Find Your Style
Women
Men
Accessories
Search for clothing, brands, styles...
×
Women
Men
Accessories
Vecr Ga Ruden
Search
Loading...
No suggestions found
Indian Rupee (₹) - Buy INR Currency Online at Best Rates
makemytrip.com
MI Robot Vacuum-Mop P, Best-in-Class Laser Navigation in 10-20K INR ...
amazon.in
Lorven Smart Spaces Vaishnavi Cynosure at INR 300/day - Coworking Space ...
myhq.in
INR Full Form: What is full form of INR?
bankersadda.com
Your Partner for Home INR Monitoring Services and Supplies | mdINR®
mdinr.com
BTC to INR Converter, Convert Bitcoin to INR Exchange 2022 ...
cryptocurrency-exchange.us.com
Lorven Smart Spaces Vaishnavi Cynosure at INR 300/day - Coworking Space ...
myhq.in
Ugro Capital Crosses Inr 10000 crore aum milestone launches 10k ...
psuconnect.in
Fashion vector pattern with succulent plants and blue flowers in ...
freepik.com
Butterflies are pink blue lilac flying delicate line art clip art ...
freepik.com
Set of plants in hanging pots and pots on stands home jungle | Premium ...
freepik.com
G-SHOCK GA-V01 | G-SHOCK INDIA
gshock.casio.com
DIY Gardening Tutorials & Creative Projects | Urban Plant
urbanplant.in
Best Currency for Georgia Travel Complete Guide | Buy GEL
orientexchange.in
14 best botanical gardens around the world to visit this spring | Condé ...
cntraveller.in
Lonavla garden – Mapro
mapro.com
GA-110GB-1A | G-SHOCK ANALOG-DIGITAL GA-110 SERIES | CASIO INDIA
casio.com
Three vectors `vecP,vecQ " and " vecR` are shown in the figure. Let S ...
allen.in
Geoscape | Vertical Garden in Chennai | Terrace Garden in Chennai ...
geoscape.co.in
Geoscape | Vertical Garden in Chennai | Terrace Garden in Chennai ...
geoscape.co.in
In vector diagram shown in figure where `(vecR)` is the resultant of ...
allen.in
Buy Buddha Laser | Gautama Buddha | Buddha Face | Design Vector | Laser ...
etsy.com
All You Need To Know About Dubai Miracle Garden - A Floral Wonderland!
travelandleisureasia.com
GA-100RGB-1A | G-SHOCK ANALOG-DIGITAL GA-100 SERIES | CASIO INDIA
casio.com
GA-2100MNG-2A | G-SHOCK ANALOG-DIGITAL 2100 Series | CASIO INDIA
casio.com
Geoscape | Vertical Garden in Chennai | Terrace Garden in Chennai ...
geoscape.co.in
140 BEST GARDEN PLANTS IN KERALA |Top Wholesale nursery garden in ...
metrogarden.in
The sum of two forces vecP and vecQ is vecR such that | vecR|=| vecP ...
tardigrade.in
The perpendicular distance of the point whose position vector is (1,3,5 ...
tardigrade.in
Набор декоративных черных растений в виде живой изгородиРеалистичный ...
ru.freepik.com
Yellow sun seamless pattern flower frame background | Premium Vector
freepik.com
gooba garden - Subscription a Bike or Scooty in Kanpur, Two Wheeler ...
rentrip.in
Raised Bed Gardening: 20 Ideas & Designs To Inspire You – ChhajedGarden.com
chhajedgarden.com
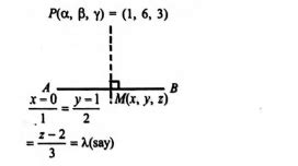
The distance from the point (1, 6 , 3 ) to the line vecr = ( hatj+2 ...
tardigrade.in
Flower Identification Display Posters Identify Garden Plants
twinkl.co.in
Navy blue floral watercolor arrangement collection | Premium Vector
freepik.com
Frangipani or plumeria white flower with green leaf on stem vector ...
freepik.com
Elegant closeup of jasmine blossom vector illustration | Premium AI ...
freepik.com
Vetores de Clipart flores silvestres - Baixe vetores grátis de alta ...
br.freepik.com
RUDEN BAR (Updated 2026) All You Need to Know BEFORE You Go (with Photos)
tripadvisor.in
Memorable Georgia Tour Package for 8 Days | georgia Trip Package for 7 ...
hellotravel.com
The P.V. of the centre of the circle | vecr|=5, vecr⋅( hati+ hatj+ hatk ...
tardigrade.in
Ecstatic Georgia Tour Package for 2 Days 1 Night | georgia Trip Package ...
hellotravel.com
Amazing Georgia Tour Package for 2 Days | georgia Trip Package for 1 ...
hellotravel.com
Best Backyard Garden Ideas for Your Outdoor Oasis 2024
nobroker.in
The position of a particle is given as `vecr=at hati+bt^(2)hatj` Find ...
allen.in
Memorable Georgia Tour Package for 7 Days 6 Nights | georgia Trip ...
hellotravel.com
Passenger shipping company Apollo
visit-mv.com
Explain the property of two vectors A and B if | A + B | = | A - B ...
ask.learncbse.in
Administration of Warfarin Inhibits the Development of Cerulein-Induced ...
mdpi.com
GA-2100-1A1 | G-SHOCK ANALOG-DIGITAL GA-2100 SERIES | CASIO INDIA
casio.com
A farmer has a circular garden as shown in the picture. He has ...
brainly.in
In vector diagram shown in figure where `(vecR)` is the resultant of ...
allen.in
Geoscape | Vertical Garden in Chennai | Terrace Garden in Chennai ...
geoscape.co.in
A particle is moving in an elliptical orbit as shown in figure. If ...
allen.in
Gardens by the Bay - Singapore: Get the Detail of Gardens by the Bay on ...
timesofindia.indiatimes.com
Let θ be the angle between the planes P1: vecr ⋅( hati+ hatj+2 hatk)=9 ...
tardigrade.in
Adventure Tour Package for 5 Days 4 Nights | Batumi Trip Package for 4 ...
hellotravel.com
Geoscape | Vertical Garden in Chennai | Terrace Garden in Chennai ...
geoscape.co.in
Laplogix 65W 4.5MM Blue Pin Laptop Charger for HP 14-R000 Series 19.5V ...
amazon.in
If vectors vecP, vecQ and vecR have magnitudes 5,12 and 13 units and ...
tardigrade.in
USD/INR Breaking Imp. Trendline; Is Nifty 50 Topping Out? | Investing ...
in.investing.com
Vintage Botanical Garden & Flower Illustrations / AvaxHome
avxhome.in
Urban Plant Blog - Easy Gardening Tips, Home Decor Ideas & Plant Positivity
urbanplant.in
Three forces vecP, vecQ and vecR acting along IA, IB and IC, where I is ...
tardigrade.in
A nonconducting sphere of radius R is filled with uniform volume charge ...
allen.in
The position of a particle is given by vecr= hati+2 hatj- hatk and its ...
tardigrade.in
Best Azerbaijan Tour Package for 7 Days | baku, azerbaijan, georgia ...
hellotravel.com
The distance between the planes vecr⋅(2 hati-3 hatj+6 hatk)=5 and vecr⋅ ...
tardigrade.in
Geoscape | Vertical Garden in Chennai | Terrace Garden in Chennai ...
geoscape.co.in
If λ1
tardigrade.in
Heart-warming Tbilisi Tour Package from Delhi | tbilisi, delhi Trip ...
hellotravel.com
Geoscape | Vertical Garden in Chennai | Terrace Garden in Chennai ...
geoscape.co.in
J Prime Buildcon Spotlights Navi Mumbai's Urban Development at WEF 2026 ...
geosquare.in
There are three forces vecP, vecQ and vecR are acting on a body in the ...
tardigrade.in
Georgia Svg Georgia State Seal Svg Georgia Flag Svg Cut - Etsy India
etsy.com
GA-2100-1A1 | G-SHOCK ANALOG-DIGITAL GA-2100 SERIES | CASIO INDIA
casio.com
State Biot Savart's law. A current I flows in a conductor placed ...
allen.in
RUDEN, Other type - Details and current position - MMSI 211292120 ...
vesselfinder.com
Famous Butterfly Parks in Kerala - Butterfly Gardens in Kerala ...
hikerala.in
Three vectors vecP, vecQ and vecR are shown in the figure. Let 푆 be any ...
tardigrade.in
7 Days 6 Nights GEORGIA Tbilisi Trip Package by IMMINENT INDIA ...
hellotravel.com
Ecstatic Georgia Tour Package for 4 Days | georgia Trip Package for 3 ...
hellotravel.com
Bring Me The Horizon, Motionless In White, The Plot In You, Amira ...
allevents.in
How To Prepare A Christian Garden In India
indiatimes.com
Two particles of mass `m_(1) "and" m_(2)` are in space at separation ...
allen.in
ROSE GARDEN in Hyderabad. Wedding Services
weddingservices.co.in
Georgia
chronicleindia.in
if vecA+vecB=vecR. mod A+mod B= mod R then angle between A and B ...
brainly.in
Adventure Tour Package for 4 Days 3 Nights | Georgia Trip Package for 3 ...
hellotravel.com
Two vectors vecA and vecB inclined at an angle θ have a resultant vecR ...
tardigrade.in
Key Rules To Begin A Terrace Garden In India
indiatimes.com
Solo Leveling: ReAwakening ending - Will Jinwoo survive the Red Gate?
lifestyleasia.com
Position vector of a particle moving in x y plane at time t is vecr=a(1 ...
tardigrade.in
Buy Vivo V50 5G 512 GB, 12 GB RAM, Titanium Grey, Mobile Phone - VIVO ...
reliancedigital.in
What Is Pune Famous For: Top 20 Places & Things To Know
godigit.com
Secretarys Day Spritz in the Garden, Mövenpick Hotel Windhoek, 3 ...
allevents.in
Home Decor Ideas | House Interior Designs | Page 4 | Architectural ...
architecturaldigest.in
Heart-warming Georgia Nature Tour Package for 4 Days | georgia Trip ...
hellotravel.com
Buy Mi Bautizo, My Baptism Spanish SVG and PNG Online in India - Etsy
etsy.com
Buy Tom & Jerry - Set of 2 Figures - Action Figure | Best Animated Most ...
zop.in
Let the lines L 1: r =λ( hat i +2 hat j +3 hat k ), λ ∈ R L2: vecr ...
tardigrade.in
ECG Test At Home in Dilshad Garden Delhi by MAX@Home | Book Now
maxathome.in
The new Hermès perfume is inspired by a mysterious garden in Venice ...
vogue.in
Geoscape | Vertical Garden in Chennai | Terrace Garden in Chennai ...
geoscape.co.in
Buy YINGHU AP Metal Case Bezel for Casio G Shock GA2100 Watchband ...
ubuy.co.in
SEO in India, SEO Services India, SEO India, SEO Services, Buy SEO ...
seoserviceinindia.co.in
Buy Georgia Fabric 3-Seater Sofa Bed - Beige from Home Centre at just ...
homecentre.in
Geoscape | Vertical Garden in Chennai | Terrace Garden in Chennai ...
geoscape.co.in
Heart-warming Georgia Tour Package for 2 Days 1 Night | georgia Trip ...
hellotravel.com
Buy Georgia Stainless Steel Cookware Set- 4 Pcs. from Home Centre at ...
homecentre.in
Buy Georgia Fabric 3-Seater Sofa Bed - Beige from Home Centre at just ...
homecentre.in
Gardening Risk Assessment Display Poster
twinkl.co.in
Vibrant Garden Painting for Prosperity & Abundance in Southeast | Vastu ...
artfactory.in
‘Tea Garden Land Won't be Allowed to Use for Non-Tea Purposes’- Joint ...
newsclick.in
Buy Georgia Fabric 3-Seater Sofa Bed - Beige from Home Centre at just ...
homecentre.in
A positive point charge `50mu C` is located in the plane xy at a point ...
allen.in
Green Wall Plants Nursery – Shop Living Plants
greenwall.co.in
Best Backyard Garden Ideas for Your Outdoor Oasis 2024
nobroker.in
Tsuki: This Pune rooftop restaurant celebrates calm with a Zen garden ...
architecturaldigest.in
Related Searches
Veczer
Vectr App
Vectr FS-ISAC
Vectr Software
Descargar Vectr
Crate Vectr
Vectr Meni
Vectr AppGuide
Vectr Center
Vectr Tool
Suich Vectr Free
Story On Vectr
Reciver Logo Vec
Bobbin Vecr
Vecr Examples
Projects Can Be Done On Vectr
Vectr for Desktop
Computer Projects in Vectr
How to Group Things in Vectr
Position Vec
Vecr All Dressed
Vectr Vectr
Groovy Background Vecr
Vecor I'm
Mercator Clouds
Ambulance Avto
Professional EMS Amr Photos
S8 Carcasa
Amazon White Markers
Quartet Whiteboard Markers Set
UF&Shands Ambulance 7
Eet Pro Ambulance
EMS Auto Mobile Decontamination
Unau
Amazon Small Dry Erase Markers
Officer Mcpiggly
Ambulance Is Pictures Ambulance Pictures
MSDS Sheet for Universal Chisel Tip Highlighters
Kevin Can Torrent
Amazon Colored Whiteboard Markers
Show-Me Pictures of Ambulances
U Brands Low Odor Magnetic Double Ended Dry Erase Markers with Erasers UPC
Office Supplies Amazon Marker Boards
Whiteboard Dry Erase Marker Bold Marks Low Odors
Search
×
Search
Loading...
No suggestions found