Find Your Style
Women
Men
Accessories
Search for clothing, brands, styles...
×
Women
Men
Accessories
Vcs Tool Example
Search
Loading...
No suggestions found
GIT TUTORIAL
theinquisitive.in
Merkle Trees & its Application in VCS
pclub.in
Search for Genetic Material - Biology Class 12 - NEET PDF Download
edurev.in
Working with Git & GitHub
cybersecmastery.in
Git Version Control system-With Commands | DevOpsWorld
devopsworld.co.in
Git Version Control system-With Commands | DevOpsWorld
devopsworld.co.in
Roadmaps
pclub.in
Assessment Checklist for learning | Teacher Planning
twinkl.co.in
Diagnostics | Special Issue : Advances in Hematology Laboratory
mdpi.com
VCS Complete - Measuring cycles for milling and mill-turn by DMG MORI ...
in.dmgmori.com
How to Simulate Verilog codes using VCS and Verdi - Video
helpdesk.vlsiexpert.in
16 Best Email Previewing, Testing, & Rendering Tools - Blog
appsmanager.in
8D Analysis
kunziteindia.com
How to Check the Hardware Configuration of a Dell Computer | Dell India
dell.com
A Detailed Overview of the Eyeglasses Manufacturing Process
optometry.dpu.edu.in
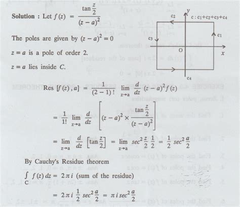
Cauchy's residue theorem - Statement, Proof, Formula, Solved Example ...
eee.poriyaan.in
Sunicon Weld Gauge, Steel Welding Measure Tool MG 8 Weld India | Ubuy
ubuy.co.in
16 Best Email Previewing, Testing, & Rendering Tools - Blog
appsmanager.in
Buy ECG Card (EKG) R-CAT Window. ECG tool for paramedics, nurses and ...
desertcart.in
16 Best Email Previewing, Testing, & Rendering Tools - Blog
appsmanager.in
CUET: UGC To Write To Edu Ministers Of All States; Hold Meetings With ...
odishatv.in
Six interesting data visualization tools in 2023
indiaai.gov.in
How Are Barcodes Generated? (+ Free Barcode Generator) (2024) - Shopify ...
shopify.com
Fiscal Policy Meaning, Objectives, Instruments, Types, Tools, Examples
studyiq.com
Whys Analysis Ultimate Root Cause Analysis Tool (Examples, 55% OFF
ahalia.ac.in
Principles of R-CAST in group decision support system
indiaai.gov.in
Buy Nourishing Oud Body Wash 200 Ml Online – Mintree
mintree.in
E4Q.82 series | tool-free opening and closing | igus
igus.in
Buy Mani-Pedi Kit Tan-Go Zest Online – Mintree
mintree.in
Buy Nourishing Oud Body Wash 200 Ml Online – Mintree
mintree.in
24 Printable Collaboration Proposal Template Forms - Fillable Samples ...
pdffiller.com
Buy Tools & Plant Register Template, PROJECT MANAGEMENT Online in India ...
etsy.com
'There were hardly any VCs in India': Shark Tank's Anupam Mittal shares ...
businesstoday.in
Fillable Online VCS Sports Physical Form Fax Email Print - pdfFiller
pdffiller.com
Project
web.iitd.ac.in
Tools Matching Activity, tools, builder, construction
twinkl.co.in
Venture Capital: VCs ready tools to plant seeds in startup ground - The ...
economictimes.indiatimes.com
Tools Names: Useful List Of Tools In English With Pictures, 54% OFF
elevate.in
What is Repetition? | Repetition Examples | KS2
twinkl.co.in
Buy The Basics Of Kanban: A Popular Lean Framework - Learn Kanban ...
desertcart.in
Signode
signode.com
Renuka Tools
renukatools.in
In a first, Tamil Nadu CM Stalin to chair meeting with VCs of state ...
theweek.in
Image Gallery
nith.ac.in
Machine Learning and Marketing: Tools, Examples, and Tips Most Teams ...
appsmanager.in
Seven interesting graph analytics tools in 2023
indiaai.gov.in
The Top 27 AI Marketing Tools - Blog
appsmanager.in
Infrastructure as Code: Managing Compute with {tool} Best Practices for ...
johal.in
Tools Name List: Tools Names And Images GrammarVocab, 58% OFF
elevate.in
Replace Tool Example
ansyshelp.ansys.com
16 Best Email Previewing, Testing, & Rendering Tools - Blog
appsmanager.in
Tool Sets / Tool Boxes - Hand Tools various hand tools for general ...
in.misumi-ec.com
Unit-5 - digital forensics unit 5 - UNIT-V CURRENT COMPUTER FORENSIC ...
studocu.com
Cookie Checker | Check What Cookies Does Website Use ☑
sitechecker.pro
What is CRM (Customer Relationship Management)? | Zendesk India
zendesk.com
Fiscal Policy Meaning, Objectives, Instruments, Types, Tools, Examples
studyiq.com
SI FANG Mini Pneumatic Chamfering Tool with Replace Blades Inserts and ...
amazon.in
Top VCs tout climate finance as a multi trillion dollar opportunity ...
businesstoday.in
Fiscal Policy Meaning, Objectives, Instruments, Types, Tools, Examples
studyiq.com
Data Models and their Types - Simplynotes - Online Notes for MBA, BBA ...
simplynotes.in
Fiscal Policy Meaning, Objectives, Instruments, Types, Tools, Examples
studyiq.com
Governor Arif Khan acting like tool of RSS, misusing office, says CM ...
aninews.in
Fiscal Policy Meaning, Objectives, Instruments, Types, Tools, Examples
studyiq.com
Fiscal Policy Meaning, Objectives, Instruments, Types, Tools, Examples
studyiq.com
Classification of Machine Tools - Classification of Machine Tools ...
studocu.com
Fiscal Policy Meaning, Objectives, Instruments, Types, Tools, Examples
studyiq.com
Replace Tool Example
ansyshelp.ansys.com
Fiscal Policy Meaning, Objectives, Instruments, Types, Tools, Examples
studyiq.com
Procareers
procareers.in
BOSCH GSB 10 RE Corded-Electric Drill Tool Set, 10 mm, 500 Watt(100 Pcs ...
flipkart.com
Bearing Lock Nuts R Type | MISUMI | MISUMI India
in.misumi-ec.com
FLO organized a session with two of the top VCs in India on "The ...
medicircle.in
Fiscal Policy Meaning, Objectives, Instruments, Types, Tools, Examples
studyiq.com
Wolfpack Labs - Aakash Anand Launches New Venture Studio Fostering ...
medicircle.in
CAPS Lesson Plan Template | Twinkl South Africa - Twinkl
twinkl.co.in
Down rounds continue as VCs worry about exit opportunities, claims ...
businesstoday.in
Termux Commands List with Example PDF - InstaPDF
instapdf.in
Governor Ravi alleges TN police threatened VCs to skip conference
dtnext.in
UNITEC TOOL MANAGEMENT | TOOL DEVELOPMENT
unitec.co.in
Elvio AI — Your meetings, with context.
elvio.in
Buy Qingyuan Prof ional Stainl Steel Vernier C r 0-150mm Sliding Gauge ...
desertcart.in
uptodatetools IC SMD SMT Vacuum Sucking Suction Pen Sucker Pick Up Tool ...
flipkart.com
BOSCH GSB 10 RE Corded-Electric Drill Tool Set, 10 mm, 500 Watt(100 Pcs ...
flipkart.com
Fiscal Policy Meaning, Objectives, Instruments, Types, Tools, Examples
studyiq.com
Fiscal Policy Meaning, Objectives, Instruments, Types, Tools, Examples
studyiq.com
How are VCs and investors investing in digital health in India? by ...
medicircle.in
Atari VCS Review
in.ign.com
P. R. POTE PATIL COLLEGE OF ENGG & MANAGEMENT
prpotepatilengg.ac.in
Governor's order demanding VCs resignation is unfortunate: Minister R Bindu
aninews.in
25 IN 1 SCREWDRIVER SET TOOL KIT
holidaywholesale.in
Beyond Spreadsheets: Why Indian VCs are Demanding Cap Table ...
community.nasscom.in
Atari VCS Review
in.ign.com
HS Code 8466 | Harmonized System Code of PARTS AND ACCESSORIES SUITABLE ...
cybex.in
Buy Regression Analysis By Example Using R Book Online at Low Prices in ...
amazon.in
Buy Beta Red Tool Storage Cabinet with Wheels - Portable Tool Chest ...
desertcart.in
‘There will be short term chaos due to Silicon Valley Bank collapse but ...
businesstoday.in
"I have learned that in matrimonial litigation especially highly ...
superlawyer.in
'I don’t care about valuations,' says Zoho CEO Sridhar Vembu ...
businesstoday.in
Atari VCS: New Console from an Old Name | Digit
digit.in
Buy Sara-u 34cm Scale Drawing Ruler Pantograph Folding Ruler Reducer r ...
desertcart.in
Wooden Tool Kit Set with Tool Box (36 Pcs) – nestatoys
nestatoys.in
VCs Invested Less in the Indian Start-up Ecosystem in April
marketingmoves.in
A Case Converter Tool for Exceptional Text Formatting
workzly.in
TOPLINE 467-Piece Household Home Tool Sets for India | Ubuy
ubuy.co.in
Why VCs and PEs think funding winter is good, and will end the “drunken ...
businesstoday.in
Cloudflare partners with 26 VCs and Unveiled $1.25 Billion Fund For ...
smestreet.in
Six best CI/CD tools for ML pipelines
indiaai.gov.in
Fintech players receive $2.7 bn from VCs in 2020 - BusinessToday
businesstoday.in
Airmasters Machine Tool Cooler in Vadodara, Airmasters Machine Tool ...
ace-flow.in
Taiss BNC Crimp tool with 10PCS BNC Connector,Coax Coaxial BNC Crimping ...
amazon.in
Start-up winter: VCs are sitting on massive amount of unused capital as ...
businesstoday.in
'This should give VCs sleepless nights': Netizens hail Zerodha for ...
businesstoday.in
Home | LevelUp Synergy
levelupsynergy.in
Buy Clamp Current Transformer, CT Technology Testing Tool Sensing ...
desertcart.in
trapzano Com vcs — Teletype
teletype.in
Climate Change Services (CDM/VCS/GS/GCC) | Bureau Veritas India
bureauveritas.co.in
Trump’s Tariff War: Opportunities And Roadblocks For Indian VCs And ...
businessworld.in
Indexable Lathe Turning Tool,1/2'' Shank 7 Pieces Carbide Turning Tool ...
amazon.in
Hyundai i20 - All About i20 Price, Features, Colours, & Specs
carfolio.in
Centre to Appoint VCs of 5 Private Deemed-to-be-Varsities Instead of ...
newsclick.in
Related Searches
Vcs Meaning
Vcs Tool
Info Vcs
Synopsys VCS
Vcs Test
Vcs Means
Vcs System
Vcs Login
FAA Vcs
Vcs Simulator
Simple Example for Vc
Vcs Technology
Vc Full Form
Vc Resume Example
Vcs Nuclear
Types of Vcs
Repository Vcs
Vcs Communications
Brocade VCS
Centralized Vcs
Vcs Workflow
Vcs Adalah
Vcs Visual Contrustion Examples
Vcs Project Cycle
Cisco VCS
Vc Examples Download
Veritas Vcs
Tools Like Vcs
Vcs Example with Apps
Vcs in Networking
Vcs Sinopsis
Visual Contrast Sensitivity Test
CSC vs Vcs
Vcs Slang
Vcs Meaning in Electrical
Veritas Cluster
3 Types of Vcs
Vcs Sectoral Scopes
Vcs Broadcast Software
VCS Cluster
inCMS Vc Daily
Email for Du Vc
Inc./Dir Vcs
21455 Vc Examples
21804 Vc Example
Vcs Format
Vcs Project
Vcs Banking System
What Is a Vcs
Example of Vcs Excerpt
Search
×
Search
Loading...
No suggestions found