Find Your Style
Women
Men
Accessories
Search for clothing, brands, styles...
×
Women
Men
Accessories
Valsartan Substitute Chart
Search
Loading...
No suggestions found
FARTCOIN Token Live Price Chart, FARTCOIN to INR live price and Market cap
suncrypto.in
Managing heart failure with sacubitril-valsartan: Why ARNIs stand out?
medicaldialogues.in
SACUBITRIL AND VALSARTAN TABLETS {49 MG/51 MG} | API GENERIC PHARMACY
apijanaushadhi.in
Vymada 50 mg Tablet | Uses, Side Effects, Price | Apollo Pharmacy
apollopharmacy.in
Cardiovascular Medicine - Telmisartan and Hydrochlorothiazide Tablets I ...
arlakcorazon.co.in
High-Quality Valsartan API Manufacturer & Supplier - ATOMPHARMA ATOMPHARMA
atompharma.co.in
Warfarin Dose Adjustment Chart - Fill Online, Printable, Fillable ...
pdffiller.com
Co Diovan 160mg/25mg Strip Of 14 Tablets: Uses, Side Effects, Price ...
pharmeasy.in
Pharmaceutical Capsules - Voriconazle Tablets 200mg Wholesale Trader ...
sterispharma.in
JB Pharma slashes price of critical Heart Failure medicine AZMARDA ...
medicaldialogues.in
SACUBITRIL AND VALSARTAN TABLETS {24MG/26MG} | API GENERIC PHARMACY
apijanaushadhi.in
Sacubitril/Valsartan vs. Standard Medical Therapy on Exercise Capacity ...
mdpi.com
main chart
businessworld.in
Buy Refsav 100mg Strip Of 14 Tablets Online at Flat 15% OFF | PharmEasy
pharmeasy.in
Zayo 50 MG | Order Zayo 50 MG Tablet Online at Truemeds
truemeds.in
Azmarda 50mg Strip Of 14 Tablets: Uses, Side Effects, Price & Dosage ...
pharmeasy.in
Valentas 50 Tablet | Uses, Side Effects, Price | Apollo Pharmacy
apollopharmacy.in
Final Phoneme Deletion Picture Matching Cards
twinkl.co.in
Vymada 50mg Strip Of 14 Tablets: Uses, Side Effects, Price & Dosage ...
pharmeasy.in
N-Nitroso Valsartan Desvaleryl | CAS No- NA | NA
chemicea.com
Aromatic Compounds: Nomenclature, Characteristics and Conditions
allen.in
Sacubitril/valsartan fails to improve cardiovascular biomarkers for ...
medicaldialogues.in
Sacubitril, valsartan combo safe for HFpEF, not likely to cause ...
medicaldialogues.in
Reaction Chart: Substitution and Elimination reaction in Alkyl halide
chemca.in
Nucleophilic Substitution Reactions - Haloalkanes and Haloarenes, Class ...
edurev.in
The Essential Vitamin K Foods Lists for Warfarin Users: With More Than ...
amazon.in
Rubired Z Tablet | Uses, Side Effects, Price | Apollo Pharmacy
apollopharmacy.in
CMG Biotech Private Limited - Manufacturer of Cardiovascular Medicine ...
cmgbiotech.co.in
Valsartan 137862-53-4 | Tokyo Chemical Industry (India) Pvt. Ltd.
tcichemicals.com
Azmarda 50mg Strip Of 14 Tablets: Uses, Side Effects, Price & Dosage ...
pharmeasy.in
Substitution Vs Elimination Chart 2020-2025 - Fill and Sign Printable ...
uslegalforms.com
sk satta king chart
bwhotelier.businessworld.in
Spritegru Laminated Educational Math Posters Addition And Subtraction ...
desertcart.in
Fillable Online Reed Size/Sett Substitution Chart Fax Email Print ...
pdffiller.com
Buy Mel Bay's Jazz Guitar Chord Substitution Wall Chart Online at ...
desertcart.in
Gold Price per Gram in India today in Indian Rupee (INR)
goldpriceworld.com
Radio Tube Data and Substitution Chart : Amazon.in: Books
amazon.in
Should You Invest in Silver in 2025? | FinEdge
finedge.in
Nitroso Valsartan Benzyl Ester | CAS No- NA | Simson Pharma Limited
simsonpharma.com
SC Allows M3M to Substitute Property Attached by ED | SC Allows M3M to ...
lawbeat.in
Basketball Substitution Chart - Fill Online, Printable, Fillable, Blank ...
basketball-substitution-chart.pdffiller.com
Managing Heart Failure in India with Sacubitril Valsartan: Lessons from ...
medicaldialogues.in
Valsartan Impurity 8 | 482577-59-3
chemicea.com
Cidmus 200mg Strip Of 10 Tablets: Uses, Side Effects, Price & Dosage ...
pharmeasy.in
Reaction Mechanism Chemistry - Organic Chemistry PDF Download
edurev.in
Arnipin 50 Tablet 14's Price, Uses, Side Effects, Composition - Apollo ...
apollopharmacy.in
School of Stocks - Technical Analysis of Currencies
fyers.in
BSE Midcap-to-Nifty ratio: Breaks four years of uptrend - 12 charts ...
economictimes.indiatimes.com
Pipzo 4.5gm Dry Vial Of 1 Powder For Injection: Uses, Side Effects ...
pharmeasy.in
Zeptol CR 200 Tablet | Uses, Side Effects, Price | Apollo Pharmacy
apollopharmacy.in
Buy HVAC Charts - Pressure Temperature Chart Online at desertcartINDIA
desertcart.in
Arney 100 Tablet | Uses, Side Effects, Price | Apollo Pharmacy
apollopharmacy.in
What are substitute goods? Definition and examples - India Dictionary
1investing.in
Splenda No Calorie Sweetener, 200 Count Packets : Amazon.in: Grocery ...
amazon.in
USDINR – Is It A Price Action Pullback Or Shakeout ? | Investing.com India
in.investing.com
Pharmaceutical Bulk Drugs,Pharmaceutical Tablets Suppliers
bhagwanpharma.in
How Gold Prices Have Moved In India In The Last 10 Years? - Goodreturns
goodreturns.in
US Military To Deploy Navy Ships, USS Gerald R Ford Closer To Israel To ...
timesnownews.com
Buy HVAC Chart 3 Pack, R-22 Superheat Subcooling Calculator, R-410a ...
desertcart.in
Rupee Needs to Stabilise for the Indian Markets to Take Support ...
in.investing.com
Buy Wooden Recipe Box with Cards,Protector, Dividers and Phone Holder ...
ubuy.co.in
Complex Impurities Suppliers in India | Simson Pharma Limited
simsonpharma.com
Children's Weather Chart for Classrooms - Primary Resource
twinkl.co.in
Telmavac Am 80/5mg Strip Of 10 Tablets: Uses, Side Effects, Price ...
pharmeasy.in
Prolomet Xl 25 MG Tablet XL - Uses, Dosage, Side Effects, Price ...
practo.com
Cafes In Prague: 10 Places To Enjoy A Warm Cup Of Coffee
traveltriangle.com
Valsartan N1-Trityl R-Isomer | CAS No- 2459446-34-3 | Simson Pharma Limited
simsonpharma.com
Meat Substitutes: Plant-based meat substitutes that will make you ditch ...
timesofindia.indiatimes.com
Omb No 1545 0115 2015 Form - Fill and Sign Printable Template Online
uslegalforms.com
Valsartan Disodium | CAS No- 137862-53-4 (free base) | Simson Pharma ...
simsonpharma.com
Amudham Juice Shop, Kodambakkam | LBB, Chennai
lbb.in
ARMS for Writing Display Poster
twinkl.co.in
GDS substitute Engagement Rules 2022 | GDS Substitute arrangements in ...
postalstudy.in
Propranolol 20 mg Alprazolam 0.25 mg Tablet
mkmedicine.in
soccer substitution sheet Forms and Templates - Fillable & Printable ...
pdffiller.com
Sensodyne Overview: Experts in Sensitive Teeth | Haleon HealthPartner
haleonhealthpartner.com
Cobadex -z capsule
genericure.in
Lycofol Red Capsule
genericure.in
Contego capsule
genericure.in
What Is NPT Thread NPT Thread Dimensions NPT Thread Size, 50% OFF
iiitl.ac.in
Cadbury Bournville Rum & Raisin Dark Chocolate Bar, 80 grams : Amazon ...
amazon.in
Buy EQUAL STEVIA NATURAL SWEETENER SUGAR FREE 50 SACHET PACK OF 6 ...
pharmeasy.in
Apollo Tyres 155 R13 C 89/88 S Amazer Xl Lt 8pr Tubeless for Car ...
amazon.in
Prostaquil capsule
genericure.in
Isoleucine Valsartan | CAS No- 137862-78-3 | Simson Pharma Limited
simsonpharma.com
18 Printable soccer substitution sheet Forms and Templates - Fillable ...
pdffiller.com
Steel Tubing Pressure Ratings Air-Way Manufacturing, 53% OFF
iiitl.ac.in
Fillable Online Shared care agreement - LHRH agonst treatment Fax Email ...
pdffiller.com
Attic Salt Long shrug with silver sequin design at hem and bottom
atticsalt.in
An Overview of Capital Gain
taxguru.in
2020-2025 AK Substitute Form W-9 Fill Online, Printable, Fillable ...
pdffiller.com
PG & Metric Cable Glands | Domestic Cable Glands | Products | Cablegrip ...
cablegrip.in
Valsartan Tetrazole Nitrosamine Impurity | CAS No- NA | Simson Pharma ...
simsonpharma.com
Maruti Wagon R On Road Price in Ahmedabad, Navsari, Vadodara, Vapi ...
maruti.kataria.co.in
Weather and Seasons Display Chart (teacher made)
twinkl.co.in
2023 Honda Civic Type R unveiled as the most powerful model in 30 years ...
overdrive.in
What are substitute goods? Definition and examples - India Dictionary
1investing.in
HOPLARK Water - Mixed Pack (12, 16oz. Cans) - Sparkling Hop Water ...
desertcart.in
How does change in price of a substitute good affect the demand of the ...
ask.learncbse.in
Buy BAIDYANATH NAGPUR PUNARNAWADI MANDOOR 40 TABLET (PACK OF 2) Online ...
pharmeasy.in
Swaraj Enterprises
swarajgroup.co.in
C4 Smart Energy Drink - Sugar Free Performance Fuel & Nootropic Brain ...
desertcart.in
Top five best-selling cars in February 2024 - Overdrive
overdrive.in
Maruti WagonR LXI CNG Optional On-Road Price, Specs , Features & images
autovista.in
18 Printable indiana state tax withholding form Templates - Fillable ...
pdffiller.com
NASSCOM Diversity and Inclusion 2019 , REDEFINING D&I – SERIES II
nasscom.in
Proteen Chocolate Powder - Buy Chocolate Protein Powder at Best Price
genericure.in
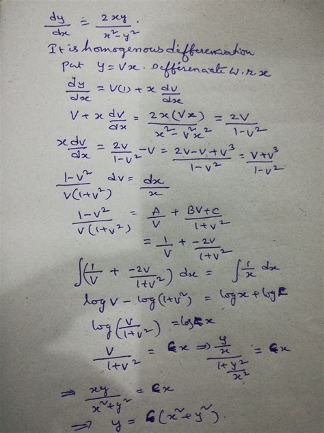
Solve: dy/dx =2xy / ( x2 - y2 ) The answer given in the book is :y = C ...
brainly.in
Experion Heartsong, Sector 108, Dwarka Expressway, Gurgaon
abcbuildcon.in
Pharmaceutical Tablets - Cidmus 50mg Tab (sacubitcil + Valsartan ...
srivelapharmacy.in
Refrigerant Gases - R134A Refrigerant Gas- Ac''On Manufacturer from ...
venkateswaragases.co.in
Related Searches
Valsartan Dosing Chart
Valsartan Alternative Chart
Valsartan Dose Chart
Valsartan Shape Chart
Valsartan Pill Identifier
Valsartan Tablets
Valsartan Conversion Chart
Vetmedin Dosage Chart
Entresto Dosing Chart
Valsartan 320 Mg Tablet
Metoprolol Conversion Chart
Losartan Dosage Chart
Amlodipine Dosage Chart
Valsartan Diovan
Valsartan/HCTZ
Ace Inhibitor Conversion Chart
Irbesartan to Valsartan
Sacubitril Valsartan
Olmesartan Conversion Chart
Valsartan MedCard
Valsartan 160 Mg Pill Identifier
ARB Dose Equivalency Chart
Valsartan 40
Entresto Dosage Levels Chart
Valsartan vs Losartan Dose Chart
Valsartan and Hydrochlorothiazide
Amlodipine and Valsartan Combo
Valsartan Medication
Amlodipine and Valsartan Combination
Lisinopril to Amlodipine Conversion Chart
Heparin Dosing Chart
Amlodipine to Verapamil Conversion Chart
Valsartan 347
Valsartan Strengths Chart
Valsartan Use and Pic
Valsartan Liquid
ARB Efficacy Comparison Chart
Ace Inhibitor Drug Chart
Valsartan Chemical Structure
Valsartan Oral Solution
Valsartan Losartan Substitute Chart
Valsartan D
Integrilin Dosing Chart
Valsartan V24
Samples of Valsartan
Acei to ARB Conversion Chart
Sacubitril Valsartan 49 51 Mg
Valsartan Solubility Chart
Valsartan Sandoz 80 Mg
Valsartan Doe
Search
×
Search
Loading...
No suggestions found