash.ac.in
Find unit vectors perpendicular to the plane of the vectors a=i-2j+k ...
brainly.in
India shining: Rupee inches closer to becoming international currency ...
timesnownews.com
[Expert Verified] Find a unit vector perpendicular to the vectors a=4i ...
brainly.in
Sri Lanka and Russia in talks to use the rupee in foreign trade
currentaffairs.adda247.com
1 million dong in indian rupees - Brainly.in
brainly.in
USD/INR Cracks Big: Falls 2% in 4 Days! | Investing.com India
in.investing.com
India and Malaysia can now trade in Indian rupee
currentaffairs.adda247.com
Indian Financial System, 5e by H R Machiraju
vikaspublishing.com
[Answered] Determine a unit vector perpendicular to both a=2i+j+k and b ...
brainly.in
1. The correct relation between vectors P, Q and R is (1) P+Q=R (3) Q=R ...
brainly.in
Triangle Law of Vector Addition: Definitions, Formula, Derivations ...
collegesearch.in
Given p=q=r,if vector p+vector q= vector r then the angle between ...
brainly.in
Rupee Depreciation: Will India's Exports Stand To Gain? | Investing.com ...
in.investing.com
icrush Engineered Wood Wall Mount TV Unit/TV Stand/TV Cabinet/TV ...
flipkart.com
USD/INR at Record High! Why RBI is Failing to Curb the Rupee’s Fall ...
in.investing.com
How to Choose Wall Art for Your Living Room - featuring Claude Monet ...
artrise.in
Fake notes worth over Rs 14 lakh in Rs 500 denominations seized in Odisha
odishatv.in
La letra C. Información, ejemplos y actividades | Twinkl
twinkl.co.in
Q. Find the unit vector of 3i + 4j - k - Brainly.in
brainly.in
The position vector →r of a particle of mass m is given by the ...
brainly.in
A person pushes a box kept on a horizontal surface with force of 100 N ...
tardigrade.in
Buy Absolute Anticoagulant Journal: A Comprehensive logbook for ...
desertcart.in
Unta #201.77 - FusionDex.org
fusiondex.org
find a unit vector parallel to the resultant of the vectors A= i +4j-2k ...
brainly.in
Find the unit vector in the direction of vector b=3i+4j-5k - Brainly.in
brainly.in
Did You Know About India's Rs 10,000 Rupee Note
indiatimes.com
MP Govt to Award ₹239 Crore to 94,000 Top Scoring Class 12 Students ...
jagranjosh.com
How Indian Rupee Stands Against Other Major Currencies
indiatimes.com
The position vector ⃗r of a particle P located in an x-y plane is shown ...
brainly.in
If A is a constant vector, then prove that ∇(r . A)=A. - Brainly.in
brainly.in
Public transport indonesian bus vector | Premium Vector
freepik.com
Gold Necklace Set for Women | Buy Gold Necklace Set Online India ...
manubhai.in
Manur - Decannulation challenge
manurhospital.in
Hydraulic power units | Bosch Rexroth India
boschrexroth.com
Find a unit vector perpendicular to both →a and →b, where →a=ˆi−2ˆj+3ˆk ...
brainly.in
1. Define surface tension. Write formula, unit and dimension of surface ...
brainly.in
Wedding Gold & Diamond Jewellery set with Price | Buy Bridal Gold ...
manubhai.in
FRL Unit with Pressure Gauge | Filter, Regulator & Lubricator | 1/4th ...
amazon.in
Best Warfarin Embryopathy Specialists in India
medicoverhospitals.in
If the vector f =4i-10j and vector r=5i-3j, then calculate the torque ...
brainly.in
If p=i+j+2k and Q=3i-2j+k,then the unit vector perpendicular to p and q ...
brainly.in
Buy INR's Farm Fresh Premium Pellets Food for Rabbits | 1 KG Advanced ...
amazon.in
Gold Necklace Set for Women | Buy Gold Necklace Set Online India ...
manubhai.in
Priyansh Saree
ssptex.com
Gold Necklace Set for Women | Buy Gold Necklace Set Online India ...
manubhai.in
Warfarin: View Uses, Side Effects and Medicines
truemeds.in
Torque: Meaning, Formula, Directions & Applications | AESL
aakash.ac.in
8 Obat Stroke yang Efektif dan Tersedia di Apotik - Alodokter
alodokter.com
Leather Laptop Backpacks for Men | Lifetime Warranty
leathertalks.com
List Of Countries That Have Opened Special Rupee Vostro Accounts
indiatimes.com
EPR Registration and Compliance
taxguru.in
Mumbai Indians: 5 players MI can release ahead of IPL 2026 auction ...
crickettimes.com
Fed’s 75 bps Hike: Rupee Falls to Record Low, Sets Eye for ‘82 ...
in.investing.com
Buy Vector Mechanics for Engineers: Statics and Dynamics (MECHANICAL ...
amazon.in
Inflation or disinflation - Where are dollar & rupee moving? - The ...
economictimes.indiatimes.com
Buy Gold Bangles Online India with Latest Designs - Manubhai Jewellers
manubhai.in
Lodha Crown Khoni bypass Lodha Crown Taloja Rent - WITHOUT BROKERAGE ...
nobroker.in
Strategic Management Forum
iimmumbai.ac.in
Buy Diamond Necklace Online | Diamond Set Online Manubhai Jewellers
manubhai.in
Addition of two vectors by triangle law of vector addition
raiedu.in
Ducati – Motoaggrandize
motoaggrandize.in
Wedding Gold & Diamond Jewellery set with Price | Buy Bridal Gold ...
manubhai.in
Buy Mi Bautizo, My Baptism Spanish SVG and PNG Online in India - Etsy
etsy.com
MSN Money
msn.com
Buy best bralettes for women | beach wear for women | Beeglee
beeglee.in
Find the vector having magnitude √6 units and perpendicular to both 2i ...
brainly.in
Hurun India 2025: 10 billionaire Indians who entered the rich list this ...
economictimes.indiatimes.com
if resultant of two unit vectors a and b is also a unit vector, then ...
brainly.in
Rate (INR)
erp.kohinoorpune.com
20 Stunning Haldi Ceremony Outfits & Dresses to Wear in 2025
bhasinbrothers.com
Premium Heritage Saree HT26
ssptex.com
Buy PHILIPS AVENT COMFORT SINGLE ELECTRIC BREAST PUMP (WHITE) SCF395/11 ...
pharmeasy.in
20 लाख होम लोन ईएमआई कैलकुलेटर: प्लानिंग में मदद करेगा
rinkarj.com
Hurun India 2025: 10 billionaire Indians who entered the rich list this ...
economictimes.indiatimes.com
Registration Form
cam.mycii.in
Exclusive TV Unit Design - Rennovate Interiors
rennovate.co.in
Vector differentiation IIM - Innovative Institute of Mathematics ...
studocu.com
Sunil Gavaskar urged BCCI to restrict Salary for uncapped players to ...
bhaskarenglish.in
Amaran movie: The heart-stopping true story of Major Mukund Varadarajan
lifestyleasia.com
About Us
pinedrew.com
Contact – valientecaps
valientecaps.com
Machine Instructions and Addressing Modes Free MCQ Practice Test with ...
edurev.in
in vector diagram shown in figure where (R) is the resultant of vector ...
brainly.in
About PML – Permanent Magnets Ltd
pmlindia.com
Warfarin Sodium | CAS No- 129-06-6 | Simson Pharma Limited
simsonpharma.com
Size Chart
heritageofficial.com
Dresses
leaclothingco.com
Related Searches
Unta Duduk Vector
Gambar Unta Vektor
Mata Unta Vector
Unta Clip Art
Vector Kepala Unta
Unta Drawing
Ilustrasi Unta
Kartoon Unta
Warna Unta
Gambar Onta Vektor
Lukisan Unta
Burung Unta Vektor
Grafik Unta
Punuk Unta
Unta Carpet Vector
Unta Lucu
Vektor Naik Unta
Gambar Vektor Hewan Unta
Vektor Penungang Unta
Gambar Unta Vektor Siluet
Unta Kartin
Unta Printable
Vector Pasukan Unta
Vector Unta Perang
Gambar Unta PNG
Unta Easy Draw
Poto Orang Naik Unta Vektor
Vector Unta Dan Pohon
Kuda Unta Sapi
Unta Berdirivector
Topeng Unta
DIY Unta
Agileon Vector
Unta De Sain Face
Ilusstrasi Unta
Ragambar Unta
Anima Si Unta Siluet
BA Yang Unta
Unta Dan Kelapa PNG
Gambara Unta
De Sain Lebaran Unta
Unta Dan Kurma Vector
Enoc Logo Unta Resing
Unta Graphic
Unta Lucu Kawaii
Gambar Unta Putih
Unity Vector
Camello Vector
Unta Kartun
Gambar Kepala Unta Untaan
Search
×
Search
Loading...
No suggestions found